mp-7811-2/SrSO4/harm

Equation of state

../../_images/fig_bm2173.png

(a) Equation of state

Harmonic properties

../../_images/fig_bandos_pr4327.png

(a) Phonon dispersion with participation ratio and DOS

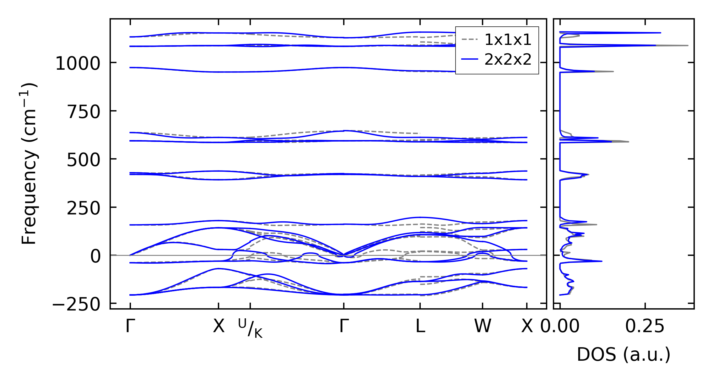
../../_images/fig_bandos6106.png

(b) Phonon dispersion and DOS

../../_images/fig_thermo4327.png

(c) Thermodynamic properties

Force constants

../../_images/fig_fc24140.png

(a) Force constants w.r.t atomic distance

Summary

../../_images/fig_times7746.png

(a) Computation time