mp-7791-2/Li2GeF6/anharm

Equation of state

../../_images/fig_bm2326.png

(a) Equation of state

Harmonic properties

../../_images/fig_bandos_pr4661.png

(a) Phonon dispersion with participation ratio and DOS

../../_images/fig_thermo4661.png

(b) Thermodynamic properties

Grüneisen parameters

../../_images/fig_gru_all2024.png

(a) Grüneisen parameters

../../_images/fig_gruneisen2024.png

(b) Phonon dispersion with Grüneisen parameters

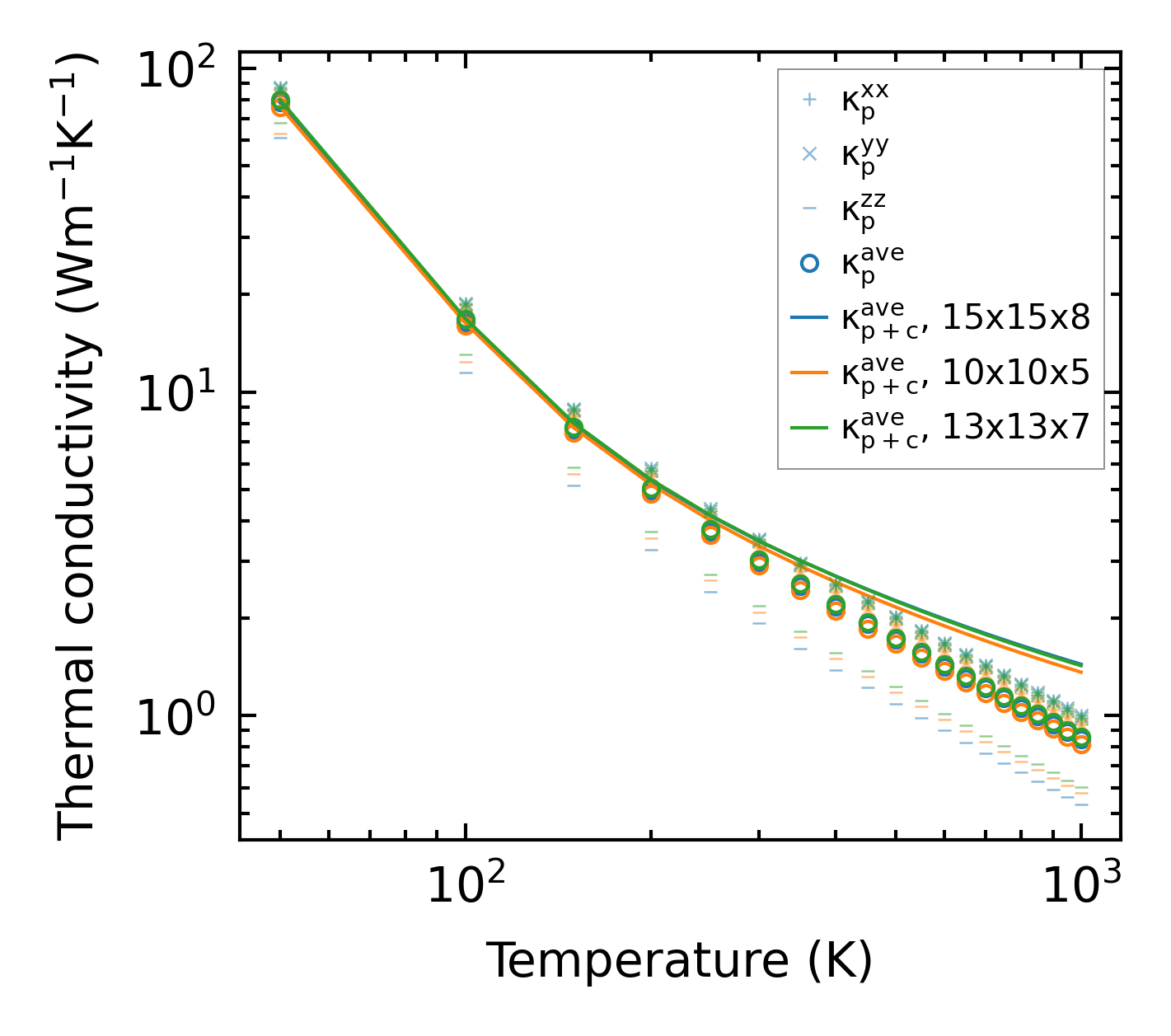
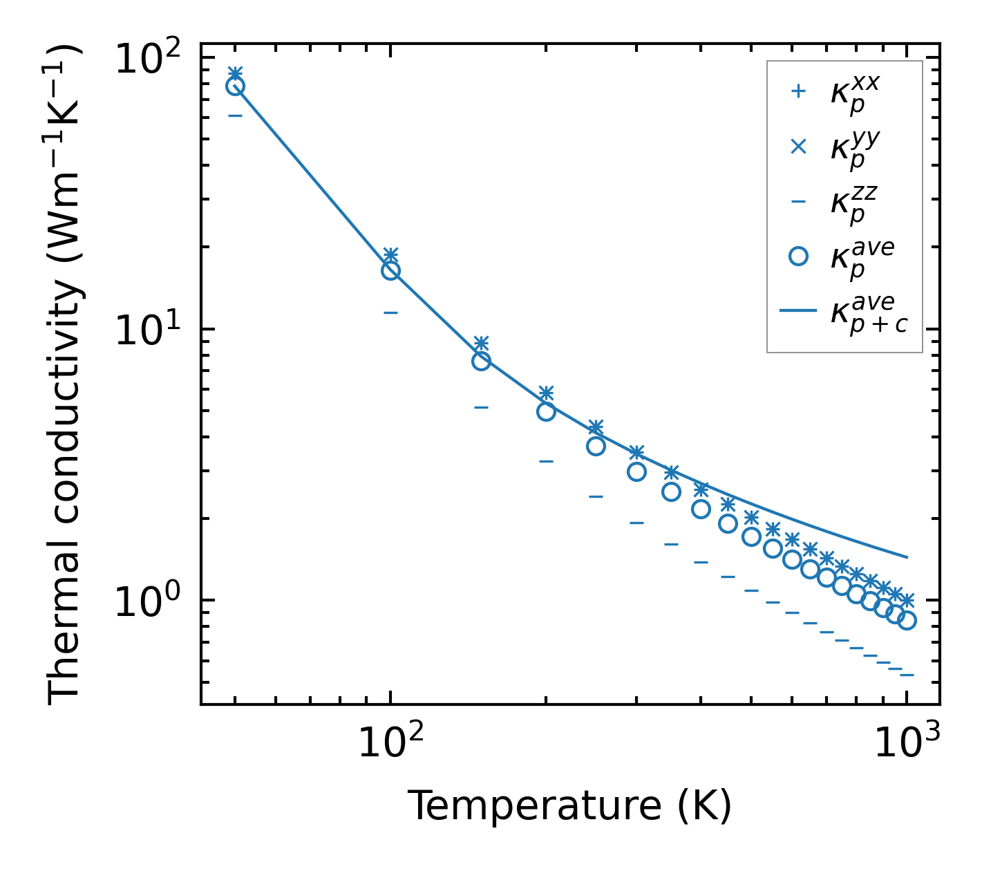
Thermal conductivity

