mp-17841/Mg4Nb2O9/anharm

Harmonic properties

../../_images/fig_bandos_pr14038.png

(a) Phonon dispersion with participation ratio and DOS

../../_images/fig_thermo14038.png

(b) Thermodynamic properties

Grüneisen parameters

../../_images/fig_gru_all5954.png

(a) Grüneisen parameters

../../_images/fig_gruneisen5954.png

(b) Phonon dispersion with Grüneisen parameters

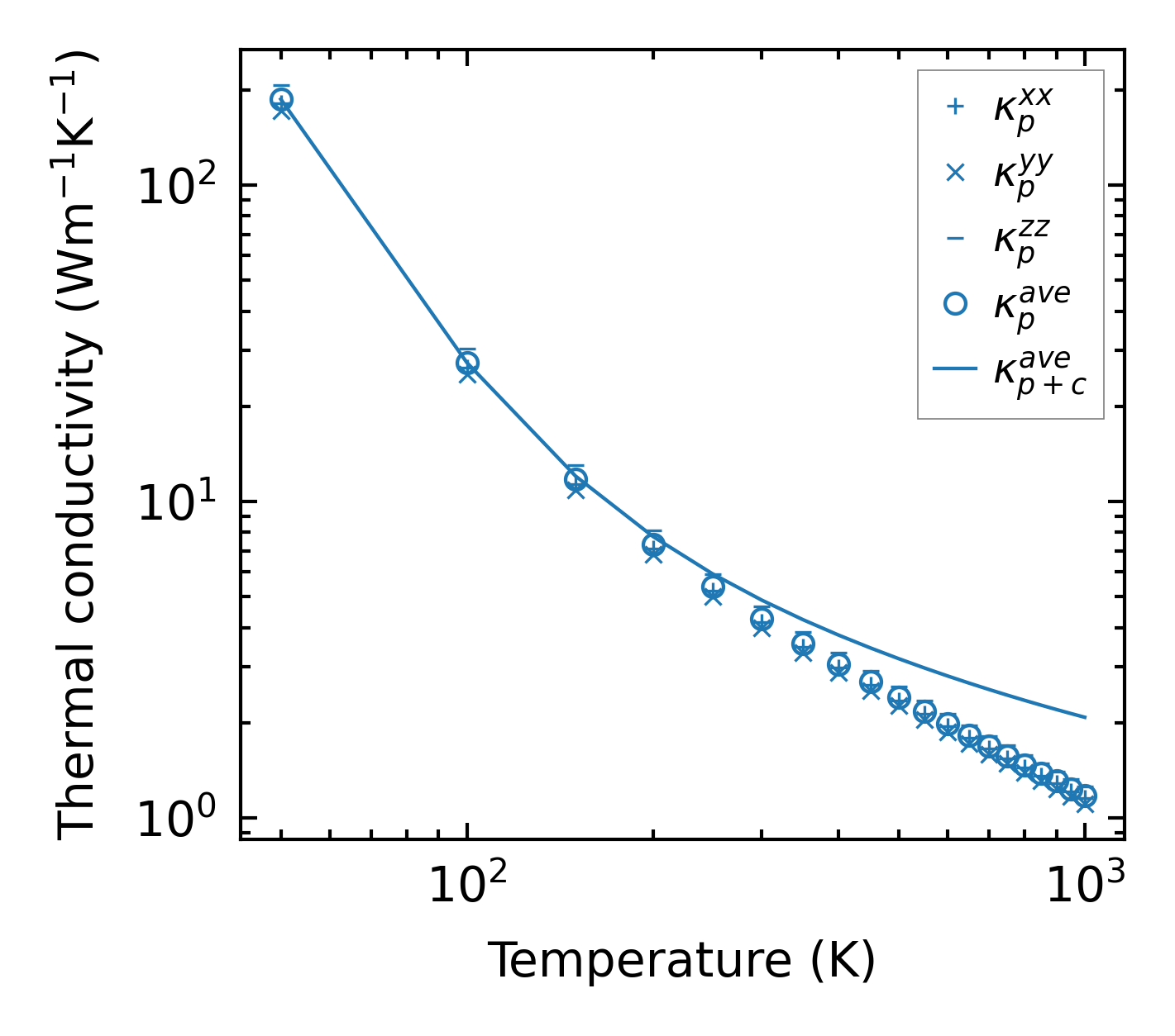
Thermal conductivity

3-phonon (LASSO) — q-mesh: 14x14x5, supercell: 2x2x1

../../_images/fig_kappa11208.png

(a) Temperature-dependent lattice thermal conductivity

../../_images/fig_kappa_vs_grain_size6032.png

(b) Peierls lattice thermal conductivity w.r.t grain size

Phonon lifetime and scattering rates

