mp-17504/Sr3Ge2As4/anharm

Harmonic properties

../../_images/fig_bandos_pr13938.png

(a) Phonon dispersion with participation ratio and DOS

../../_images/fig_thermo13938.png

(b) Thermodynamic properties

Grüneisen parameters

../../_images/fig_gru_all5898.png

(a) Grüneisen parameters

../../_images/fig_gruneisen5898.png

(b) Phonon dispersion with Grüneisen parameters

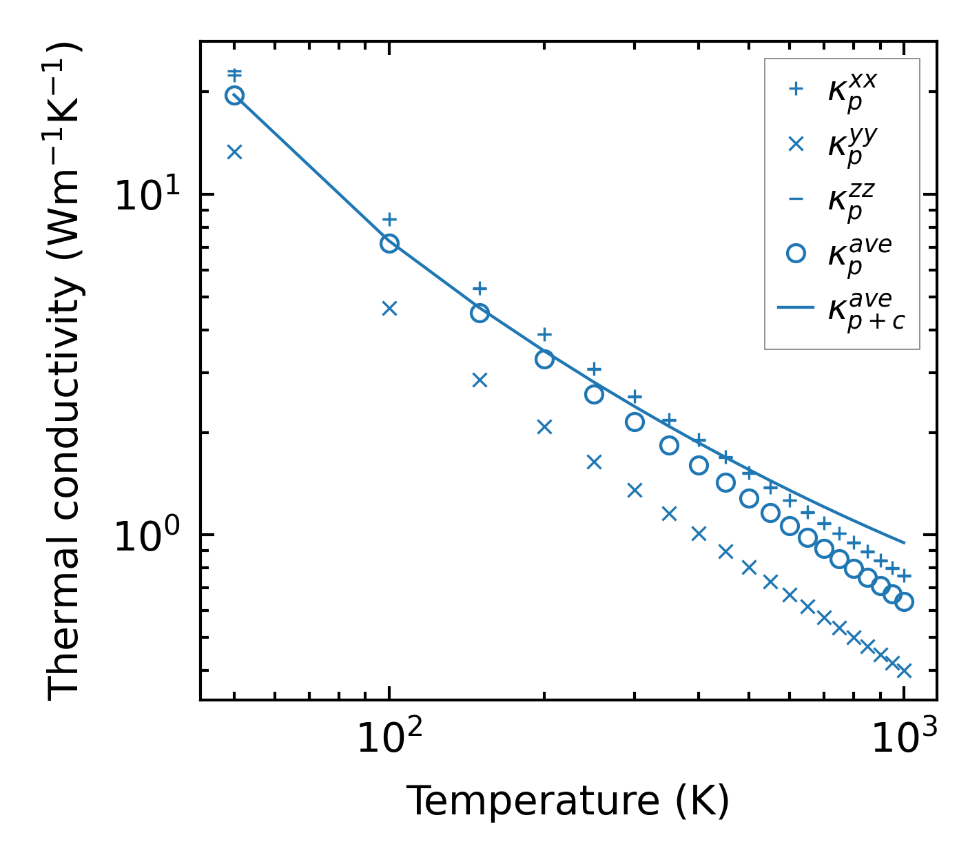
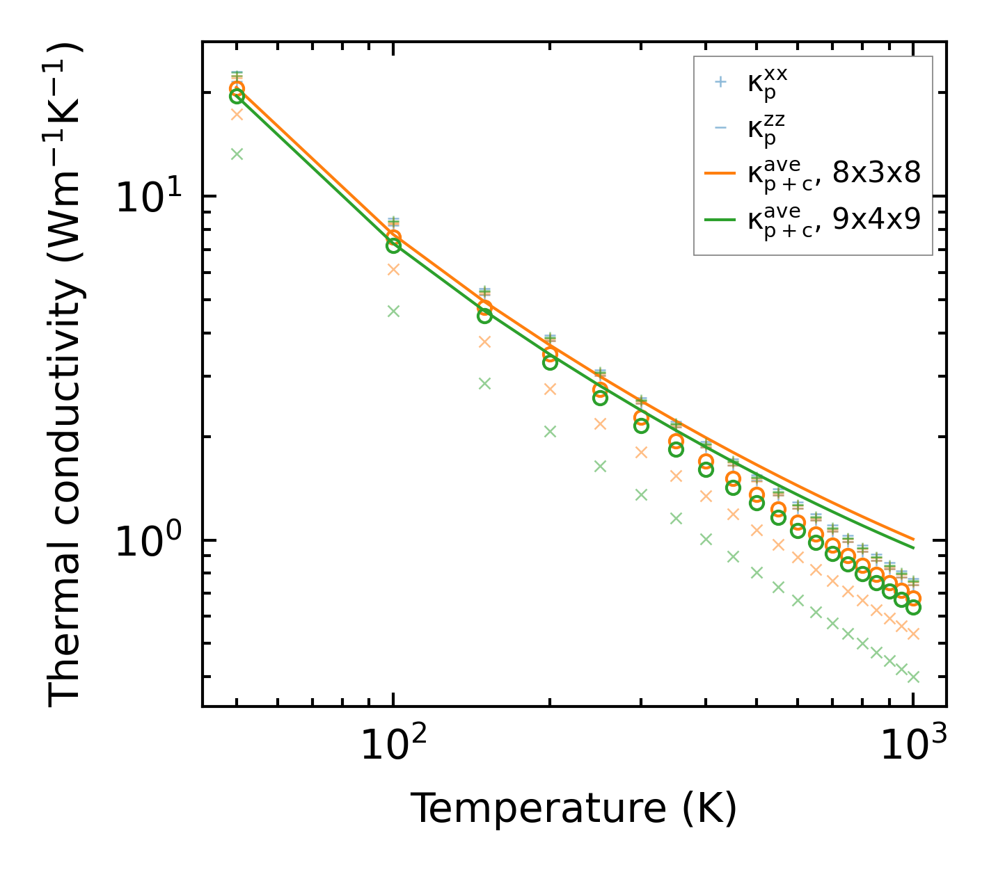
Thermal conductivity

3-phonon (LASSO) — q-mesh: 9x4x9, supercell: 2x1x2

../../_images/fig_kappa11102.png

(a) Temperature-dependent lattice thermal conductivity

../../_images/fig_kappa_vs_grain_size5975.png

(b) Peierls lattice thermal conductivity w.r.t grain size

Phonon lifetime and scattering rates

../../_images/fig_lifetime5841.png

(a) Phonon lifetime due to phonon-phonon scattering

../../_images/fig_scat_rates5840.png

(b) Phonon scattering rates

Cumulative and spectral thermal conductivity

../../_images/fig_cumu_frequency5841.png

(a) Spectral and cumulative thermal conductivity w.r.t frequency

../../_images/fig_cumu_mfp5840.png

(b) Spectral and cumulative thermal conductivity w.r.t MFP

Force constants

../../_images/fig_fc213566.png

(a) Force constants w.r.t atomic distance

Summary

../../_images/fig_kappa11103.png

(a) Temperature-dependent lattice thermal conductivity

../../_images/fig_times23348.png

(b) Computation time