mp-17911-2/Ba2ZnO3/anharm

Equation of state

../../_images/fig_bm7045.png

(a) Equation of state

Harmonic properties

../../_images/fig_bandos_pr14069.png

(a) Phonon dispersion with participation ratio and DOS

../../_images/fig_bandos18449.png

(b) Phonon dispersion and DOS

../../_images/fig_thermo14069.png

(c) Thermodynamic properties

Grüneisen parameters

../../_images/fig_gru_all5967.png

(a) Grüneisen parameters

../../_images/fig_gruneisen5967.png

(b) Phonon dispersion with Grüneisen parameters

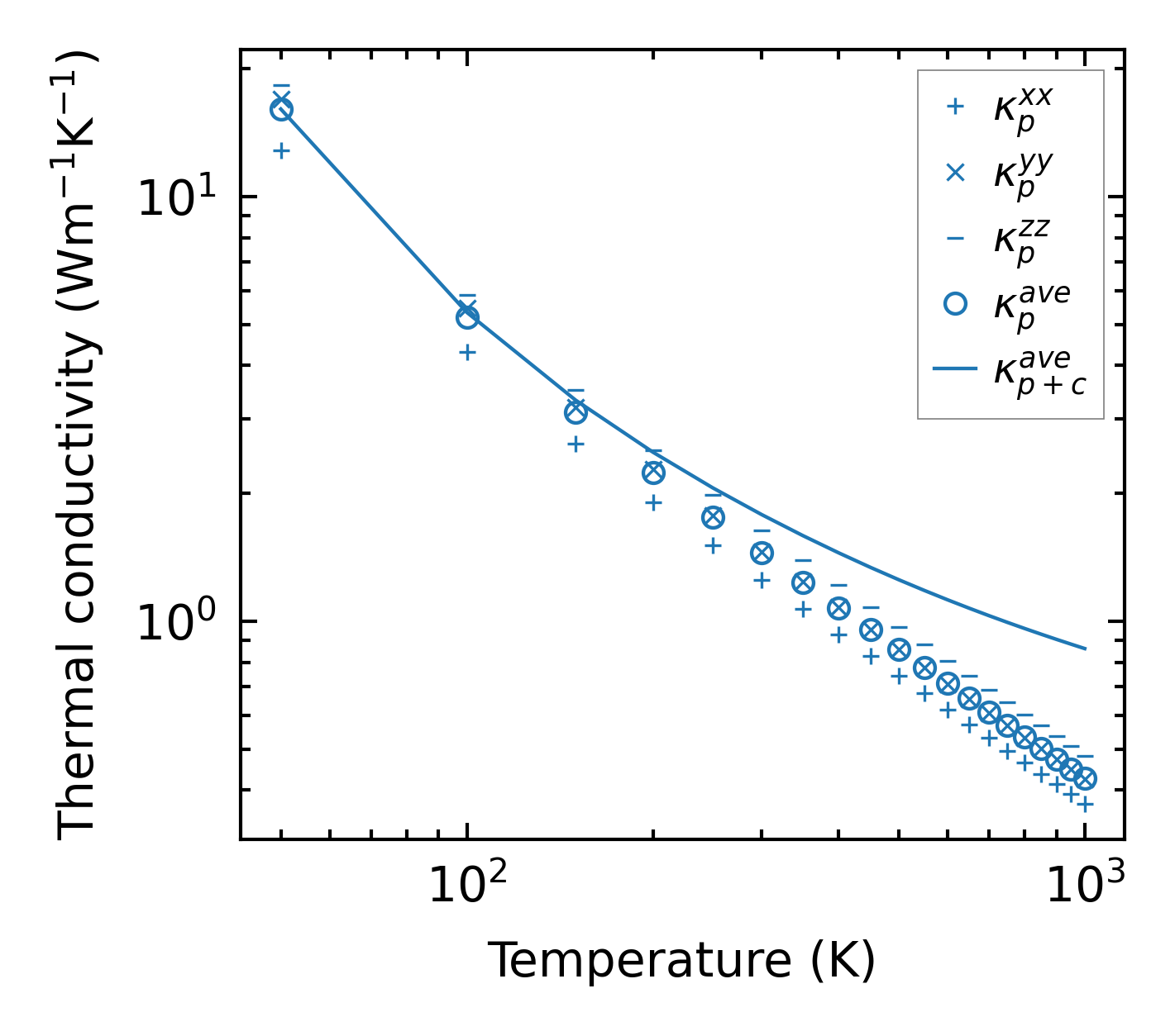
Thermal conductivity

3-phonon (LASSO) — q-mesh: 12x12x6, supercell: 2x1x1

../../_images/fig_kappa11234.png

(a) Temperature-dependent lattice thermal conductivity

../../_images/fig_kappa_vs_grain_size6045.png

(b) Peierls lattice thermal conductivity w.r.t grain size

Phonon lifetime and scattering rates

../../_images/fig_lifetime5910.png

(a) Phonon lifetime due to phonon-phonon scattering

../../_images/fig_scat_rates5909.png

(b) Phonon scattering rates

Cumulative and spectral thermal conductivity

../../_images/fig_cumu_frequency5910.png

(a) Spectral and cumulative thermal conductivity w.r.t frequency

../../_images/fig_cumu_mfp5909.png

(b) Spectral and cumulative thermal conductivity w.r.t MFP

Force constants

../../_images/fig_fc213697.png

(a) Force constants w.r.t atomic distance

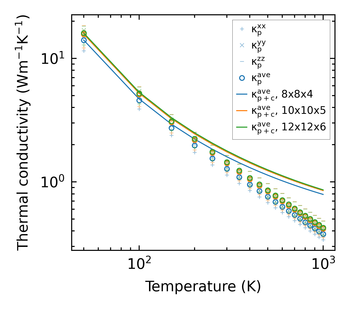
Summary

../../_images/fig_kappa11235.png

(a) Temperature-dependent lattice thermal conductivity

../../_images/fig_times23533.png

(b) Computation time