mp-17464/SrGeO3/anharm

Harmonic properties

../../_images/fig_bandos_pr13925.png

(a) Phonon dispersion with participation ratio and DOS

../../_images/fig_thermo13925.png

(b) Thermodynamic properties

Grüneisen parameters

../../_images/fig_gru_all5887.png

(a) Grüneisen parameters

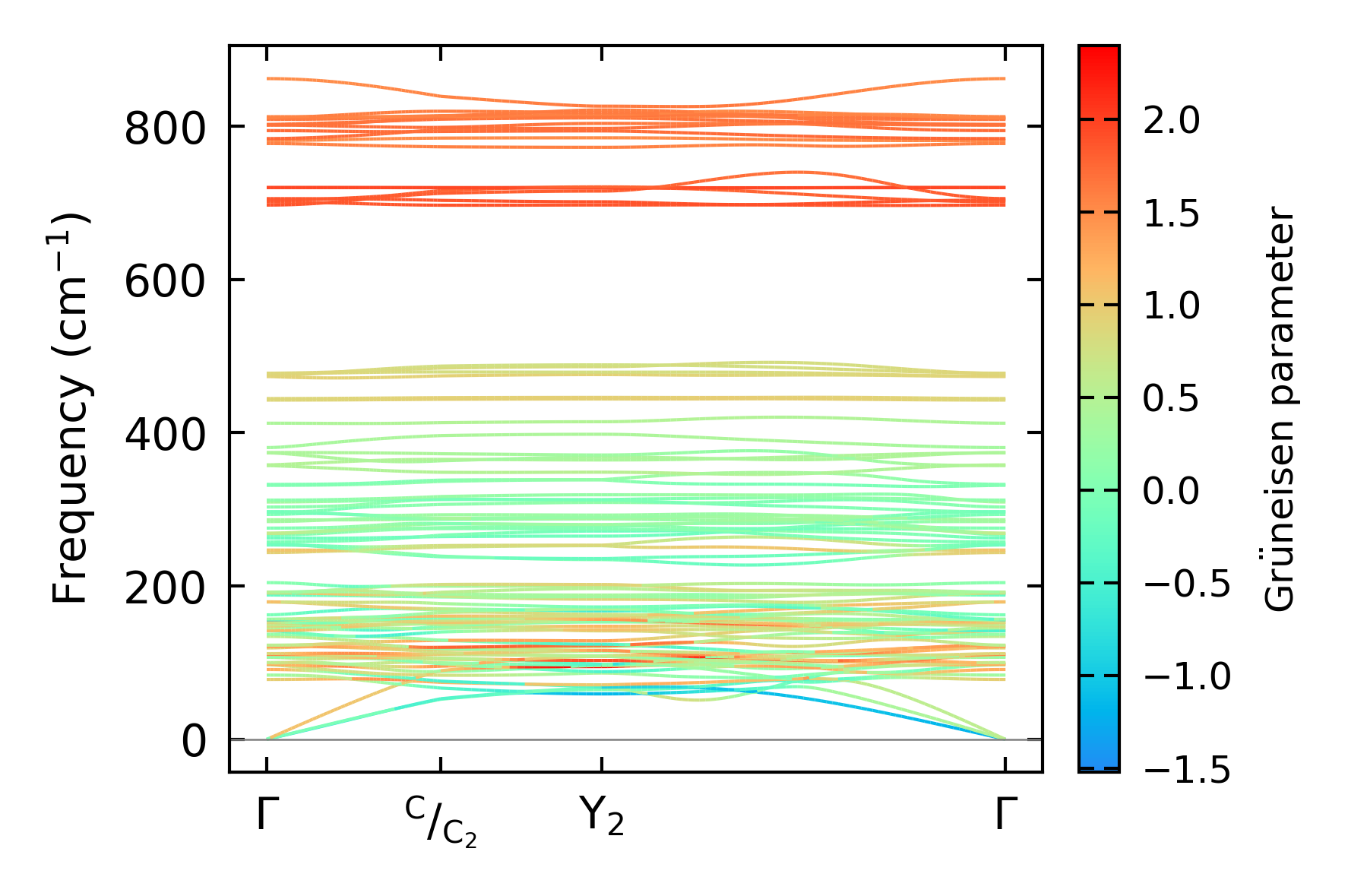
../../_images/fig_gruneisen5887.png

(b) Phonon dispersion with Grüneisen parameters

Thermal conductivity

3-phonon (LASSO) — q-mesh: 10x10x6, supercell: 1x2x1

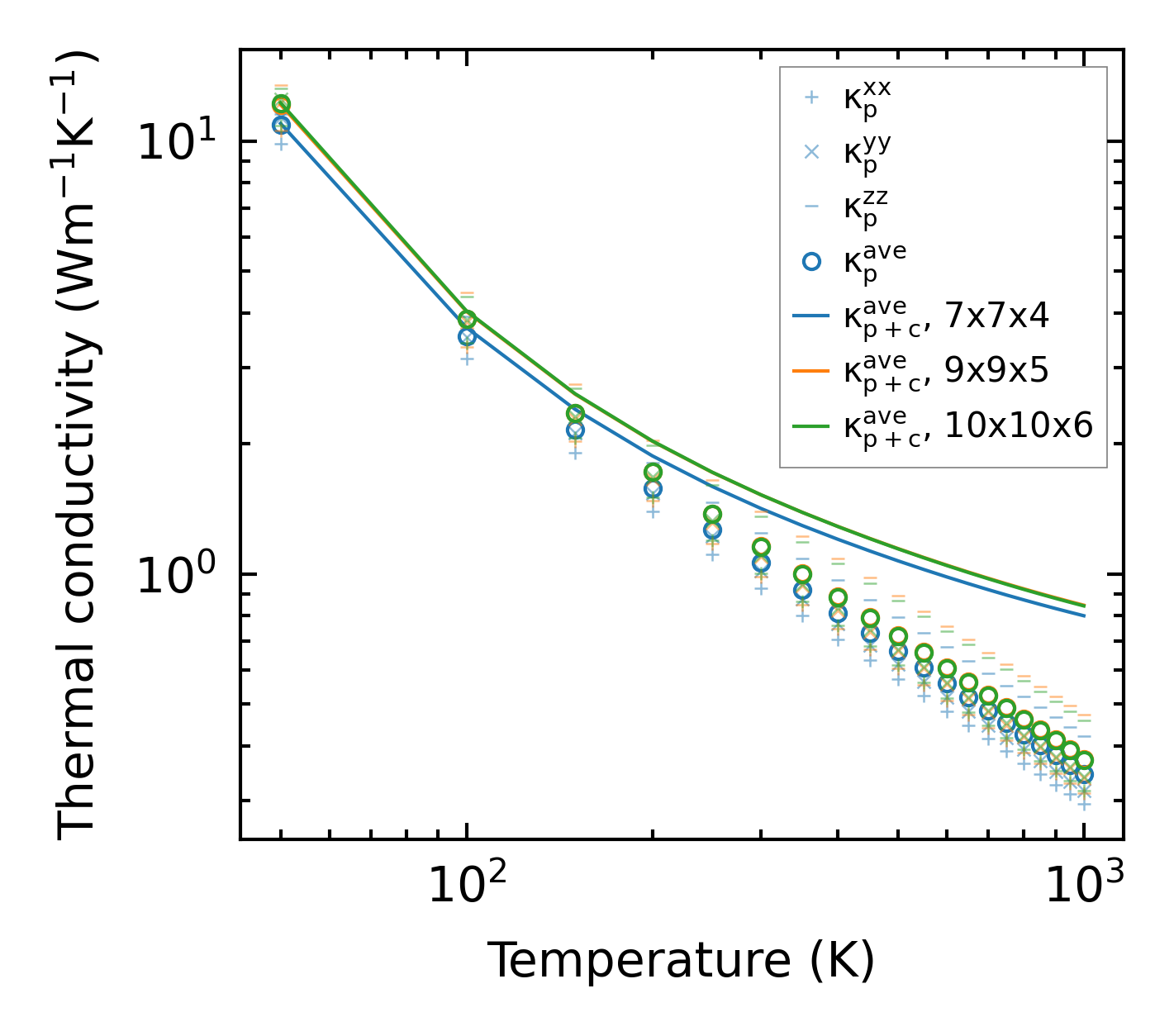
../../_images/fig_kappa11079.png

(a) Temperature-dependent lattice thermal conductivity

../../_images/fig_kappa_vs_grain_size5963.png

(b) Peierls lattice thermal conductivity w.r.t grain size

