mp-17929/RbHo2Cu3S5/anharm

Harmonic properties

../../_images/fig_bandos_pr14079.png

(a) Phonon dispersion with participation ratio and DOS

../../_images/fig_thermo14079.png

(b) Thermodynamic properties

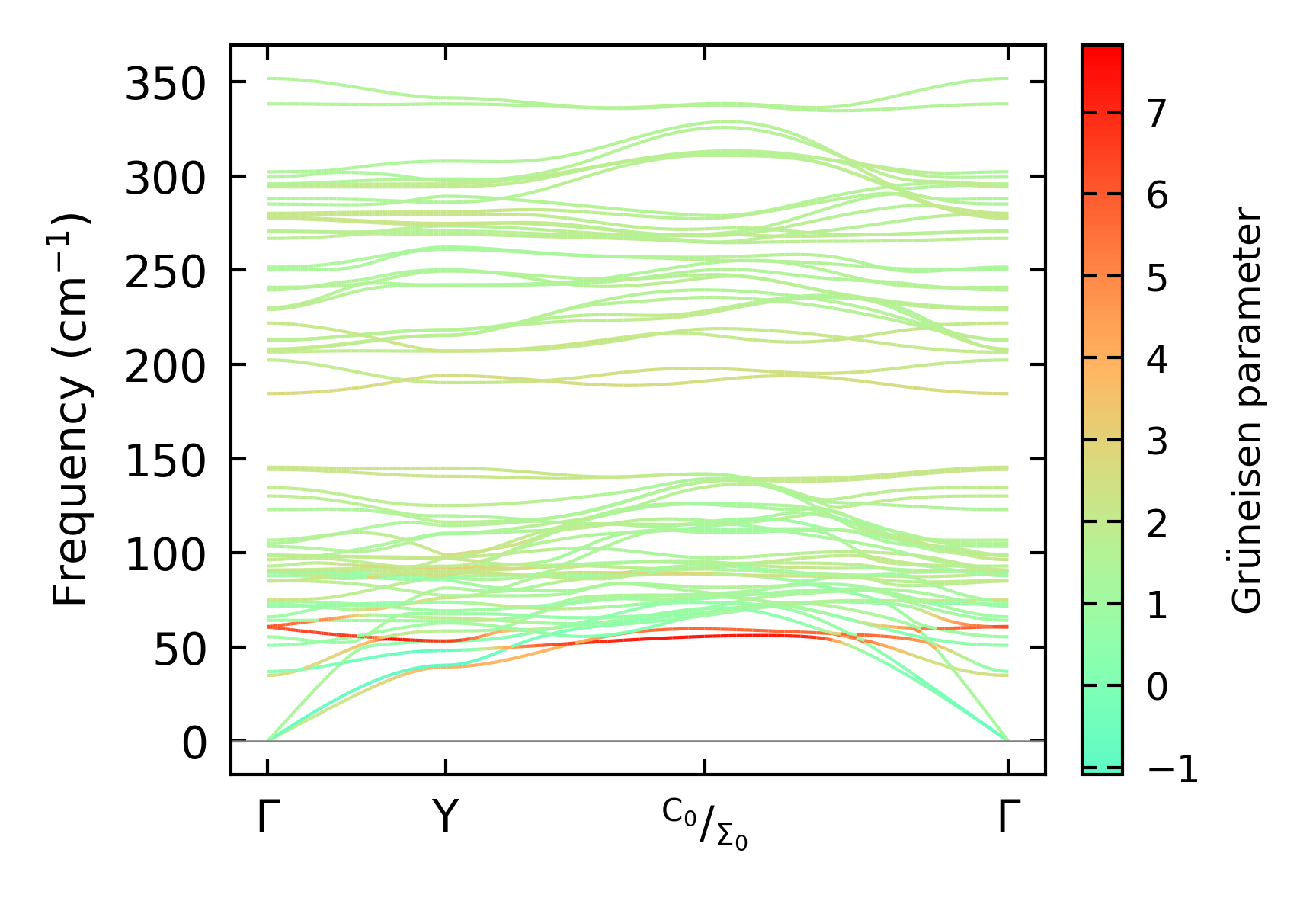
Grüneisen parameters

../../_images/fig_gru_all5973.png

(a) Grüneisen parameters

../../_images/fig_gruneisen5973.png

(b) Phonon dispersion with Grüneisen parameters

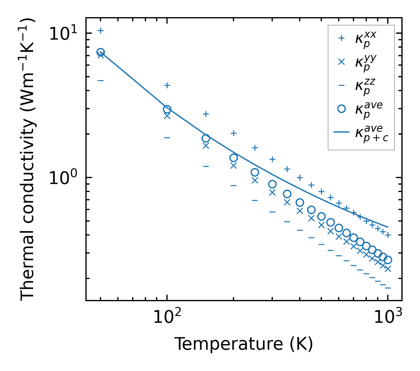
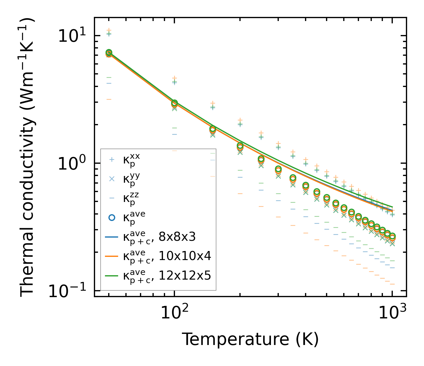
Thermal conductivity

3-phonon (LASSO) — q-mesh: 12x12x5, supercell: 3x1x1

../../_images/fig_kappa11245.png

(a) Temperature-dependent lattice thermal conductivity

../../_images/fig_kappa_vs_grain_size6051.png

(b) Peierls lattice thermal conductivity w.r.t grain size

Phonon lifetime and scattering rates

../../_images/fig_lifetime5916.png

(a) Phonon lifetime due to phonon-phonon scattering

../../_images/fig_scat_rates5915.png

(b) Phonon scattering rates

Cumulative and spectral thermal conductivity

../../_images/fig_cumu_frequency5916.png

(a) Spectral and cumulative thermal conductivity w.r.t frequency

../../_images/fig_cumu_mfp5915.png

(b) Spectral and cumulative thermal conductivity w.r.t MFP

Force constants

../../_images/fig_fc213707.png

(a) Force constants w.r.t atomic distance

Summary

../../_images/fig_kappa11246.png

(a) Temperature-dependent lattice thermal conductivity

../../_images/fig_times23547.png

(b) Computation time