mp-7480/RbLuO2/anharm

Harmonic properties

../../_images/fig_bandos_pr4563.png

(a) Phonon dispersion with participation ratio and DOS

../../_images/fig_thermo4563.png

(b) Thermodynamic properties

Grüneisen parameters

../../_images/fig_gru_all1964.png

(a) Grüneisen parameters

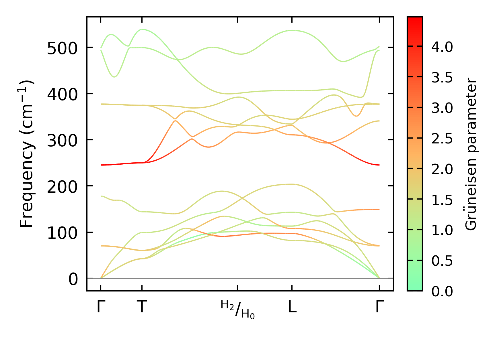
../../_images/fig_gruneisen1964.png

(b) Phonon dispersion with Grüneisen parameters

Thermal conductivity

3-phonon (LASSO) — q-mesh: 18x18x18, supercell: 3x3x1

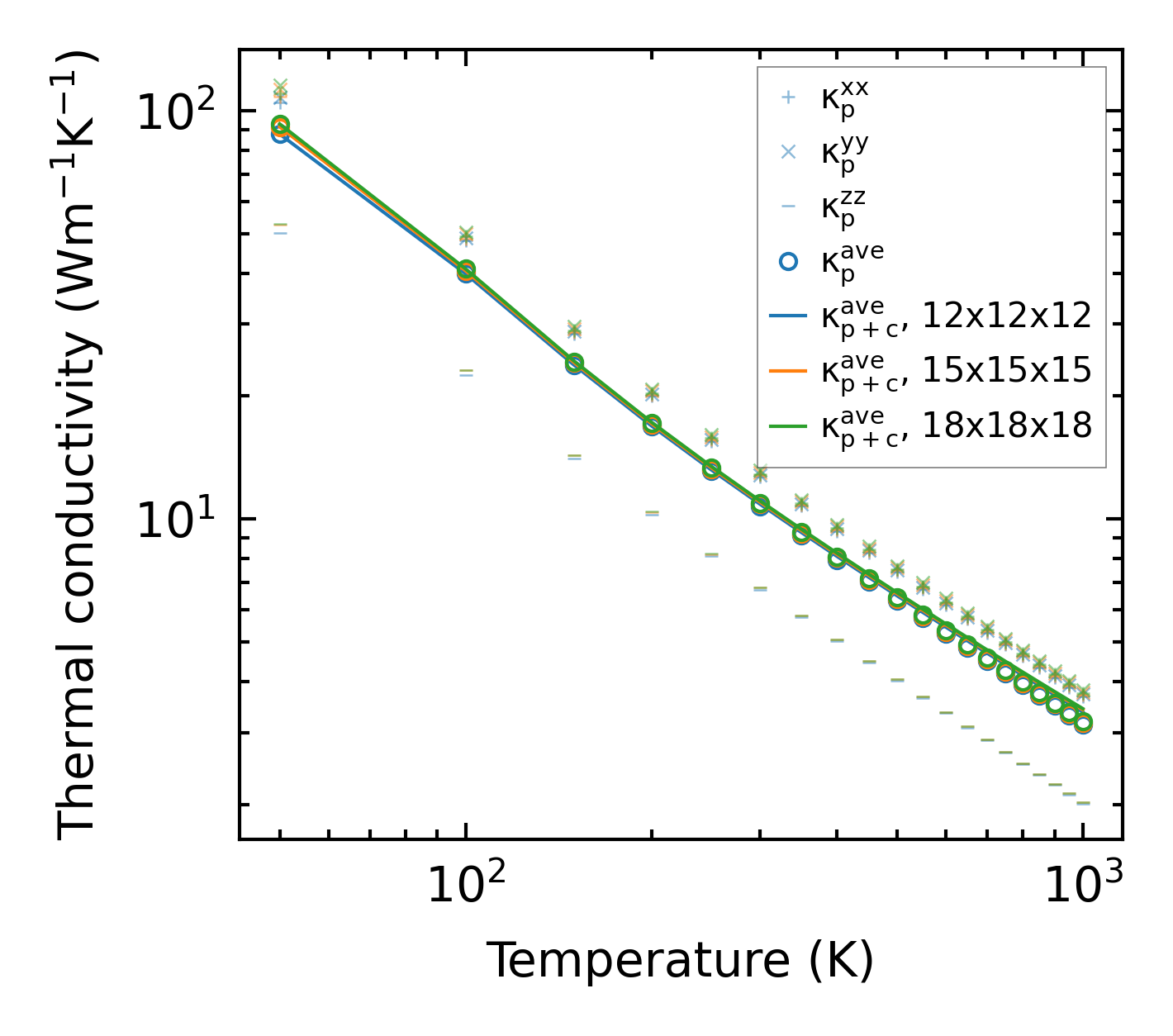
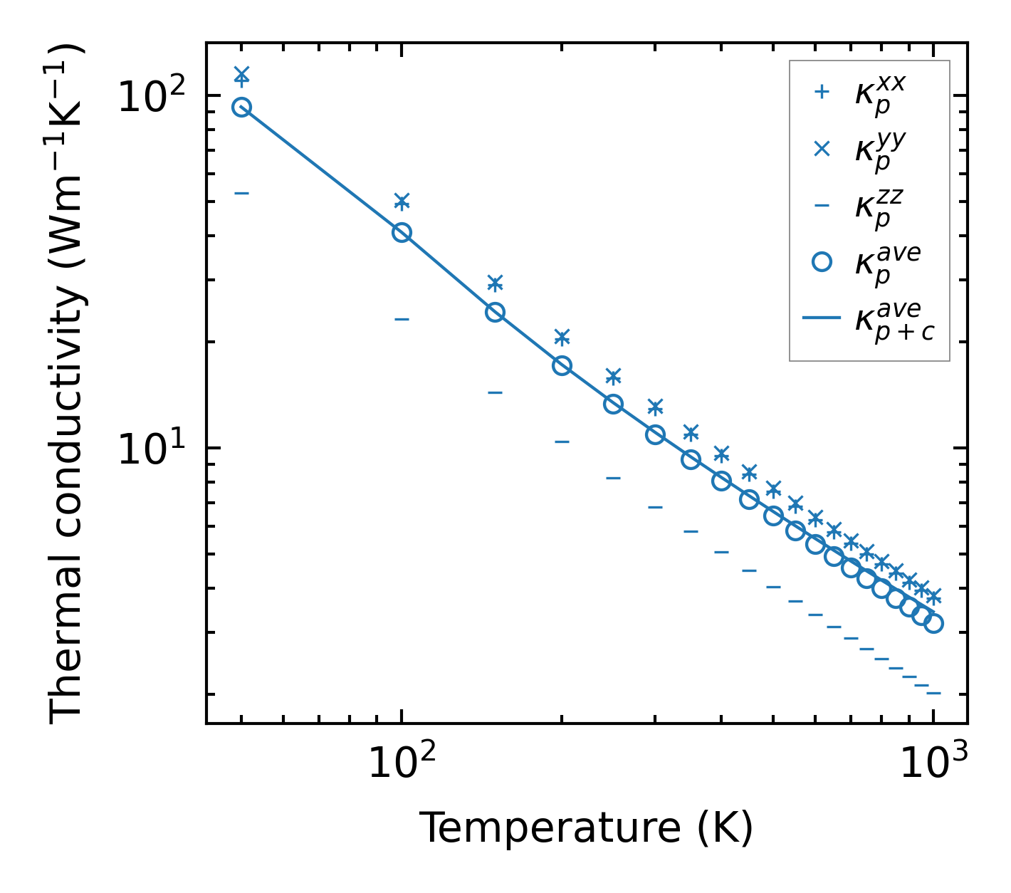
../../_images/fig_kappa3761.png

(a) Temperature-dependent lattice thermal conductivity

../../_images/fig_kappa_vs_grain_size1991.png

(b) Peierls lattice thermal conductivity w.r.t grain size

Phonon lifetime and scattering rates

../../_images/fig_lifetime1953.png

(a) Phonon lifetime due to phonon-phonon scattering

../../_images/fig_scat_rates1952.png

(b) Phonon scattering rates

Cumulative and spectral thermal conductivity

../../_images/fig_cumu_frequency1953.png

(a) Spectral and cumulative thermal conductivity w.r.t frequency

../../_images/fig_cumu_mfp1953.png

(b) Spectral and cumulative thermal conductivity w.r.t MFP

Force constants

../../_images/fig_fc24375.png

(a) Force constants w.r.t atomic distance

Summary

../../_images/fig_kappa3762.png

(a) Temperature-dependent lattice thermal conductivity

../../_images/fig_times8119.png

(b) Computation time