Phonon lifetime and scattering rates

../../_images/fig_lifetime5830.png

(a) Phonon lifetime due to phonon-phonon scattering

../../_images/fig_scat_rates5829.png

(b) Phonon scattering rates

Cumulative and spectral thermal conductivity

../../_images/fig_cumu_frequency5830.png

(a) Spectral and cumulative thermal conductivity w.r.t frequency

../../_images/fig_cumu_mfp5829.png

(b) Spectral and cumulative thermal conductivity w.r.t MFP

Force constants

../../_images/fig_fc213553.png

(a) Force constants w.r.t atomic distance

Summary

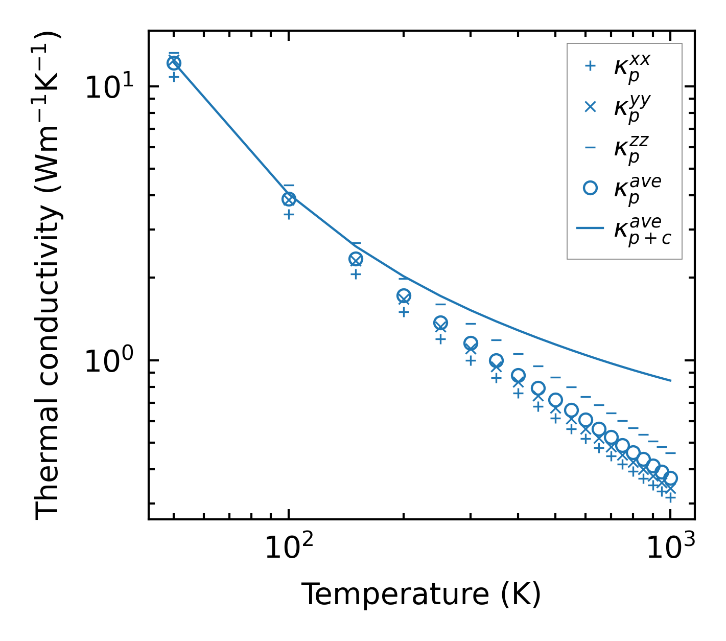
../../_images/fig_kappa11080.png

(a) Temperature-dependent lattice thermal conductivity

../../_images/fig_times23330.png

(b) Computation time