mp-7958/KLaO2/anharm

Harmonic properties

../../_images/fig_bandos_pr4400.png

(a) Phonon dispersion with participation ratio and DOS

../../_images/fig_thermo4400.png

(b) Thermodynamic properties

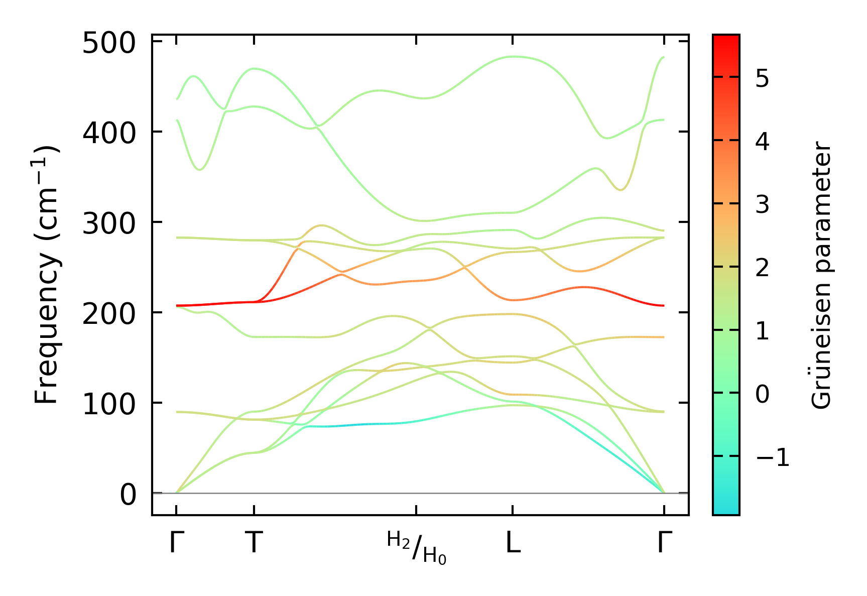
Grüneisen parameters

../../_images/fig_gru_all1894.png

(a) Grüneisen parameters

../../_images/fig_gruneisen1894.png

(b) Phonon dispersion with Grüneisen parameters

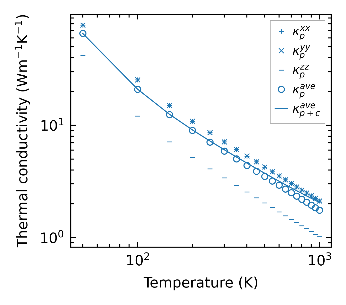
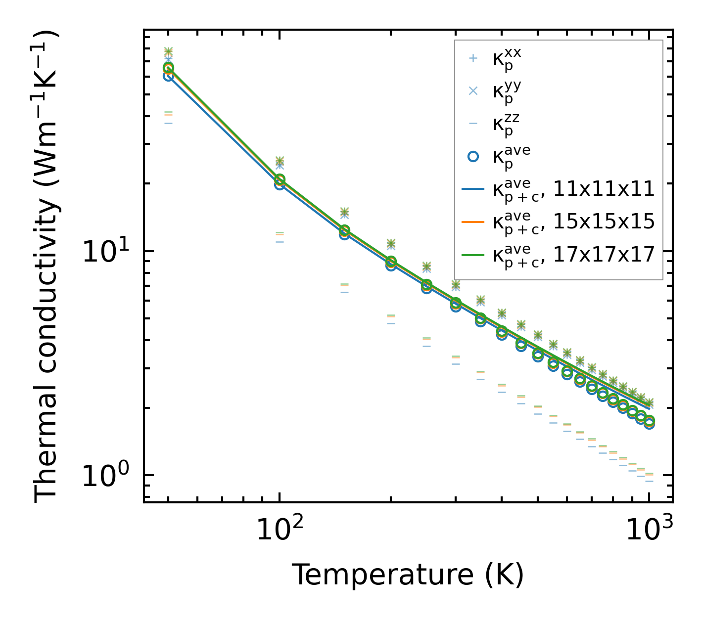
Thermal conductivity

3-phonon (LASSO) — q-mesh: 17x17x17, supercell: 3x3x1

../../_images/fig_kappa3627.png

(a) Temperature-dependent lattice thermal conductivity

../../_images/fig_kappa_vs_grain_size1921.png

(b) Peierls lattice thermal conductivity w.r.t grain size

Phonon lifetime and scattering rates

../../_images/fig_lifetime1883.png

(a) Phonon lifetime due to phonon-phonon scattering

../../_images/fig_scat_rates1882.png

(b) Phonon scattering rates

Cumulative and spectral thermal conductivity

../../_images/fig_cumu_frequency1883.png

(a) Spectral and cumulative thermal conductivity w.r.t frequency

../../_images/fig_cumu_mfp1883.png

(b) Spectral and cumulative thermal conductivity w.r.t MFP

Force constants

../../_images/fig_fc24213.png

(a) Force constants w.r.t atomic distance

Summary

../../_images/fig_kappa3628.png

(a) Temperature-dependent lattice thermal conductivity

../../_images/fig_times7823.png

(b) Computation time