mp-7331-2/Cs2MgFeC6N6/anharm

Equation of state

../../_images/fig_bm2251.png

(a) Equation of state

Harmonic properties

../../_images/fig_bandos_pr4514.png

(a) Phonon dispersion with participation ratio and DOS

../../_images/fig_thermo4514.png

(b) Thermodynamic properties

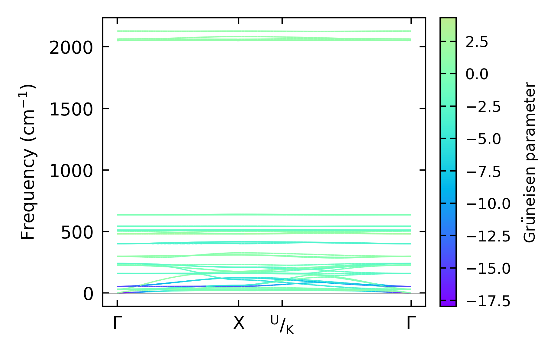
Grüneisen parameters

../../_images/fig_gru_all1934.png

(a) Grüneisen parameters

../../_images/fig_gruneisen1934.png

(b) Phonon dispersion with Grüneisen parameters

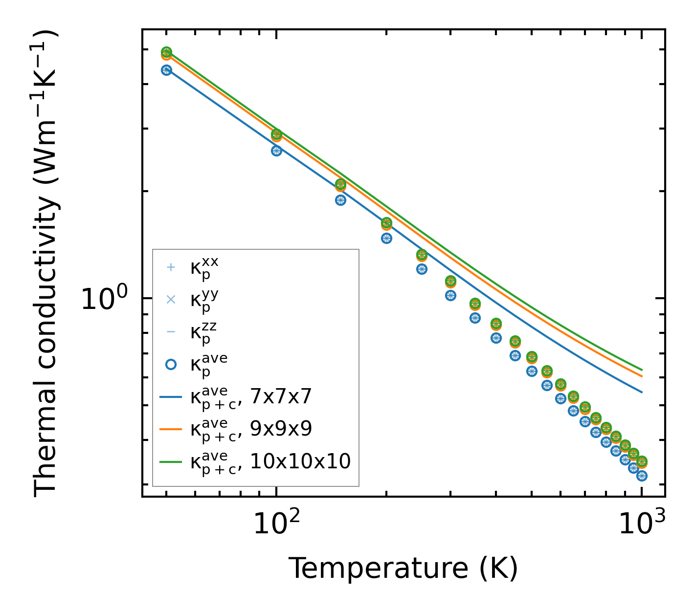
Thermal conductivity

3-phonon (LASSO) — q-mesh: 10x10x10, supercell: 1x1x1

../../_images/fig_kappa3703.png

(a) Temperature-dependent lattice thermal conductivity

../../_images/fig_kappa_vs_grain_size1961.png

(b) Peierls lattice thermal conductivity w.r.t grain size

Phonon lifetime and scattering rates

../../_images/fig_lifetime1923.png

(a) Phonon lifetime due to phonon-phonon scattering

../../_images/fig_scat_rates1922.png

(b) Phonon scattering rates

Cumulative and spectral thermal conductivity

../../_images/fig_cumu_frequency1923.png

(a) Spectral and cumulative thermal conductivity w.r.t frequency

../../_images/fig_cumu_mfp1923.png

(b) Spectral and cumulative thermal conductivity w.r.t MFP

Force constants

../../_images/fig_fc24326.png

(a) Force constants w.r.t atomic distance

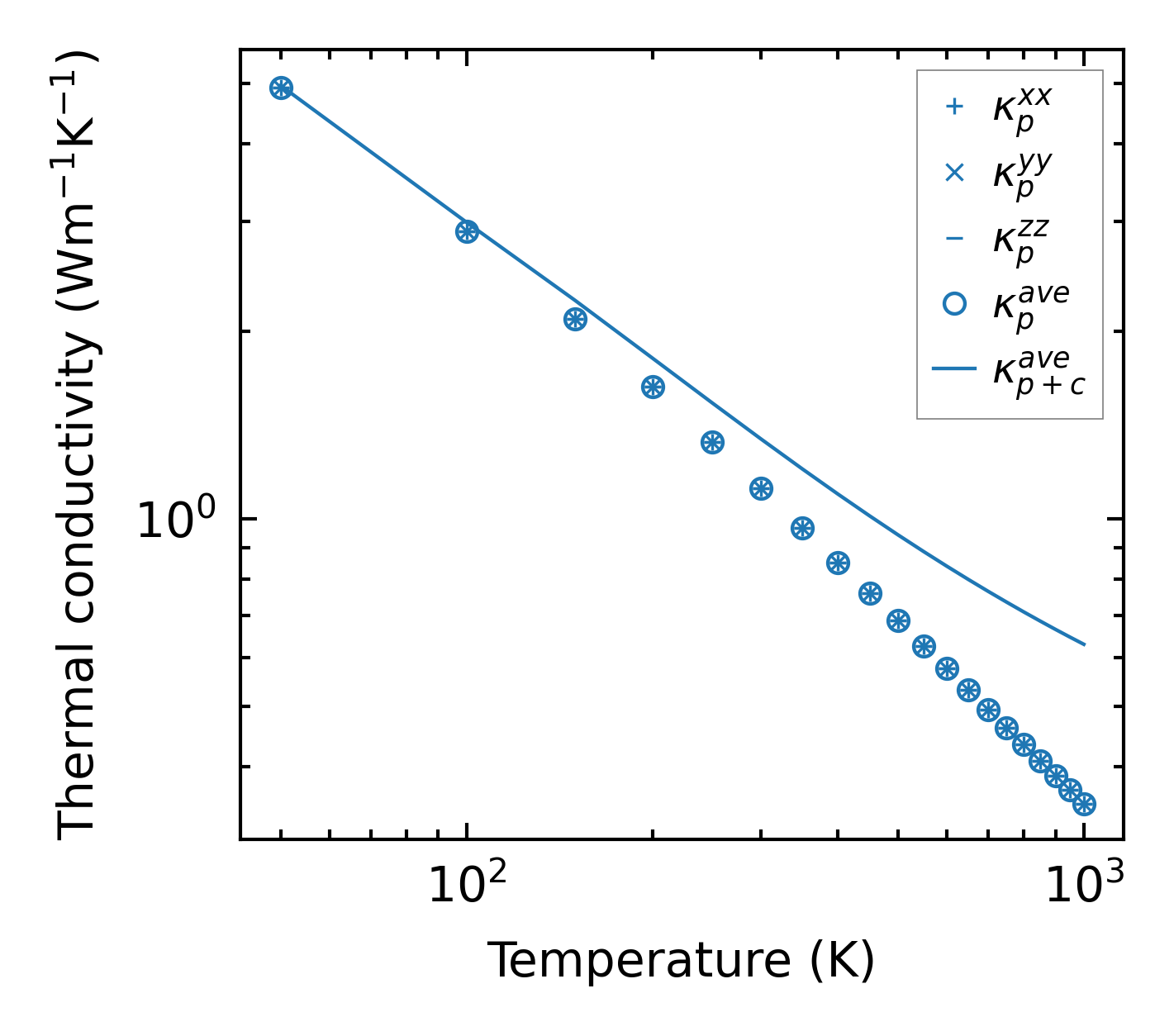
Summary

../../_images/fig_kappa3704.png

(a) Temperature-dependent lattice thermal conductivity

../../_images/fig_times8053.png

(b) Computation time