mp-7831-2/MgIn2O4/anharm

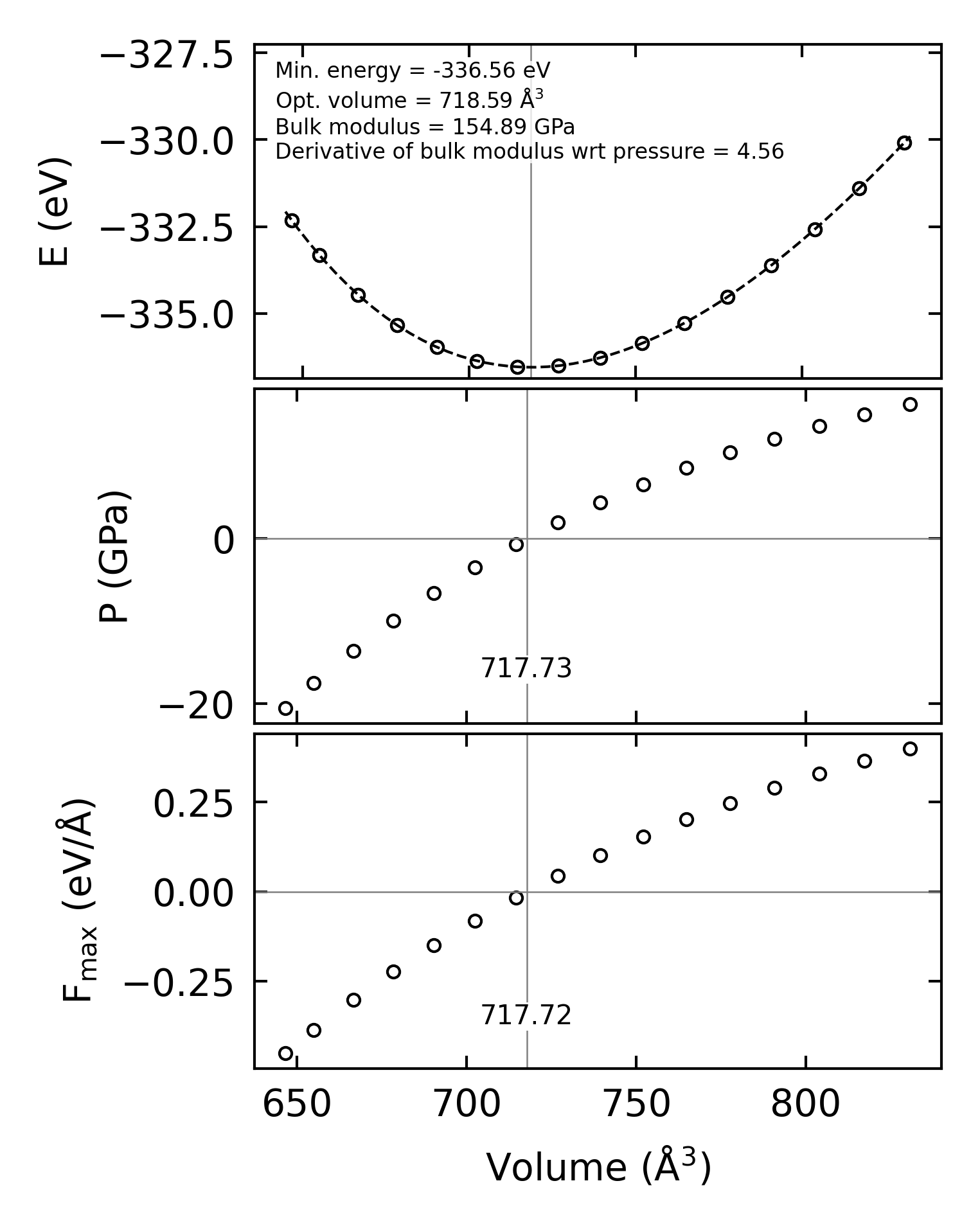
Equation of state

../../_images/fig_bm2177.png

(a) Equation of state

Harmonic properties

../../_images/fig_bandos_pr4338.png

(a) Phonon dispersion with participation ratio and DOS

../../_images/fig_thermo4338.png

(b) Thermodynamic properties

Grüneisen parameters

../../_images/fig_gru_all1859.png

(a) Grüneisen parameters

../../_images/fig_gruneisen1859.png

(b) Phonon dispersion with Grüneisen parameters

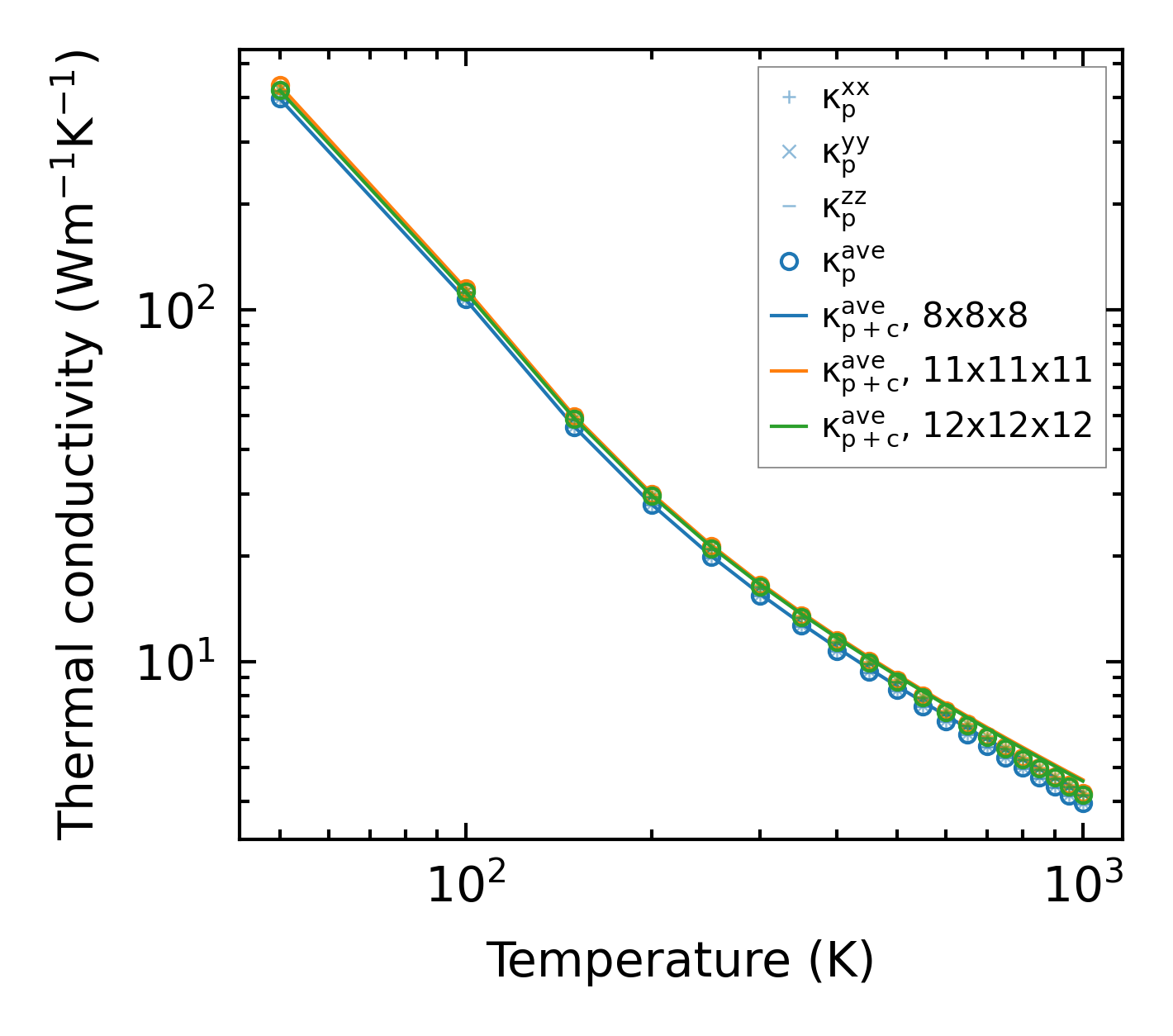
Thermal conductivity

3-phonon (LASSO) — q-mesh: 12x12x12, supercell: 1x1x1

../../_images/fig_kappa3562.png

(a) Temperature-dependent lattice thermal conductivity

../../_images/fig_kappa_vs_grain_size1887.png

