mp-7090/NaMgSb/anharm

Equation of state

../../_images/fig_bm2380.png

(a) Equation of state

Harmonic properties

../../_images/fig_bandos_pr4798.png

(a) Phonon dispersion with participation ratio and DOS

../../_images/fig_thermo4798.png

(b) Thermodynamic properties

Grüneisen parameters

../../_images/fig_gru_all2067.png

(a) Grüneisen parameters

../../_images/fig_gruneisen2067.png

(b) Phonon dispersion with Grüneisen parameters

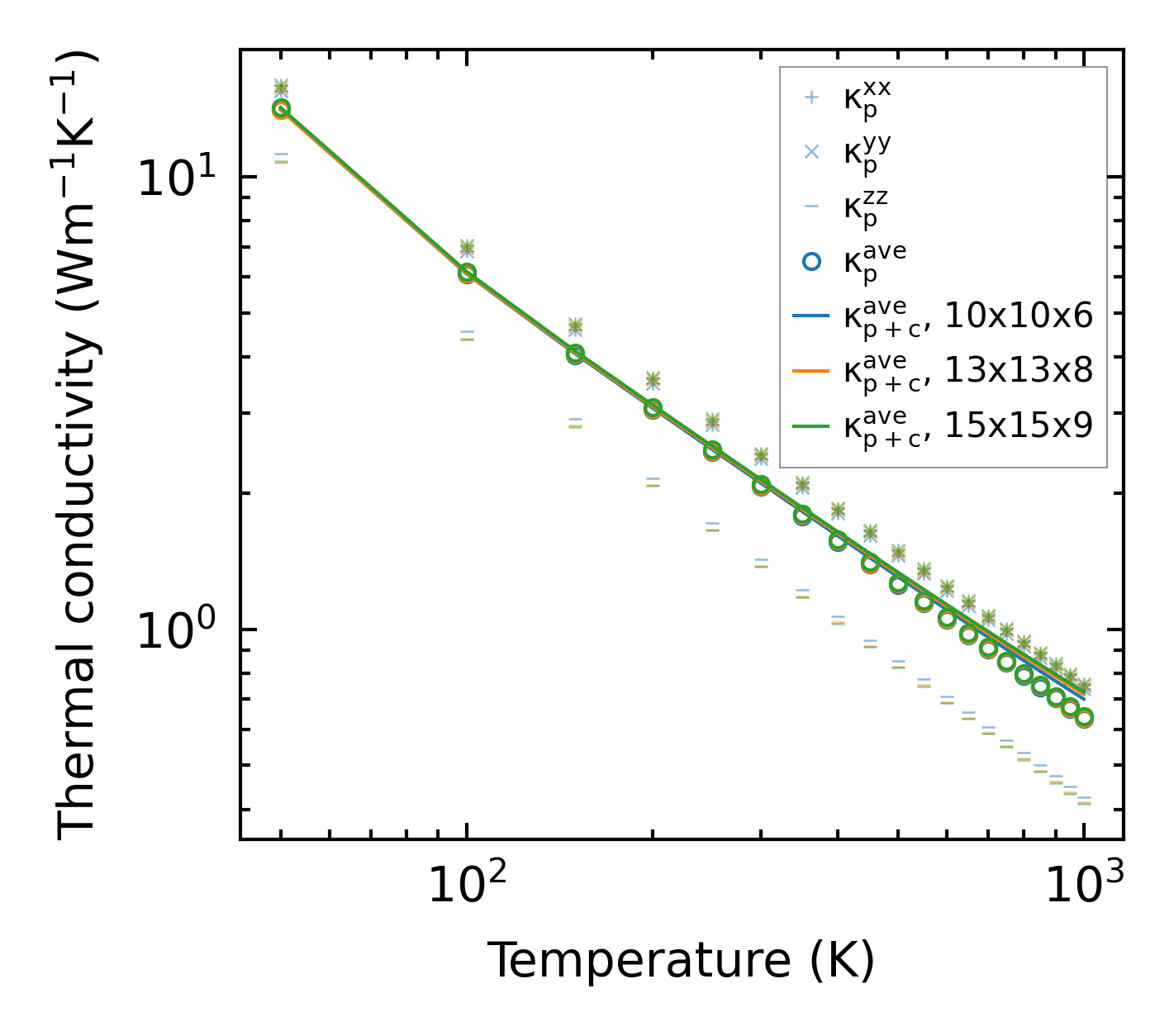
Thermal conductivity

3-phonon (LASSO) — q-mesh: 15x15x9, supercell: 3x3x2

../../_images/fig_kappa3963.png

(a) Temperature-dependent lattice thermal conductivity

../../_images/fig_kappa_vs_grain_size2098.png

(b) Peierls lattice thermal conductivity w.r.t grain size

