mp-7211-2/CsPrHgSe3/anharm

Equation of state

../../_images/fig_bm2234.png

(a) Equation of state

Harmonic properties

../../_images/fig_bandos_pr4481.png

(a) Phonon dispersion with participation ratio and DOS

../../_images/fig_thermo4481.png

(b) Thermodynamic properties

Grüneisen parameters

../../_images/fig_gru_all1916.png

(a) Grüneisen parameters

../../_images/fig_gruneisen1916.png

(b) Phonon dispersion with Grüneisen parameters

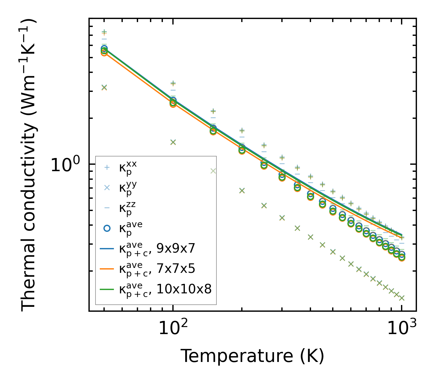
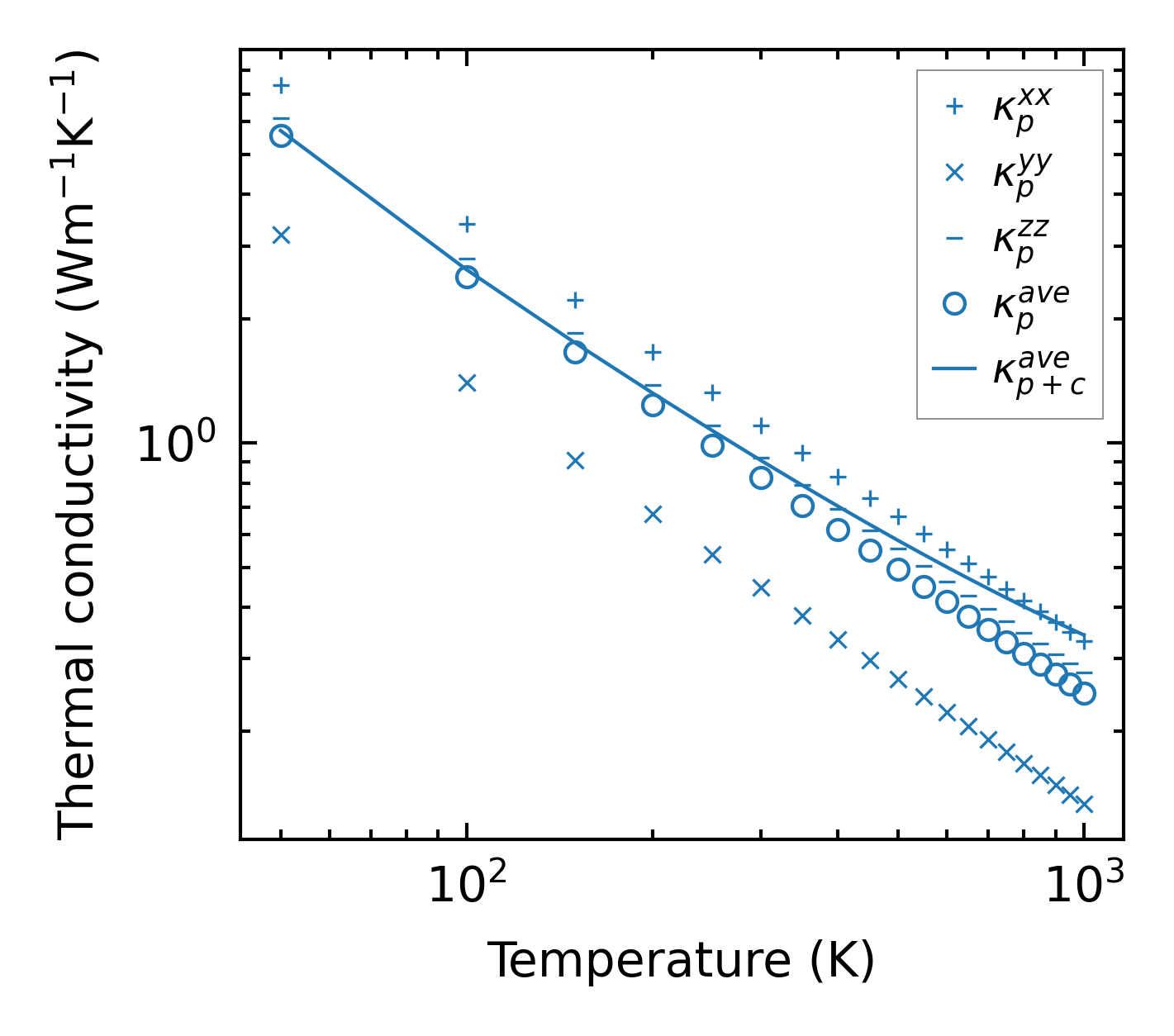
Thermal conductivity

3-phonon (LASSO) — q-mesh: 10x10x8, supercell: 3x1x2

../../_images/fig_kappa3669.png

(a) Temperature-dependent lattice thermal conductivity

../../_images/fig_kappa_vs_grain_size1943.png

(b) Peierls lattice thermal conductivity w.r.t grain size

Phonon lifetime and scattering rates

../../_images/fig_lifetime1905.png

(a) Phonon lifetime due to phonon-phonon scattering

../../_images/fig_scat_rates1904.png

(b) Phonon scattering rates

Cumulative and spectral thermal conductivity

../../_images/fig_cumu_frequency1905.png

(a) Spectral and cumulative thermal conductivity w.r.t frequency

../../_images/fig_cumu_mfp1905.png

(b) Spectral and cumulative thermal conductivity w.r.t MFP

Force constants

../../_images/fig_fc24294.png

(a) Force constants w.r.t atomic distance

Summary

../../_images/fig_kappa3670.png

(a) Temperature-dependent lattice thermal conductivity

../../_images/fig_times8012.png

(b) Computation time