3-phonon (LASSO) — q-mesh: 15x15x8, supercell: 2x2x2

../../_images/fig_kappa3875.png

(a) Temperature-dependent lattice thermal conductivity

../../_images/fig_kappa_vs_grain_size2051.png

(b) Peierls lattice thermal conductivity w.r.t grain size

3-phonon (LASSO), supercell 3x3x2 — q-mesh: 15x15x8, supercell: 3x3x2

../../_images/fig_kappa3876.png

(a) Temperature-dependent lattice thermal conductivity

../../_images/fig_kappa_vs_grain_size2052.png

(b) Peierls lattice thermal conductivity w.r.t grain size

Phonon lifetime and scattering rates

../../_images/fig_lifetime2011.png

(a) Phonon lifetime due to phonon-phonon scattering

../../_images/fig_scat_rates2010.png

(b) Phonon scattering rates

Cumulative and spectral thermal conductivity

../../_images/fig_cumu_frequency2011.png

(a) Spectral and cumulative thermal conductivity w.r.t frequency

../../_images/fig_cumu_mfp2011.png

(b) Spectral and cumulative thermal conductivity w.r.t MFP

Force constants

../../_images/fig_fc24472.png

(a) Force constants w.r.t atomic distance

Summary

../../_images/fig_kappa3877.png

(a) Temperature-dependent lattice thermal conductivity

../../_images/fig_times8265.png

(b) Computation time