Phonon lifetime and scattering rates

../../_images/fig_lifetime2054.png

(a) Phonon lifetime due to phonon-phonon scattering

../../_images/fig_scat_rates2053.png

(b) Phonon scattering rates

Cumulative and spectral thermal conductivity

../../_images/fig_cumu_frequency2054.png

(a) Spectral and cumulative thermal conductivity w.r.t frequency

../../_images/fig_cumu_mfp2054.png

(b) Spectral and cumulative thermal conductivity w.r.t MFP

Force constants

../../_images/fig_fc24609.png

(a) Force constants w.r.t atomic distance

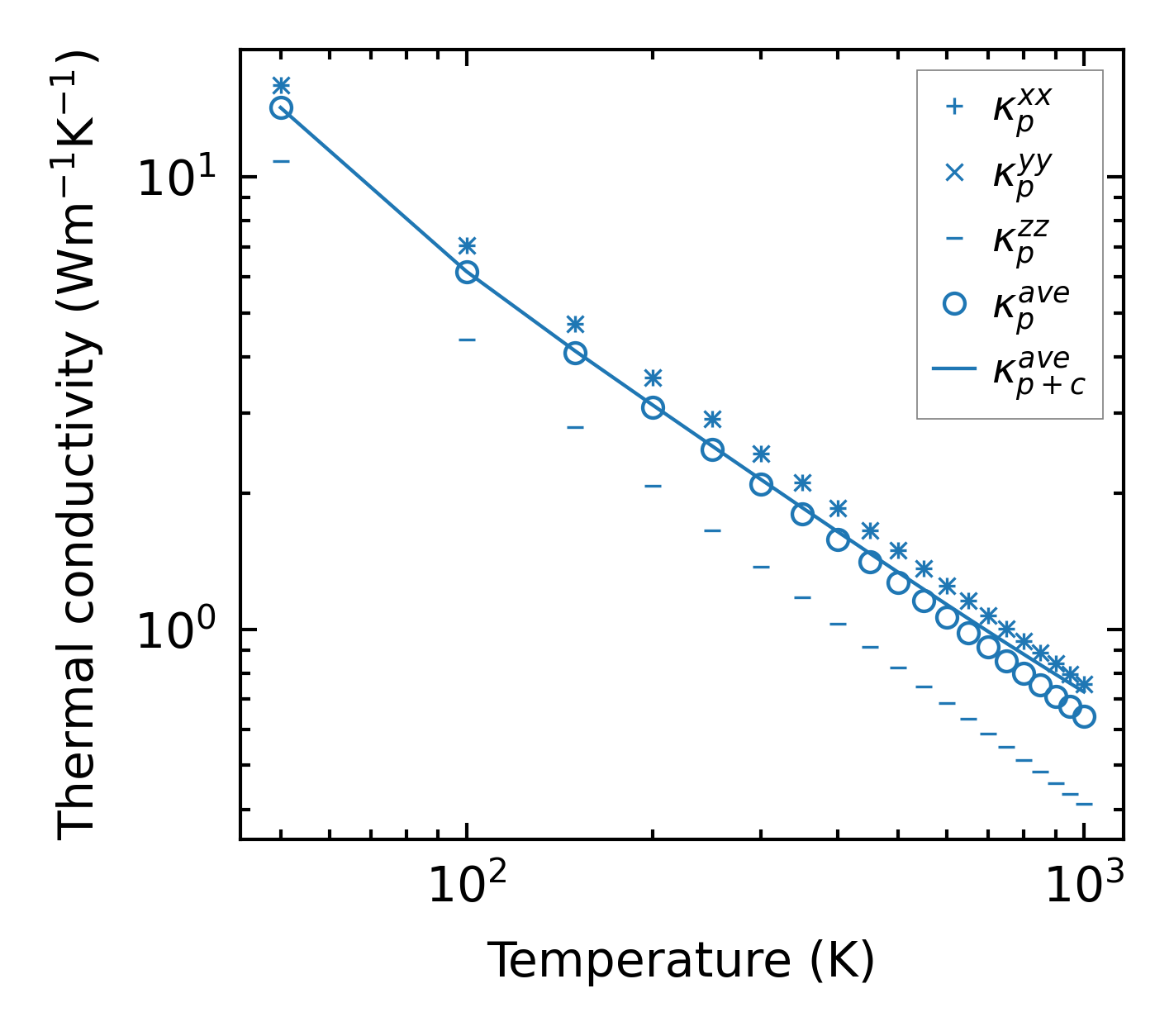
Summary

../../_images/fig_kappa3964.png

(a) Temperature-dependent lattice thermal conductivity

../../_images/fig_times8502.png

(b) Computation time