mp-7049/ZrTlCuS3/anharm

Harmonic properties

../../_images/fig_bandos_pr4783.png

(a) Phonon dispersion with participation ratio and DOS

../../_images/fig_thermo4783.png

(b) Thermodynamic properties

Grüneisen parameters

../../_images/fig_gru_all2058.png

(a) Grüneisen parameters

../../_images/fig_gruneisen2058.png

(b) Phonon dispersion with Grüneisen parameters

Thermal conductivity

3-phonon (LASSO) — q-mesh: 12x12x9, supercell: 3x1x2

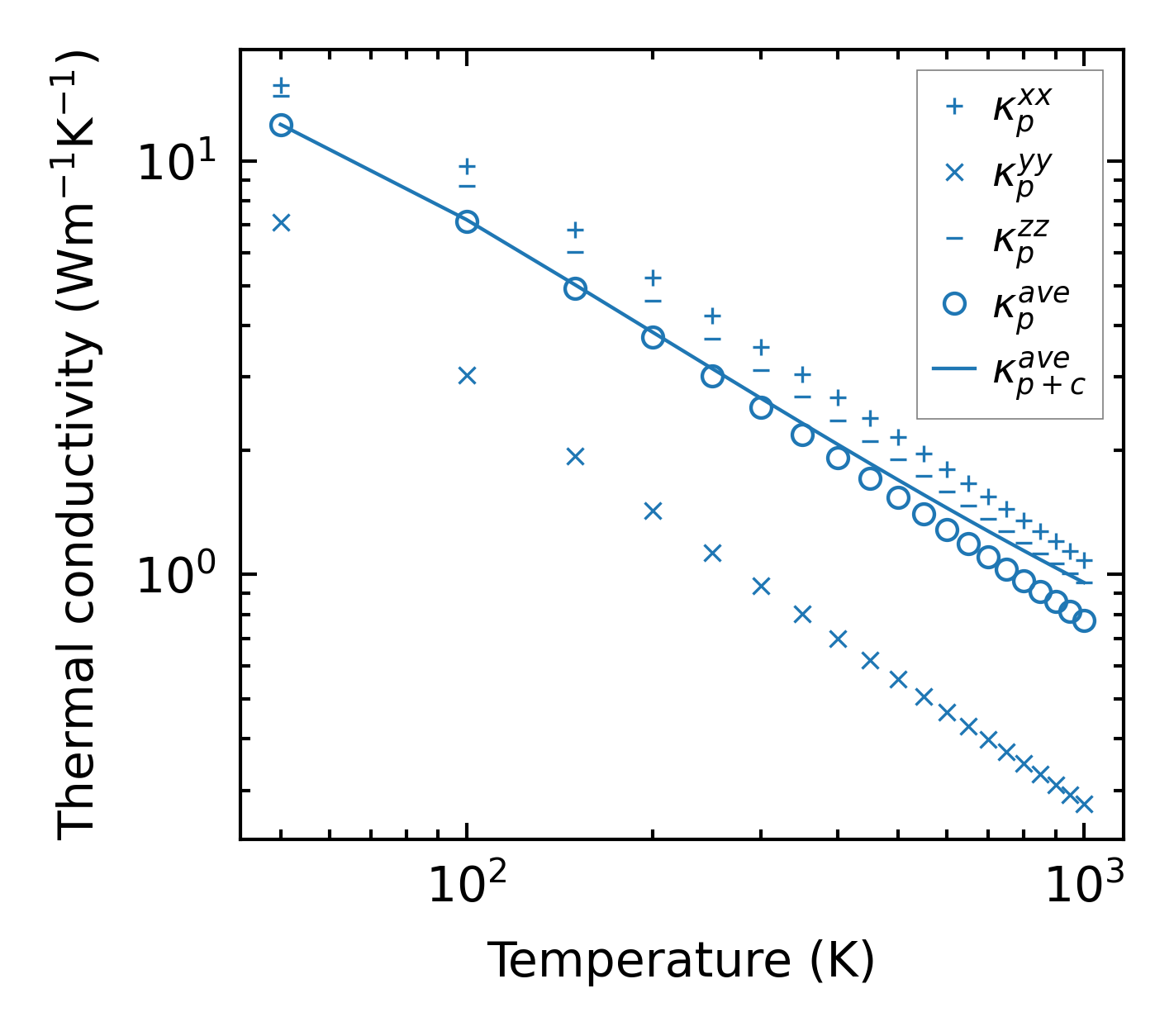
../../_images/fig_kappa3944.png

(a) Temperature-dependent lattice thermal conductivity

../../_images/fig_kappa_vs_grain_size2088.png

(b) Peierls lattice thermal conductivity w.r.t grain size

Phonon lifetime and scattering rates

