mp-17361/Cs2WS4/anharm

Harmonic properties

../../_images/fig_bandos_pr14260.png

(a) Phonon dispersion with participation ratio and DOS

../../_images/fig_thermo14260.png

(b) Thermodynamic properties

Grüneisen parameters

../../_images/fig_gru_all6067.png

(a) Grüneisen parameters

../../_images/fig_gruneisen6067.png

(b) Phonon dispersion with Grüneisen parameters

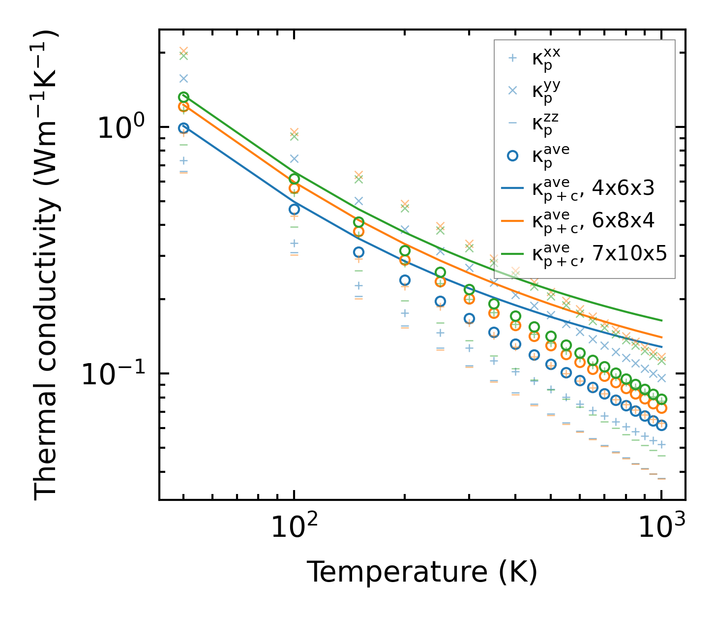
Thermal conductivity

3-phonon (LASSO) — q-mesh: 7x10x5, supercell: 2x2x1

../../_images/fig_kappa11415.png

(a) Temperature-dependent lattice thermal conductivity

../../_images/fig_kappa_vs_grain_size6145.png

(b) Peierls lattice thermal conductivity w.r.t grain size

Phonon lifetime and scattering rates

../../_images/fig_lifetime6006.png

(a) Phonon lifetime due to phonon-phonon scattering

../../_images/fig_scat_rates6005.png

(b) Phonon scattering rates

Cumulative and spectral thermal conductivity

../../_images/fig_cumu_frequency6006.png

(a) Spectral and cumulative thermal conductivity w.r.t frequency

../../_images/fig_cumu_mfp6005.png

(b) Spectral and cumulative thermal conductivity w.r.t MFP

Force constants

../../_images/fig_fc213888.png

(a) Force constants w.r.t atomic distance

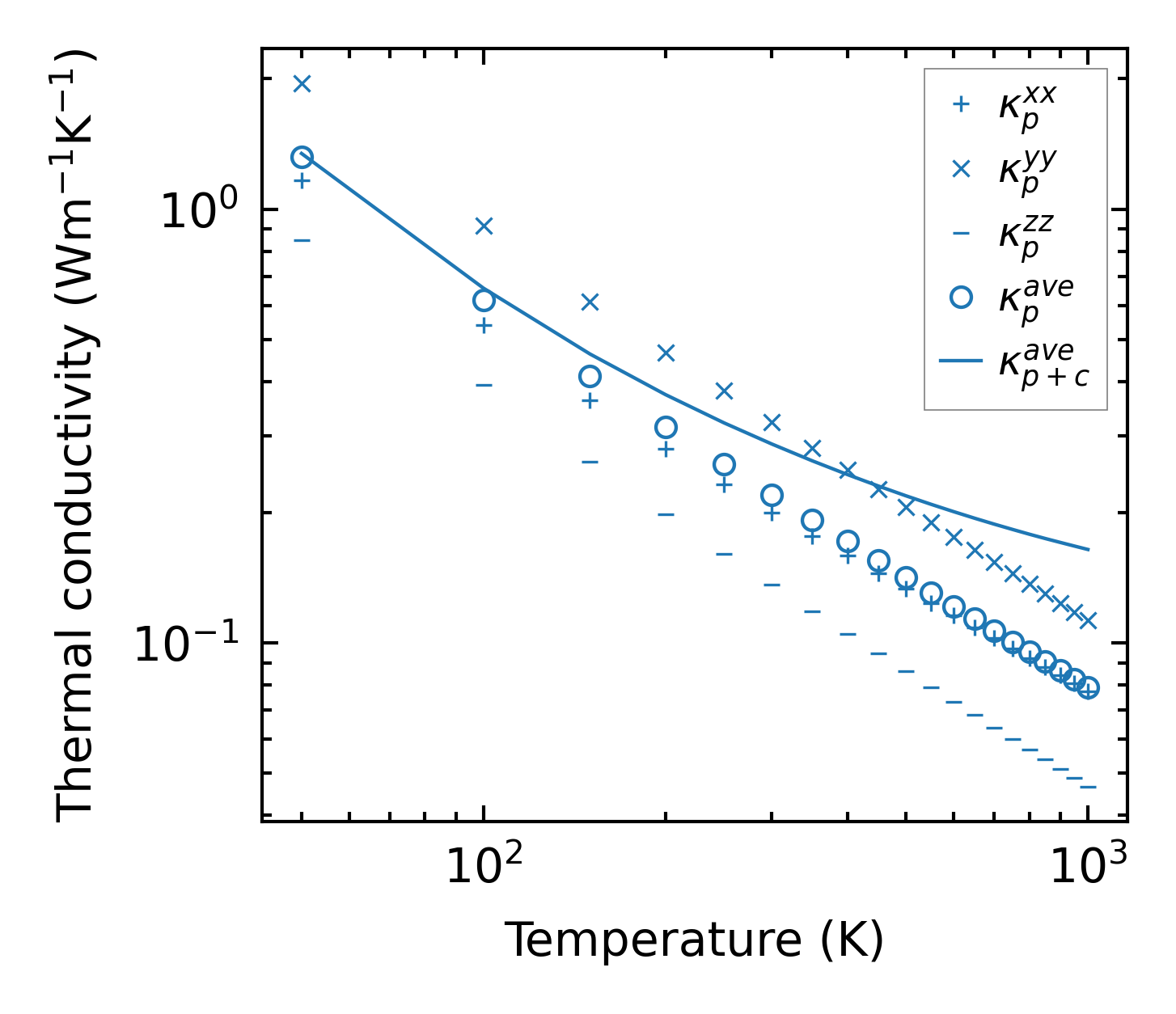
Summary

../../_images/fig_kappa11416.png

(a) Temperature-dependent lattice thermal conductivity

../../_images/fig_times23820.png

(b) Computation time