mp-17282/SrTh2Se5/anharm

Harmonic properties

../../_images/fig_bandos_pr14235.png

(a) Phonon dispersion with participation ratio and DOS

../../_images/fig_thermo14235.png

(b) Thermodynamic properties

Grüneisen parameters

../../_images/fig_gru_all6054.png

(a) Grüneisen parameters

../../_images/fig_gruneisen6054.png

(b) Phonon dispersion with Grüneisen parameters

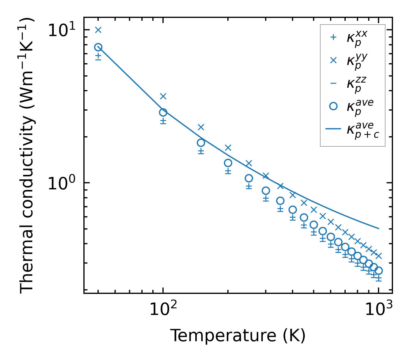
Thermal conductivity

3-phonon (LASSO) — q-mesh: 8x9x5, supercell: 2x2x1

../../_images/fig_kappa11392.png

(a) Temperature-dependent lattice thermal conductivity

../../_images/fig_kappa_vs_grain_size6132.png

(b) Peierls lattice thermal conductivity w.r.t grain size

Phonon lifetime and scattering rates

../../_images/fig_lifetime5993.png

(a) Phonon lifetime due to phonon-phonon scattering

../../_images/fig_scat_rates5992.png

(b) Phonon scattering rates

Cumulative and spectral thermal conductivity

../../_images/fig_cumu_frequency5993.png

(a) Spectral and cumulative thermal conductivity w.r.t frequency

../../_images/fig_cumu_mfp5992.png

(b) Spectral and cumulative thermal conductivity w.r.t MFP

Force constants

../../_images/fig_fc213863.png

(a) Force constants w.r.t atomic distance

Summary

../../_images/fig_kappa11393.png

(a) Temperature-dependent lattice thermal conductivity

../../_images/fig_times23789.png

(b) Computation time