../../_images/fig_lifetime2045.png

(a) Phonon lifetime due to phonon-phonon scattering

../../_images/fig_scat_rates2044.png

(b) Phonon scattering rates

Cumulative and spectral thermal conductivity

../../_images/fig_cumu_frequency2045.png

(a) Spectral and cumulative thermal conductivity w.r.t frequency

../../_images/fig_cumu_mfp2045.png

(b) Spectral and cumulative thermal conductivity w.r.t MFP

Force constants

../../_images/fig_fc24594.png

(a) Force constants w.r.t atomic distance

Summary

../../_images/fig_kappa3945.png

(a) Temperature-dependent lattice thermal conductivity

../../_images/fig_times8487.png

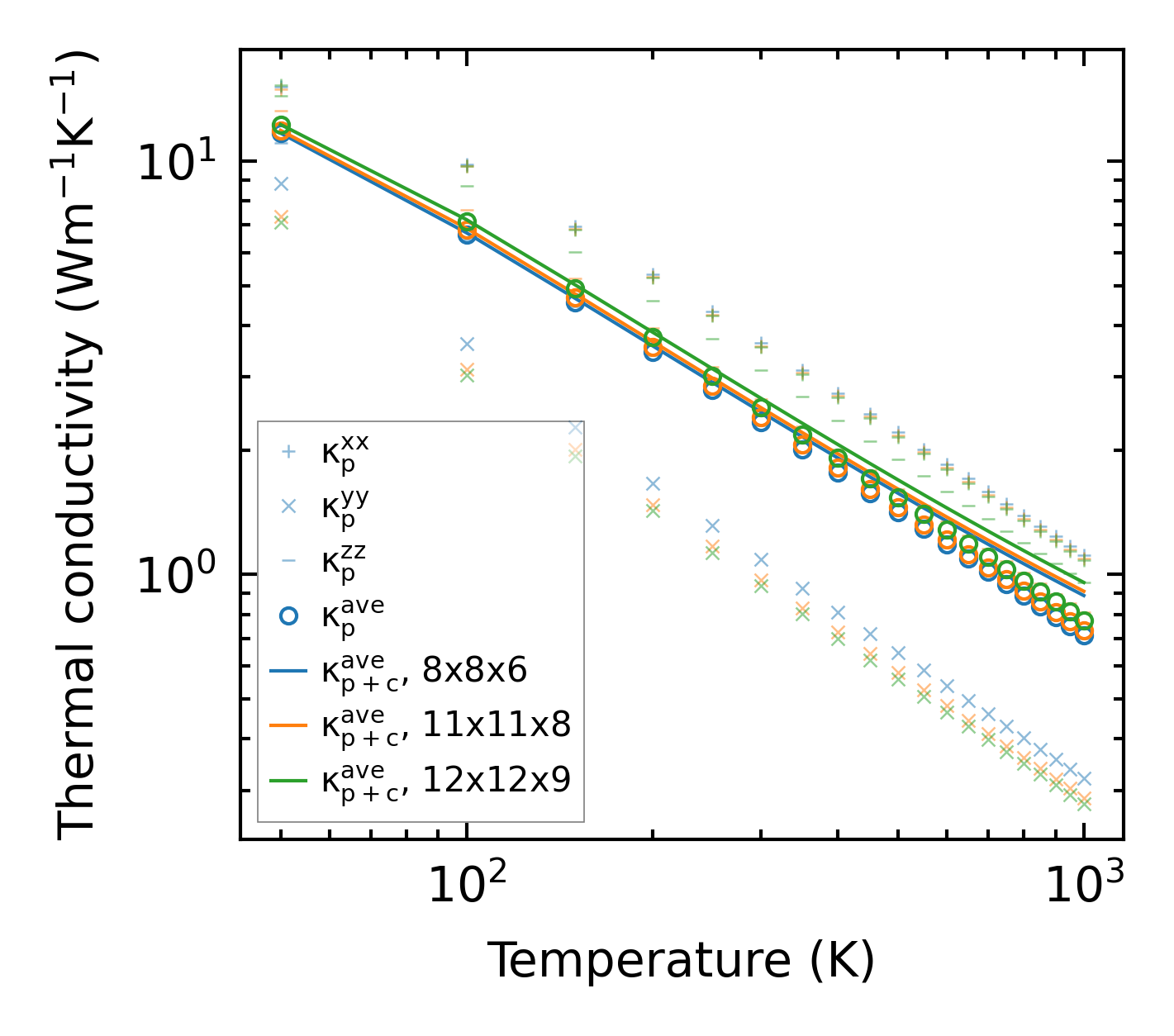
(b) Computation time