mp-17313-2/Mg3BeAl8O16/anharm

Equation of state

../../_images/fig_bm7136.png

(a) Equation of state

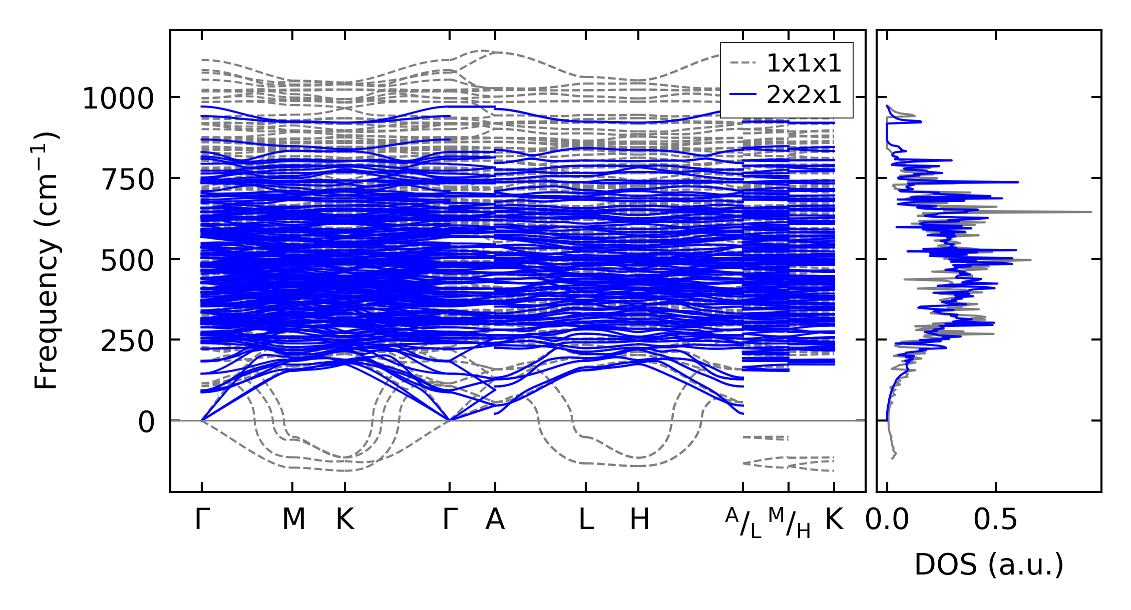
Harmonic properties

../../_images/fig_bandos_pr14246.png

(a) Phonon dispersion with participation ratio and DOS

../../_images/fig_bandos18645.png

(b) Phonon dispersion and DOS

../../_images/fig_thermo14246.png

(c) Thermodynamic properties

Grüneisen parameters

../../_images/fig_gru_all6060.png

(a) Grüneisen parameters

../../_images/fig_gruneisen6060.png

(b) Phonon dispersion with Grüneisen parameters

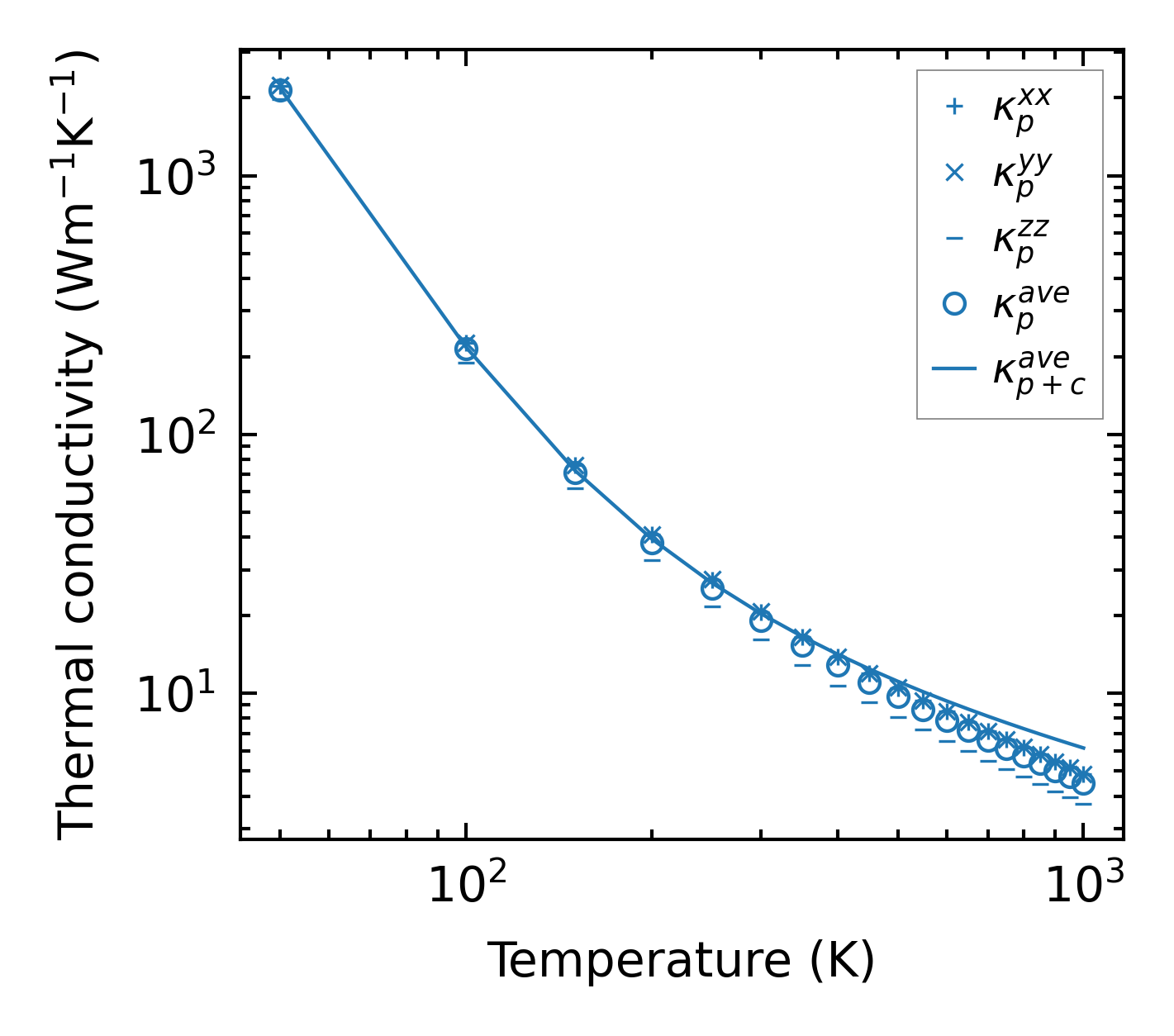
Thermal conductivity

3-phonon (LASSO), supercell 2x2x1 — q-mesh: 13x13x4, supercell: 2x2x1

../../_images/fig_kappa11404.png

(a) Temperature-dependent lattice thermal conductivity

../../_images/fig_kappa_vs_grain_size6138.png

(b) Peierls lattice thermal conductivity w.r.t grain size

Phonon lifetime and scattering rates

../../_images/fig_lifetime5999.png

(a) Phonon lifetime due to phonon-phonon scattering

../../_images/fig_scat_rates5998.png

(b) Phonon scattering rates

Cumulative and spectral thermal conductivity

../../_images/fig_cumu_frequency5999.png

(a) Spectral and cumulative thermal conductivity w.r.t frequency

../../_images/fig_cumu_mfp5998.png

(b) Spectral and cumulative thermal conductivity w.r.t MFP

Force constants

../../_images/fig_fc213874.png

(a) Force constants w.r.t atomic distance

Summary

../../_images/fig_times23803.png

(a) Computation time