../../_images/fig_lifetime5897.png

(a) Phonon lifetime due to phonon-phonon scattering

../../_images/fig_scat_rates5896.png

(b) Phonon scattering rates

Cumulative and spectral thermal conductivity

../../_images/fig_cumu_frequency5897.png

(a) Spectral and cumulative thermal conductivity w.r.t frequency

../../_images/fig_cumu_mfp5896.png

(b) Spectral and cumulative thermal conductivity w.r.t MFP

Force constants

../../_images/fig_fc213666.png

(a) Force constants w.r.t atomic distance

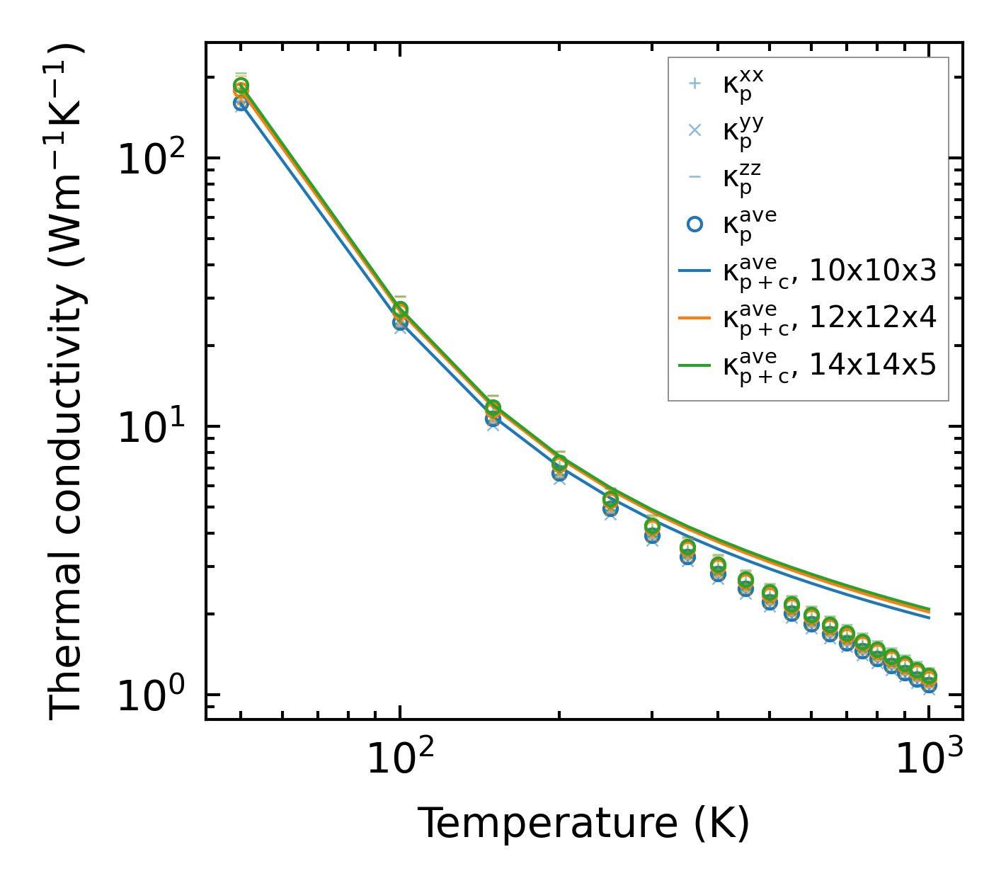
Summary

../../_images/fig_kappa11209.png

(a) Temperature-dependent lattice thermal conductivity

../../_images/fig_times23493.png

(b) Computation time