mp-17559-2/Y2TiO5/anharm

Harmonic properties

../../_images/fig_bandos_pr13951.png

(a) Phonon dispersion with participation ratio and DOS

../../_images/fig_thermo13951.png

(b) Thermodynamic properties

Grüneisen parameters

../../_images/fig_gru_all5906.png

(a) Grüneisen parameters

../../_images/fig_gruneisen5906.png

(b) Phonon dispersion with Grüneisen parameters

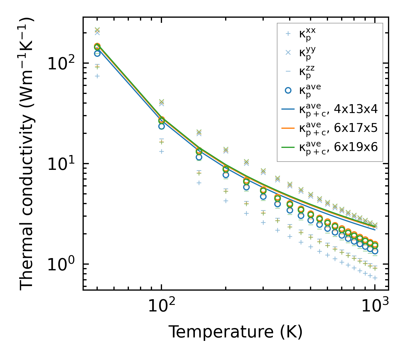
Thermal conductivity

3-phonon (LASSO) — q-mesh: 6x19x6, supercell: 1x3x1

../../_images/fig_kappa11117.png

(a) Temperature-dependent lattice thermal conductivity

../../_images/fig_kappa_vs_grain_size5983.png

(b) Peierls lattice thermal conductivity w.r.t grain size

Phonon lifetime and scattering rates

../../_images/fig_lifetime5849.png

(a) Phonon lifetime due to phonon-phonon scattering

../../_images/fig_scat_rates5848.png

(b) Phonon scattering rates

Cumulative and spectral thermal conductivity

../../_images/fig_cumu_frequency5849.png

(a) Spectral and cumulative thermal conductivity w.r.t frequency

../../_images/fig_cumu_mfp5848.png

(b) Spectral and cumulative thermal conductivity w.r.t MFP

Force constants

../../_images/fig_fc213579.png

(a) Force constants w.r.t atomic distance

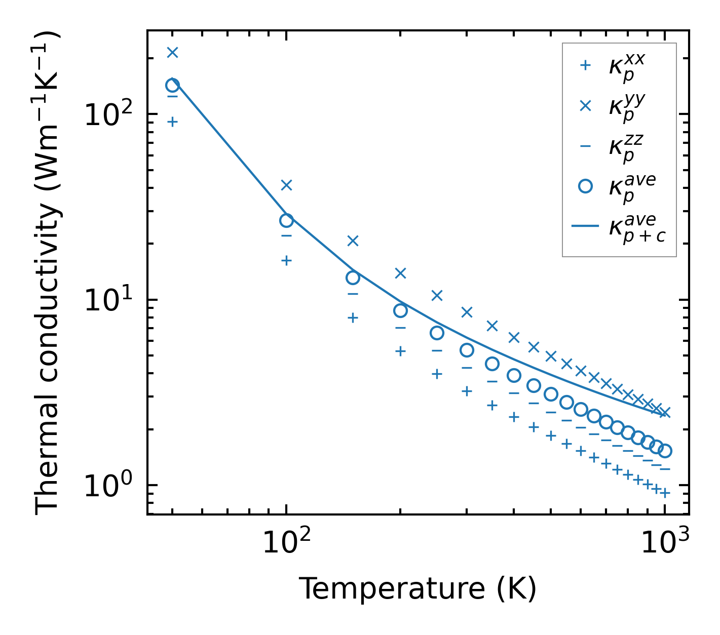
Summary

../../_images/fig_kappa11118.png

(a) Temperature-dependent lattice thermal conductivity

../../_images/fig_times23367.png

(b) Computation time