mp-17324-2/ZrSnS3/anharm

Equation of state

../../_images/fig_bm7138.png

(a) Equation of state

Harmonic properties

../../_images/fig_bandos_pr14250.png

(a) Phonon dispersion with participation ratio and DOS

../../_images/fig_thermo14250.png

(b) Thermodynamic properties

Grüneisen parameters

../../_images/fig_gru_all6062.png

(a) Grüneisen parameters

../../_images/fig_gruneisen6062.png

(b) Phonon dispersion with Grüneisen parameters

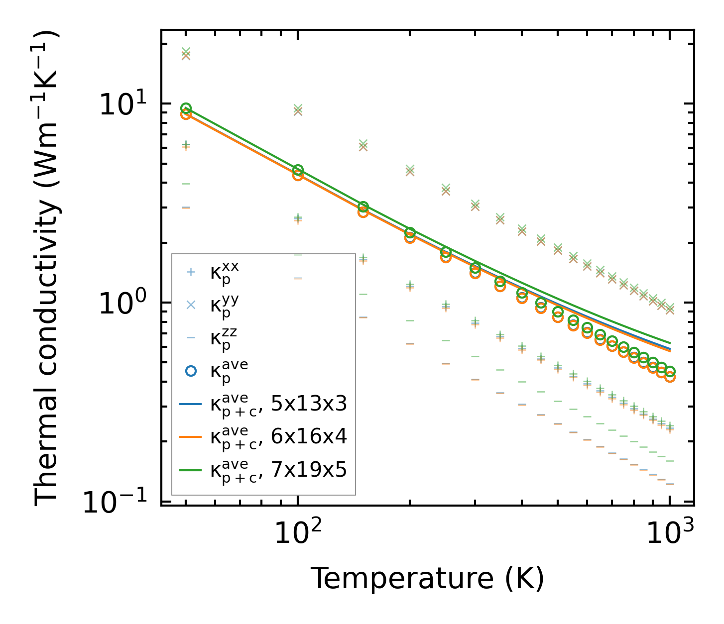
Thermal conductivity

3-phonon (LASSO) — q-mesh: 7x19x5, supercell: 2x3x1

../../_images/fig_kappa11407.png

(a) Temperature-dependent lattice thermal conductivity

../../_images/fig_kappa_vs_grain_size6140.png

(b) Peierls lattice thermal conductivity w.r.t grain size

Phonon lifetime and scattering rates

../../_images/fig_lifetime6001.png

(a) Phonon lifetime due to phonon-phonon scattering

../../_images/fig_scat_rates6000.png

(b) Phonon scattering rates

Cumulative and spectral thermal conductivity

../../_images/fig_cumu_frequency6001.png

(a) Spectral and cumulative thermal conductivity w.r.t frequency

../../_images/fig_cumu_mfp6000.png

(b) Spectral and cumulative thermal conductivity w.r.t MFP

Force constants

../../_images/fig_fc213878.png

(a) Force constants w.r.t atomic distance

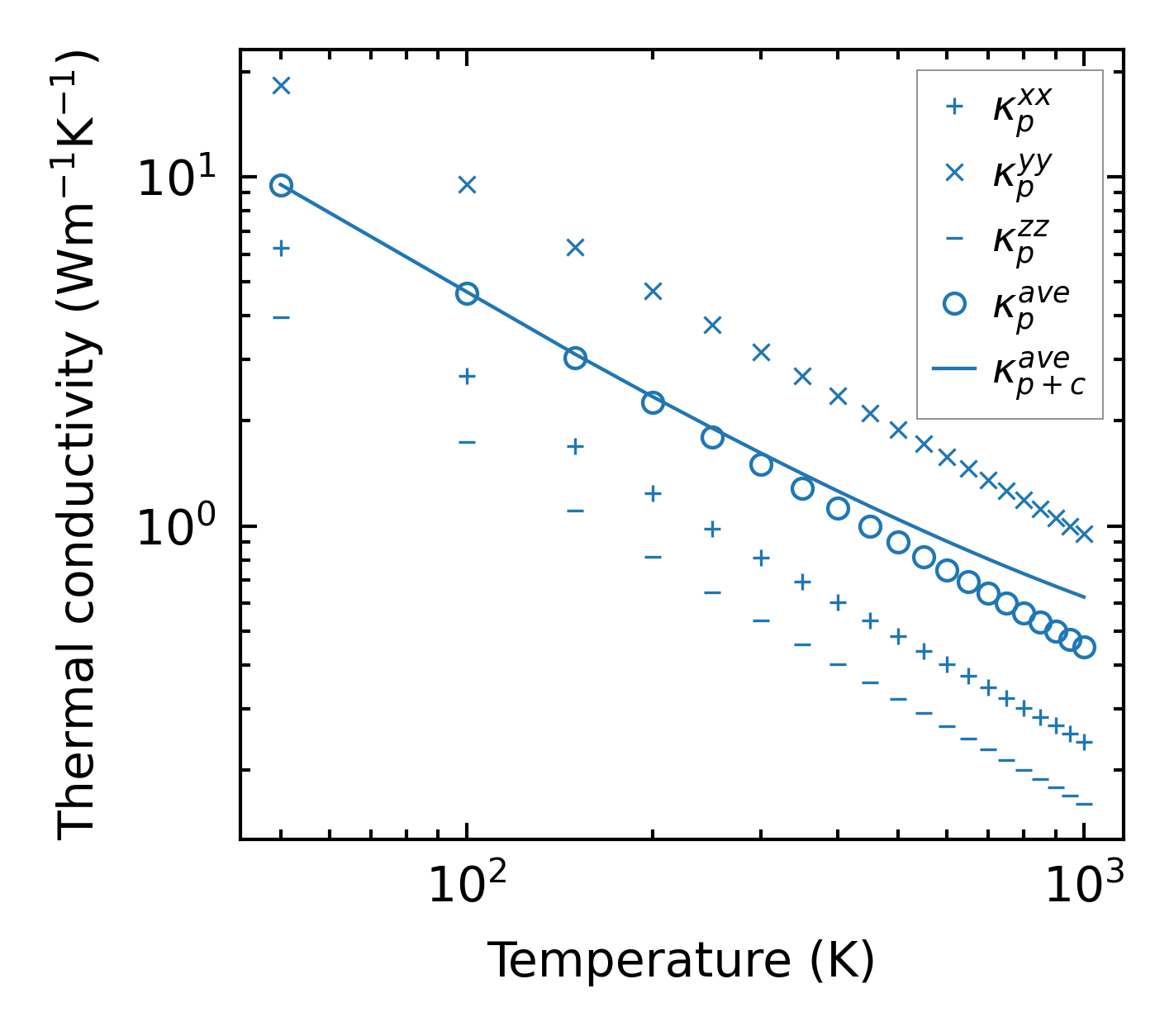
Summary

../../_images/fig_kappa11408.png

(a) Temperature-dependent lattice thermal conductivity

../../_images/fig_times23808.png

(b) Computation time