mp-17123/Si2Os/anharm

Harmonic properties

../../_images/fig_bandos_pr14195.png

(a) Phonon dispersion with participation ratio and DOS

../../_images/fig_thermo14195.png

(b) Thermodynamic properties

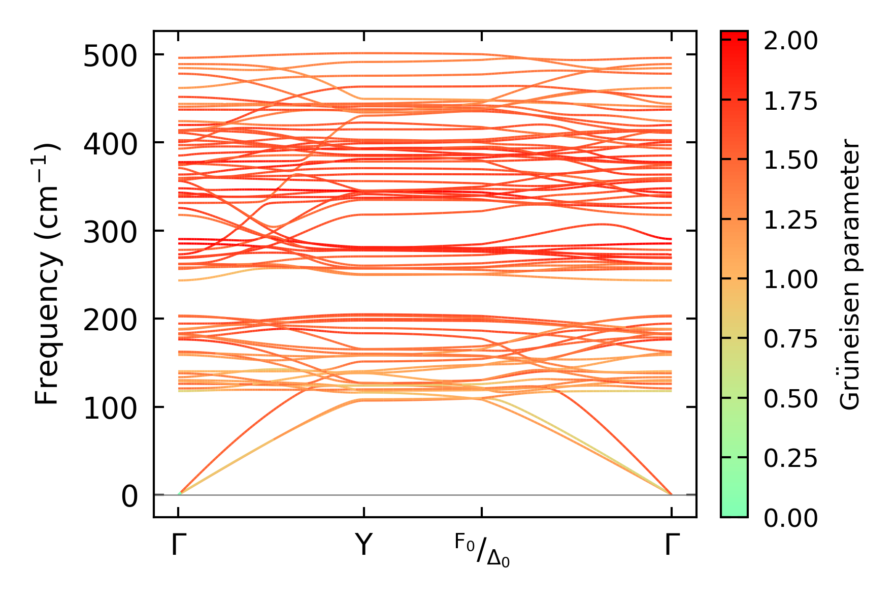
Grüneisen parameters

../../_images/fig_gru_all6035.png

(a) Grüneisen parameters

../../_images/fig_gruneisen6035.png

(b) Phonon dispersion with Grüneisen parameters

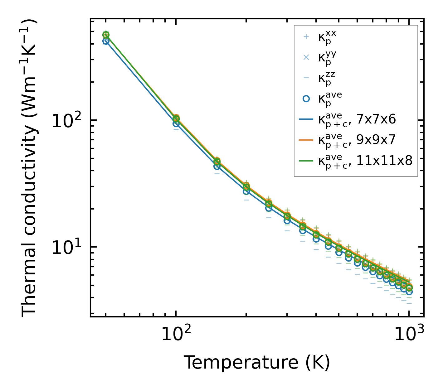
Thermal conductivity

3-phonon (LASSO) — q-mesh: 11x11x8, supercell: 1x2x1

../../_images/fig_kappa11357.png

(a) Temperature-dependent lattice thermal conductivity

../../_images/fig_kappa_vs_grain_size6112.png

(b) Peierls lattice thermal conductivity w.r.t grain size

