mp-7664-2/Na6ZnO4/anharm

Equation of state

../../_images/fig_bm2310.png

(a) Equation of state

Harmonic properties

../../_images/fig_bandos_pr4624.png

(a) Phonon dispersion with participation ratio and DOS

../../_images/fig_thermo4624.png

(b) Thermodynamic properties

Grüneisen parameters

../../_images/fig_gru_all2002.png

(a) Grüneisen parameters

../../_images/fig_gruneisen2002.png

(b) Phonon dispersion with Grüneisen parameters

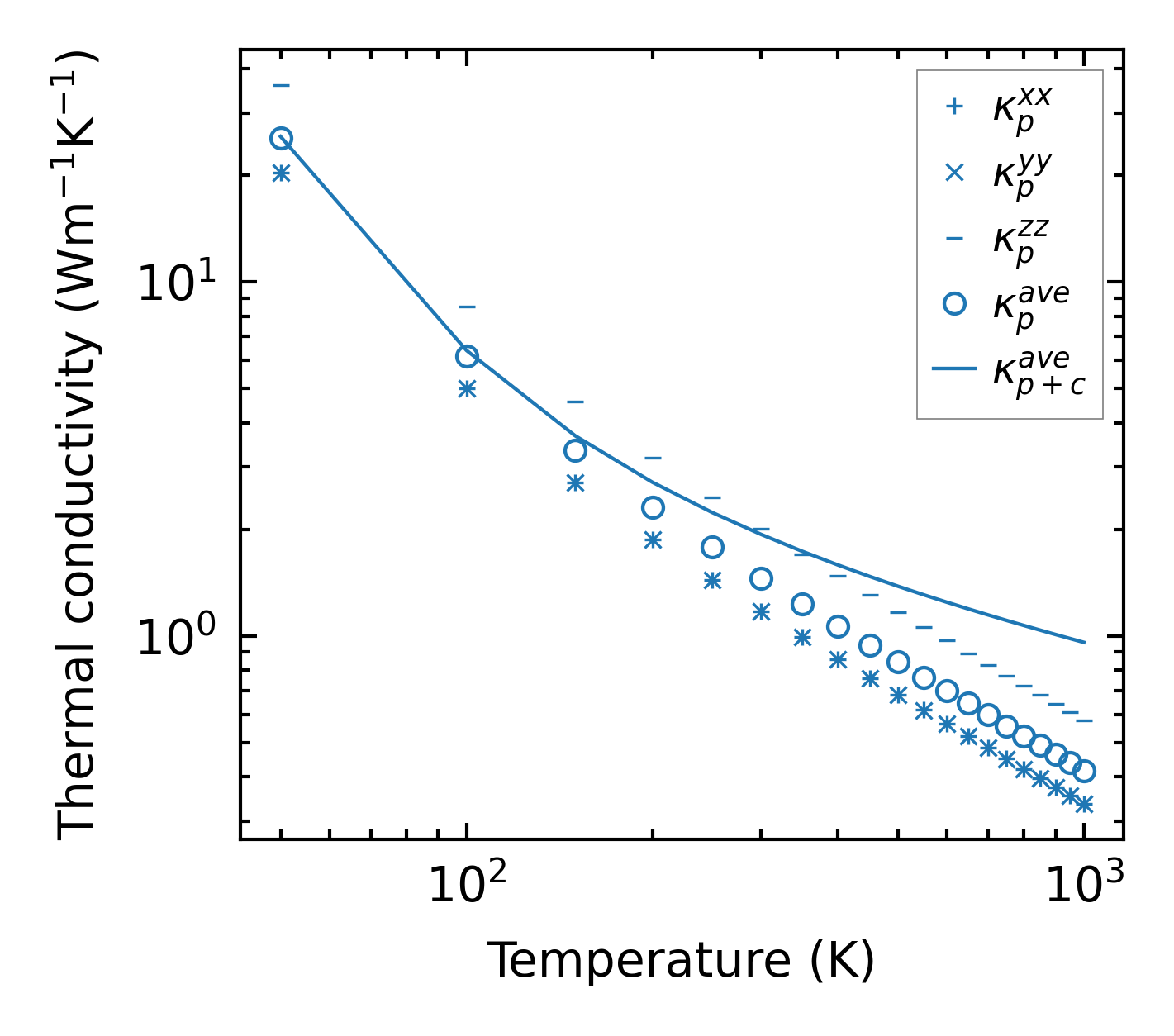
Thermal conductivity

3-phonon (LASSO) — q-mesh: 9x9x12, supercell: 1x1x2

../../_images/fig_kappa3832.png

(a) Temperature-dependent lattice thermal conductivity

../../_images/fig_kappa_vs_grain_size2028.png

(b) Peierls lattice thermal conductivity w.r.t grain size

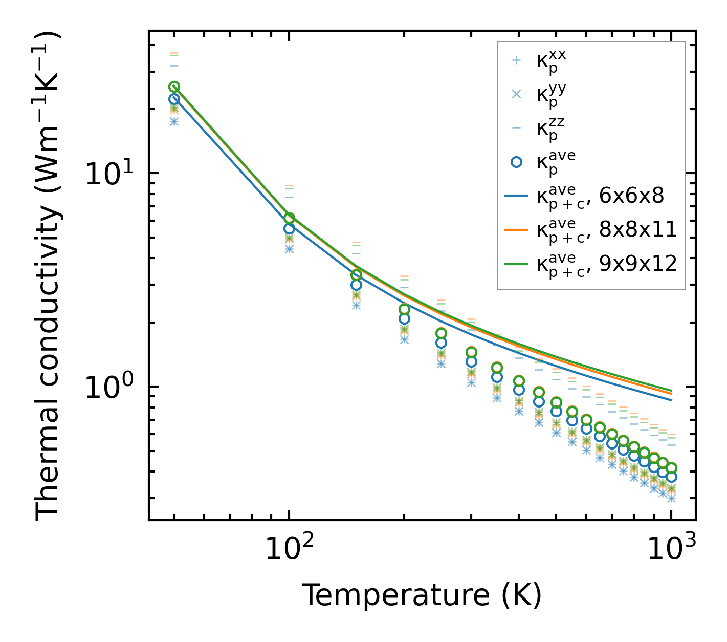
3-phonon (LASSO), supercell 2x2x2 — q-mesh: 9x9x12, supercell: 2x2x2

