mp-17054-2/Cs3TaS4/anharm

Equation of state

../../_images/fig_bm7097.png

(a) Equation of state

Harmonic properties

../../_images/fig_bandos_pr14172.png

(a) Phonon dispersion with participation ratio and DOS

../../_images/fig_thermo14172.png

(b) Thermodynamic properties

Grüneisen parameters

../../_images/fig_gru_all6019.png

(a) Grüneisen parameters

../../_images/fig_gruneisen6019.png

(b) Phonon dispersion with Grüneisen parameters

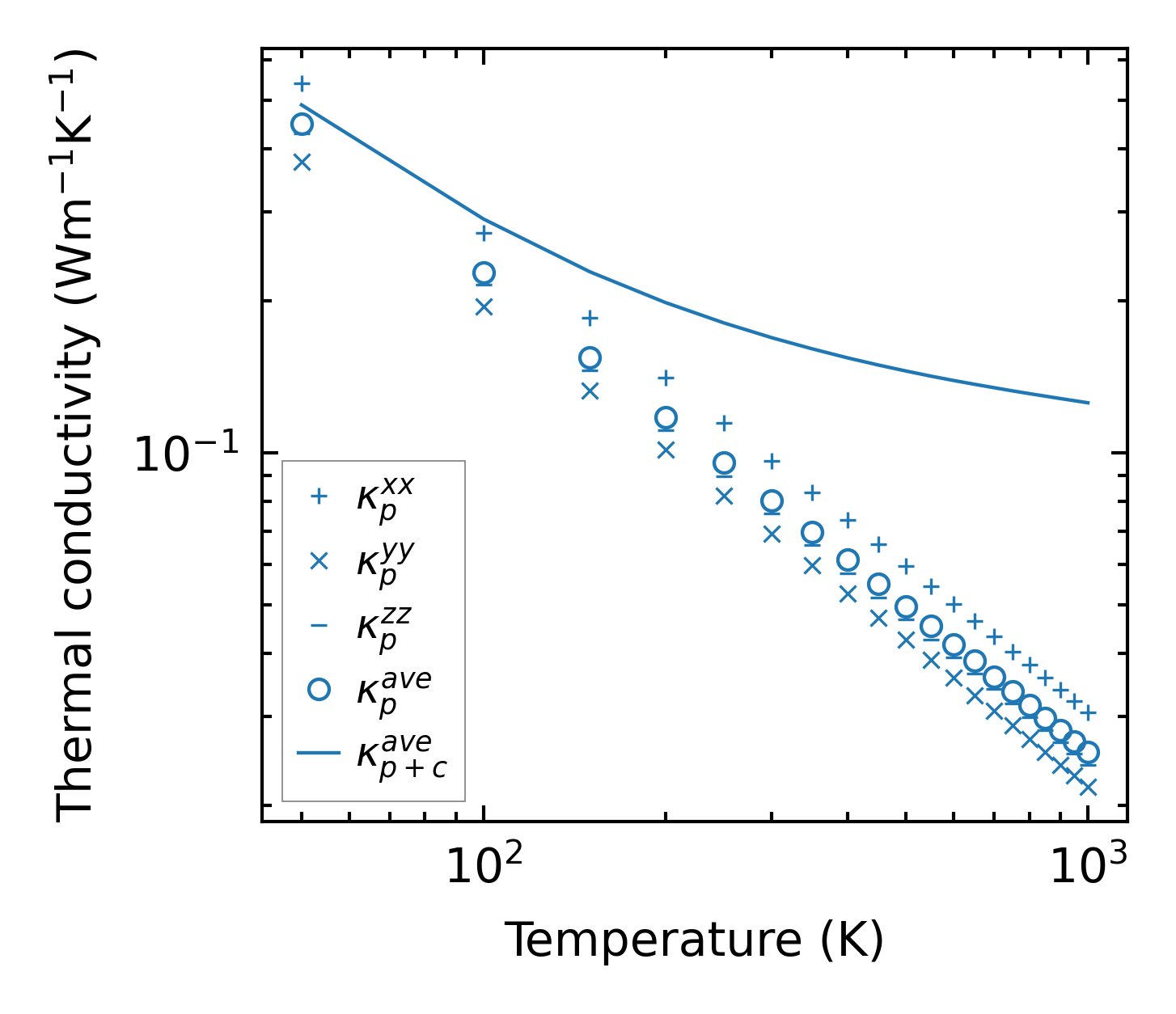
Thermal conductivity

3-phonon (LASSO) — q-mesh: 7x6x7, supercell: 2x1x2

../../_images/fig_kappa11328.png

(a) Temperature-dependent lattice thermal conductivity

../../_images/fig_kappa_vs_grain_size6097.png

(b) Peierls lattice thermal conductivity w.r.t grain size

3-phonon (LASSO), supercell 2x2x2 — q-mesh: 7x6x7, supercell: 2x2x2

../../_images/fig_kappa11329.png

(a) Temperature-dependent lattice thermal conductivity

../../_images/fig_kappa_vs_grain_size6098.png

(b) Peierls lattice thermal conductivity w.r.t grain size

Phonon lifetime and scattering rates

../../_images/fig_lifetime5960.png

(a) Phonon lifetime due to phonon-phonon scattering

../../_images/fig_scat_rates5959.png

(b) Phonon scattering rates

Cumulative and spectral thermal conductivity

../../_images/fig_cumu_frequency5960.png

(a) Spectral and cumulative thermal conductivity w.r.t frequency

../../_images/fig_cumu_mfp5959.png

(b) Spectral and cumulative thermal conductivity w.r.t MFP

Force constants

../../_images/fig_fc213800.png

(a) Force constants w.r.t atomic distance

Summary

../../_images/fig_kappa11330.png

(a) Temperature-dependent lattice thermal conductivity

../../_images/fig_times23691.png

(b) Computation time