Phonon lifetime and scattering rates

../../_images/fig_lifetime5974.png

(a) Phonon lifetime due to phonon-phonon scattering

../../_images/fig_scat_rates5973.png

(b) Phonon scattering rates

Cumulative and spectral thermal conductivity

../../_images/fig_cumu_frequency5974.png

(a) Spectral and cumulative thermal conductivity w.r.t frequency

../../_images/fig_cumu_mfp5973.png

(b) Spectral and cumulative thermal conductivity w.r.t MFP

Force constants

../../_images/fig_fc213823.png

(a) Force constants w.r.t atomic distance

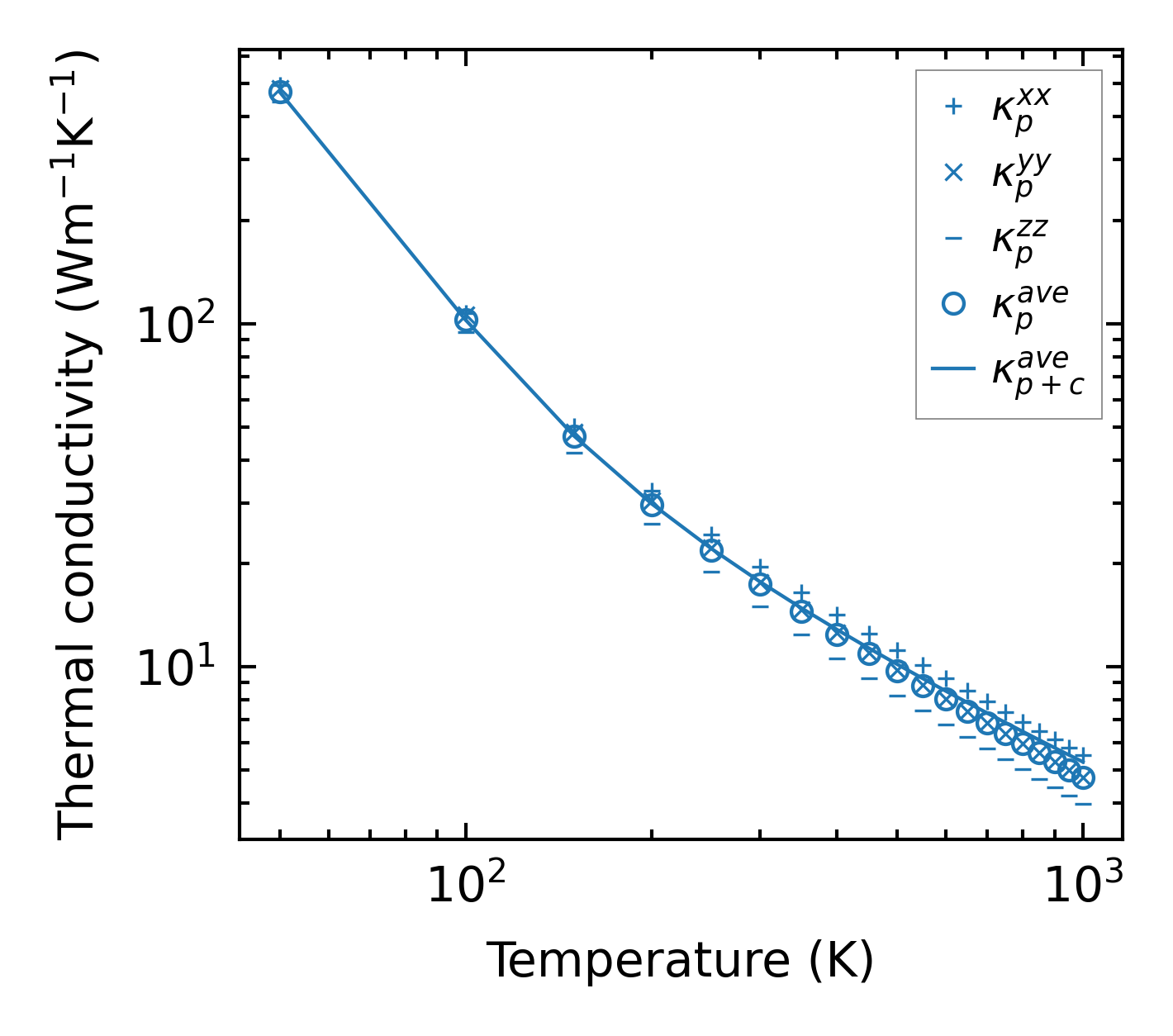
Summary

../../_images/fig_kappa11358.png

(a) Temperature-dependent lattice thermal conductivity

../../_images/fig_times23723.png

(b) Computation time