../../_images/fig_kappa3833.png

(a) Temperature-dependent lattice thermal conductivity

../../_images/fig_kappa_vs_grain_size2029.png

(b) Peierls lattice thermal conductivity w.r.t grain size

Phonon lifetime and scattering rates

../../_images/fig_lifetime1990.png

(a) Phonon lifetime due to phonon-phonon scattering

../../_images/fig_scat_rates1989.png

(b) Phonon scattering rates

Cumulative and spectral thermal conductivity

../../_images/fig_cumu_frequency1990.png

(a) Spectral and cumulative thermal conductivity w.r.t frequency

../../_images/fig_cumu_mfp1990.png

(b) Spectral and cumulative thermal conductivity w.r.t MFP

Force constants

../../_images/fig_fc24436.png

(a) Force constants w.r.t atomic distance

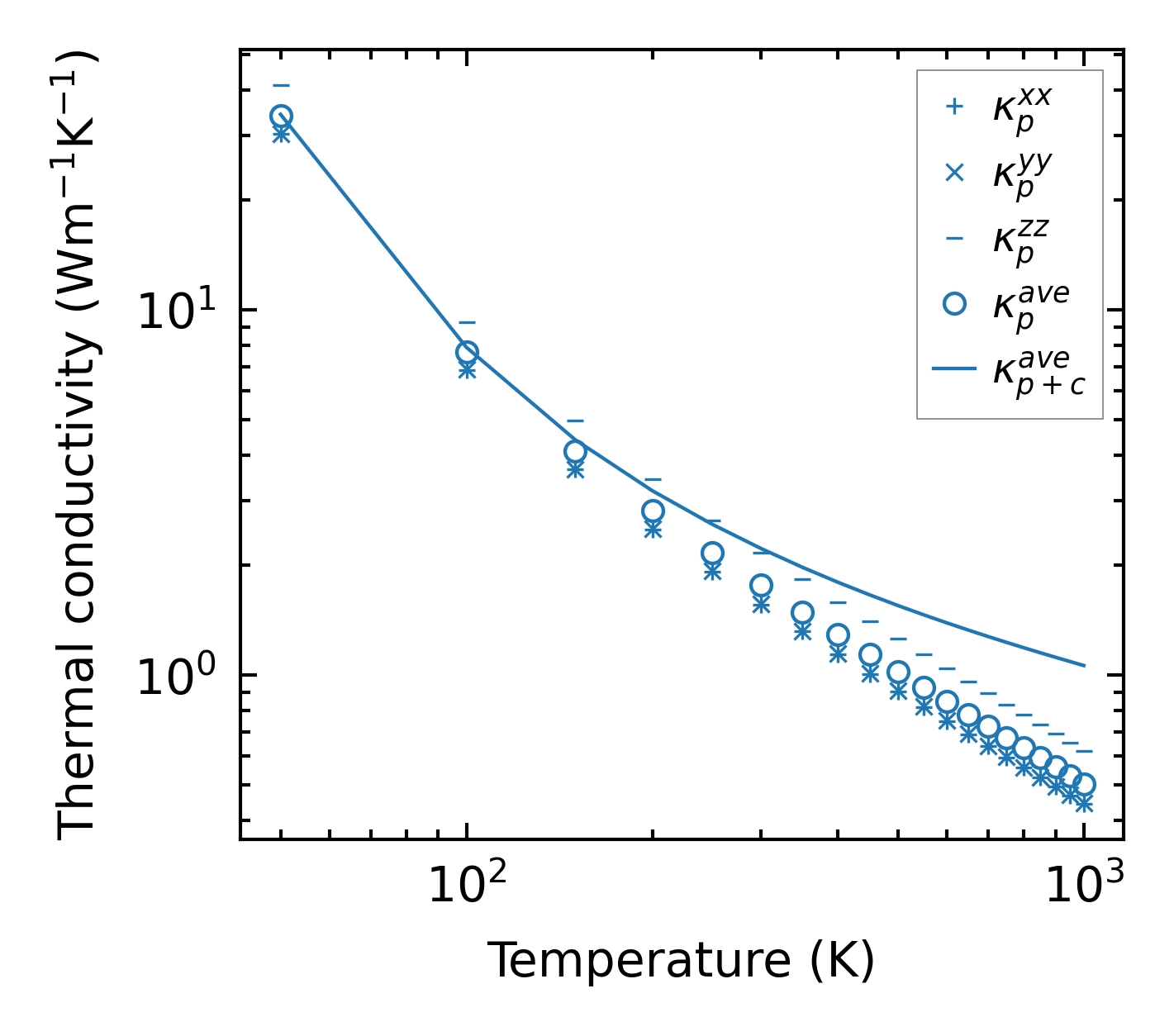
Summary

../../_images/fig_kappa3834.png

(a) Temperature-dependent lattice thermal conductivity

../../_images/fig_times8215.png

(b) Computation time