mp-7018-2/LaGaS2O/anharm

Harmonic properties

../../_images/fig_bandos_pr4774.png

(a) Phonon dispersion with participation ratio and DOS

../../_images/fig_thermo4774.png

(b) Thermodynamic properties

Grüneisen parameters

../../_images/fig_gru_all2053.png

(a) Grüneisen parameters

../../_images/fig_gruneisen2053.png

(b) Phonon dispersion with Grüneisen parameters

Thermal conductivity

3-phonon (LASSO) — q-mesh: 12x6x13, supercell: 2x1x3

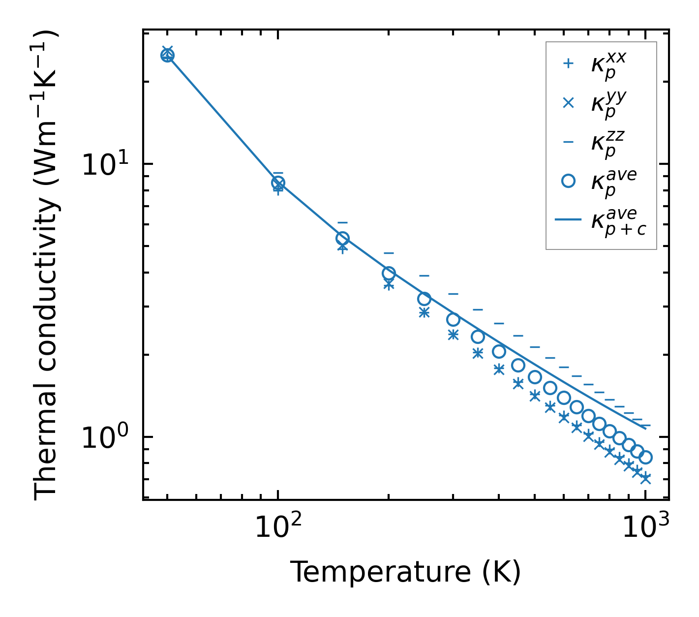
../../_images/fig_kappa3935.png

(a) Temperature-dependent lattice thermal conductivity

../../_images/fig_kappa_vs_grain_size2083.png

(b) Peierls lattice thermal conductivity w.r.t grain size

Phonon lifetime and scattering rates

../../_images/fig_lifetime2040.png

(a) Phonon lifetime due to phonon-phonon scattering

../../_images/fig_scat_rates2039.png

(b) Phonon scattering rates

Cumulative and spectral thermal conductivity

../../_images/fig_cumu_frequency2040.png

(a) Spectral and cumulative thermal conductivity w.r.t frequency

../../_images/fig_cumu_mfp2040.png

(b) Spectral and cumulative thermal conductivity w.r.t MFP

Force constants

../../_images/fig_fc24585.png

(a) Force constants w.r.t atomic distance

Summary

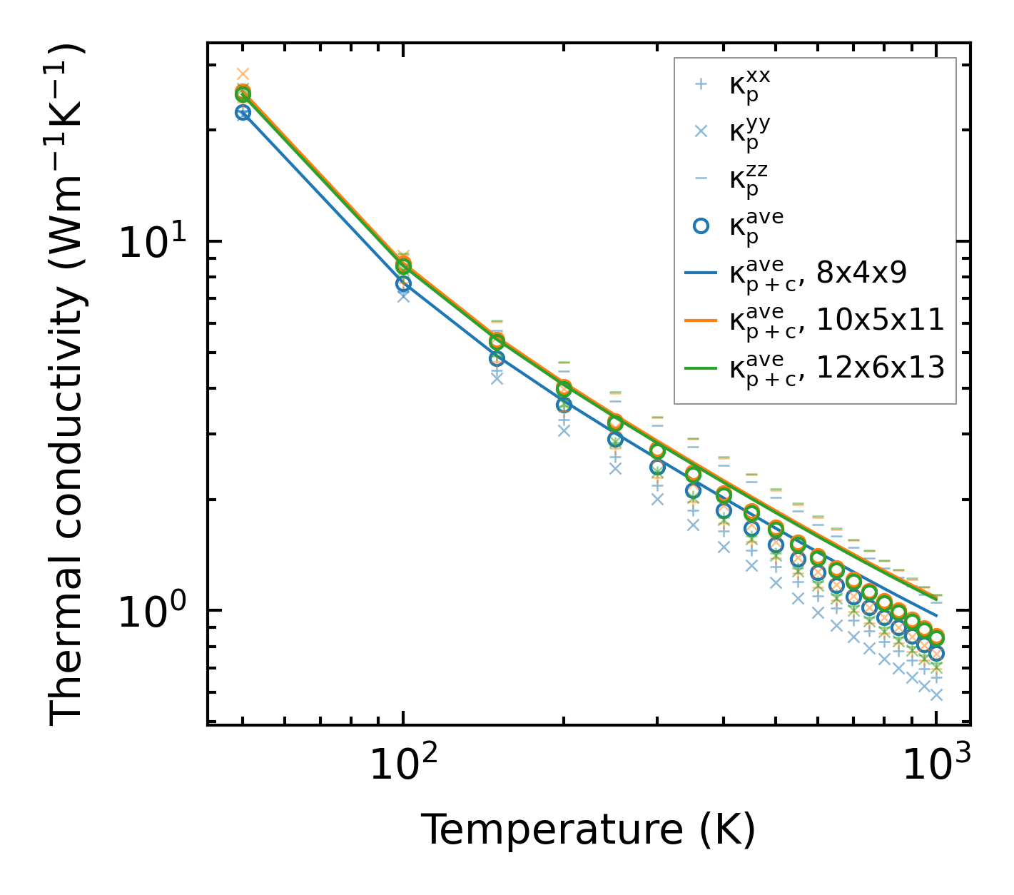
../../_images/fig_kappa3936.png

(a) Temperature-dependent lattice thermal conductivity

../../_images/fig_times8469.png

(b) Computation time