mp-7644/LuAsO4/anharm

Equation of state

../../_images/fig_bm2306.png

(a) Equation of state

Harmonic properties

../../_images/fig_bandos_pr4615.png

(a) Phonon dispersion with participation ratio and DOS

../../_images/fig_thermo4615.png

(b) Thermodynamic properties

Grüneisen parameters

../../_images/fig_gru_all1995.png

(a) Grüneisen parameters

../../_images/fig_gruneisen1995.png

(b) Phonon dispersion with Grüneisen parameters

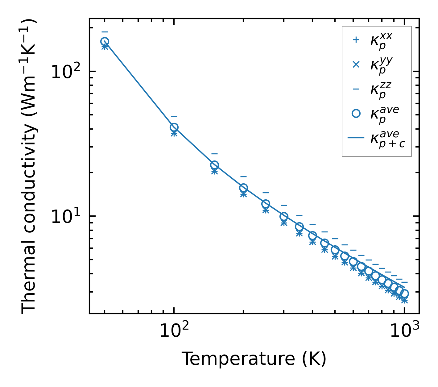
Thermal conductivity

3-phonon (LASSO) — q-mesh: 13x13x13, supercell: 1x1x2

../../_images/fig_kappa3821.png

(a) Temperature-dependent lattice thermal conductivity

../../_images/fig_kappa_vs_grain_size2022.png

(b) Peierls lattice thermal conductivity w.r.t grain size

Phonon lifetime and scattering rates

../../_images/fig_lifetime1984.png

(a) Phonon lifetime due to phonon-phonon scattering

../../_images/fig_scat_rates1983.png

(b) Phonon scattering rates

Cumulative and spectral thermal conductivity

../../_images/fig_cumu_frequency1984.png

(a) Spectral and cumulative thermal conductivity w.r.t frequency

../../_images/fig_cumu_mfp1984.png

(b) Spectral and cumulative thermal conductivity w.r.t MFP

Force constants

../../_images/fig_fc24427.png

(a) Force constants w.r.t atomic distance

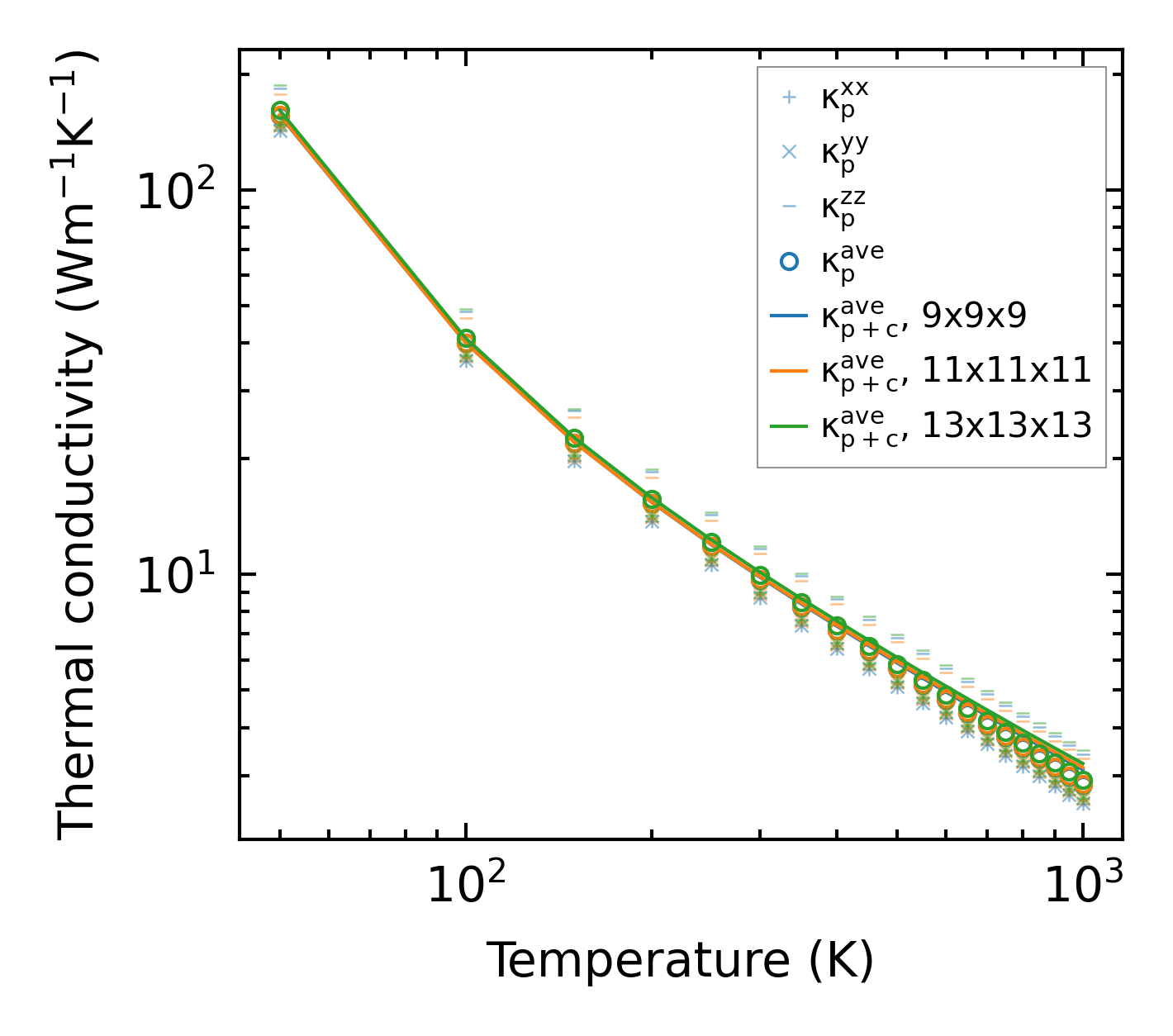
Summary

../../_images/fig_kappa3822.png

(a) Temperature-dependent lattice thermal conductivity

../../_images/fig_times8203.png

(b) Computation time