mp-17951/Cs4Zn3F10/anharm

Harmonic properties

../../_images/fig_bandos_pr14088.png

(a) Phonon dispersion with participation ratio and DOS

../../_images/fig_thermo14088.png

(b) Thermodynamic properties

Grüneisen parameters

../../_images/fig_gru_all5974.png

(a) Grüneisen parameters

../../_images/fig_gruneisen5974.png

(b) Phonon dispersion with Grüneisen parameters

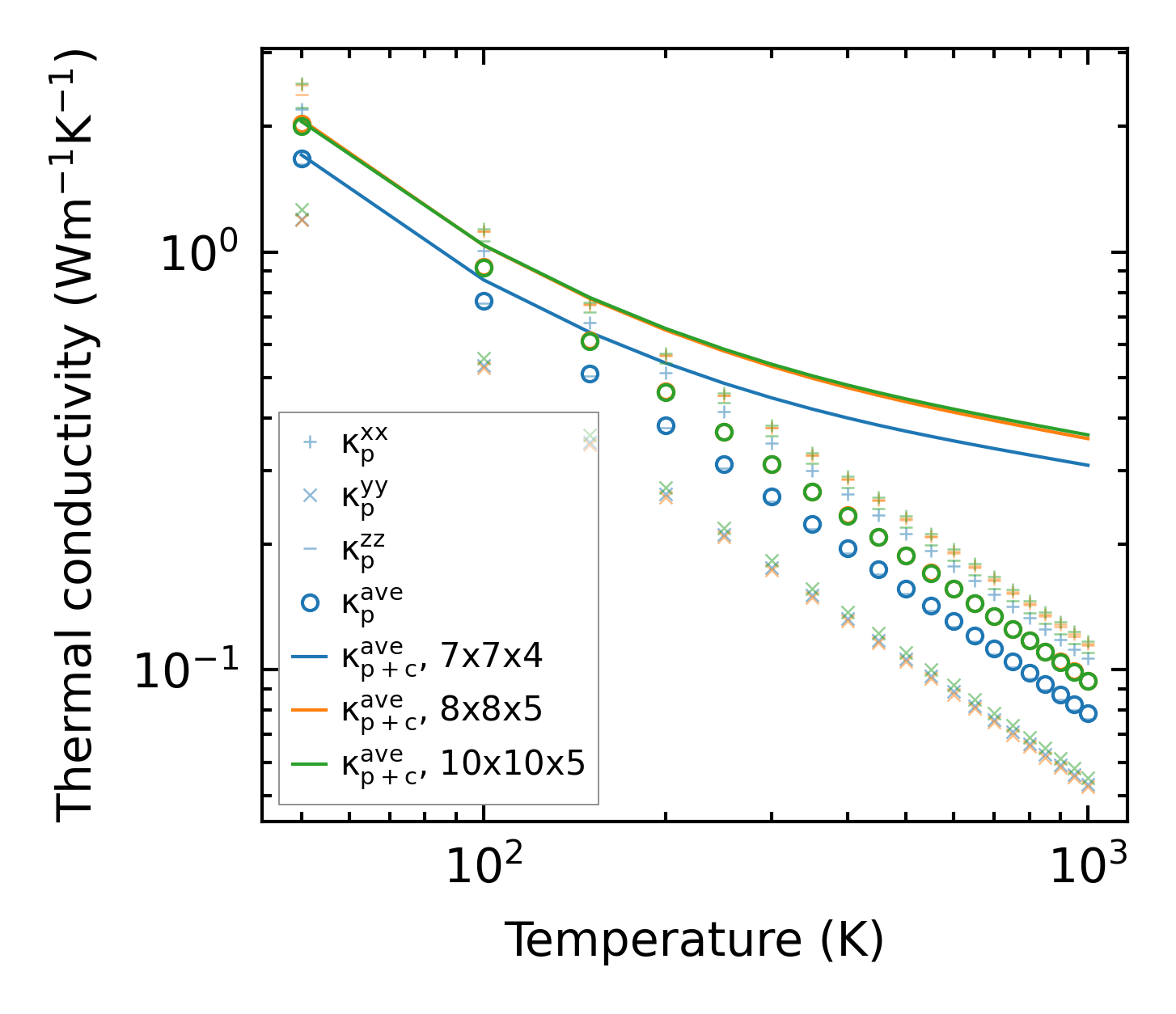
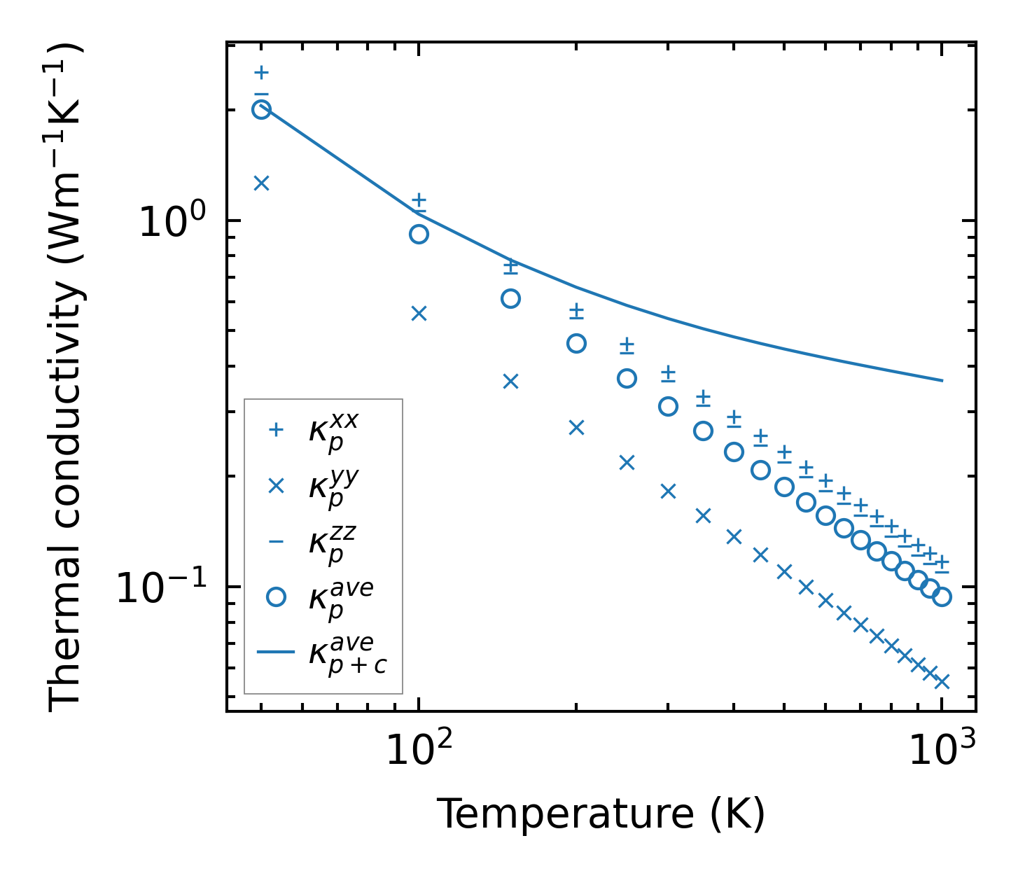
Thermal conductivity

3-phonon (LASSO) — q-mesh: 10x10x5, supercell: 2x1x1

../../_images/fig_kappa11247.png

(a) Temperature-dependent lattice thermal conductivity

../../_images/fig_kappa_vs_grain_size6052.png

(b) Peierls lattice thermal conductivity w.r.t grain size

Phonon lifetime and scattering rates

../../_images/fig_lifetime5917.png

(a) Phonon lifetime due to phonon-phonon scattering

../../_images/fig_scat_rates5916.png

(b) Phonon scattering rates

Cumulative and spectral thermal conductivity

../../_images/fig_cumu_frequency5917.png

(a) Spectral and cumulative thermal conductivity w.r.t frequency

../../_images/fig_cumu_mfp5916.png

(b) Spectral and cumulative thermal conductivity w.r.t MFP

Force constants

../../_images/fig_fc213716.png

(a) Force constants w.r.t atomic distance

Summary

../../_images/fig_kappa11248.png

(a) Temperature-dependent lattice thermal conductivity

../../_images/fig_times23558.png

(b) Computation time