(b) Peierls lattice thermal conductivity w.r.t grain size

Phonon lifetime and scattering rates

../../_images/fig_lifetime1849.png

(a) Phonon lifetime due to phonon-phonon scattering

../../_images/fig_scat_rates1848.png

(b) Phonon scattering rates

Cumulative and spectral thermal conductivity

../../_images/fig_cumu_frequency1849.png

(a) Spectral and cumulative thermal conductivity w.r.t frequency

../../_images/fig_cumu_mfp1849.png

(b) Spectral and cumulative thermal conductivity w.r.t MFP

Force constants

../../_images/fig_fc24151.png

(a) Force constants w.r.t atomic distance

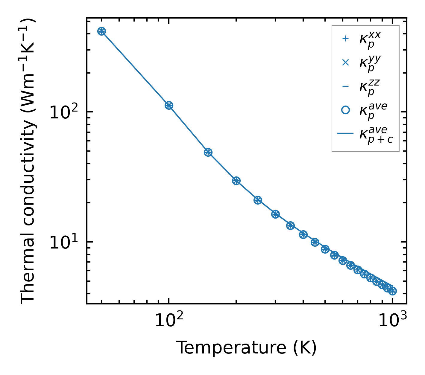
Summary

../../_images/fig_kappa3563.png

(a) Temperature-dependent lattice thermal conductivity

../../_images/fig_times7757.png

(b) Computation time