mp-17568-3/Ag3Sn2Ge3P6/anharm

Harmonic properties

../../_images/fig_bandos_pr13957.png

(a) Phonon dispersion with participation ratio and DOS

../../_images/fig_thermo13957.png

(b) Thermodynamic properties

Grüneisen parameters

../../_images/fig_gru_all5912.png

(a) Grüneisen parameters

../../_images/fig_gruneisen5912.png

(b) Phonon dispersion with Grüneisen parameters

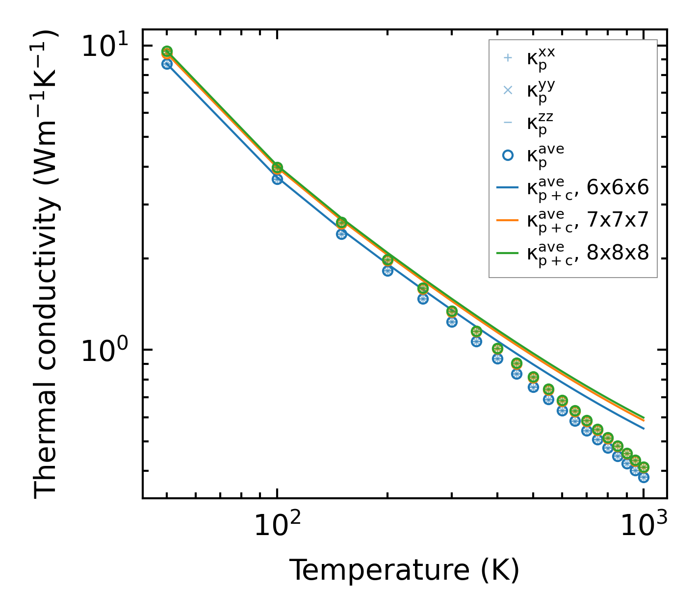
Thermal conductivity

3-phonon (LASSO) — q-mesh: 8x8x8, supercell: 1x1x1

../../_images/fig_kappa11128.png

(a) Temperature-dependent lattice thermal conductivity

../../_images/fig_kappa_vs_grain_size5989.png

(b) Peierls lattice thermal conductivity w.r.t grain size

Phonon lifetime and scattering rates

../../_images/fig_lifetime5855.png

(a) Phonon lifetime due to phonon-phonon scattering

../../_images/fig_scat_rates5854.png

(b) Phonon scattering rates

Cumulative and spectral thermal conductivity

../../_images/fig_cumu_frequency5855.png

(a) Spectral and cumulative thermal conductivity w.r.t frequency

../../_images/fig_cumu_mfp5854.png

(b) Spectral and cumulative thermal conductivity w.r.t MFP

Force constants

../../_images/fig_fc213585.png

(a) Force constants w.r.t atomic distance

Summary

../../_images/fig_kappa11129.png

(a) Temperature-dependent lattice thermal conductivity

../../_images/fig_times23376.png

(b) Computation time