mp-17015-2/K4GeO4/anharm

Equation of state

../../_images/fig_bm7093.png

(a) Equation of state

Harmonic properties

../../_images/fig_bandos_pr14162.png

(a) Phonon dispersion with participation ratio and DOS

../../_images/fig_bandos18556.png

(b) Phonon dispersion and DOS

../../_images/fig_thermo14162.png

(c) Thermodynamic properties

Grüneisen parameters

../../_images/fig_gru_all6014.png

(a) Grüneisen parameters

../../_images/fig_gruneisen6014.png

(b) Phonon dispersion with Grüneisen parameters

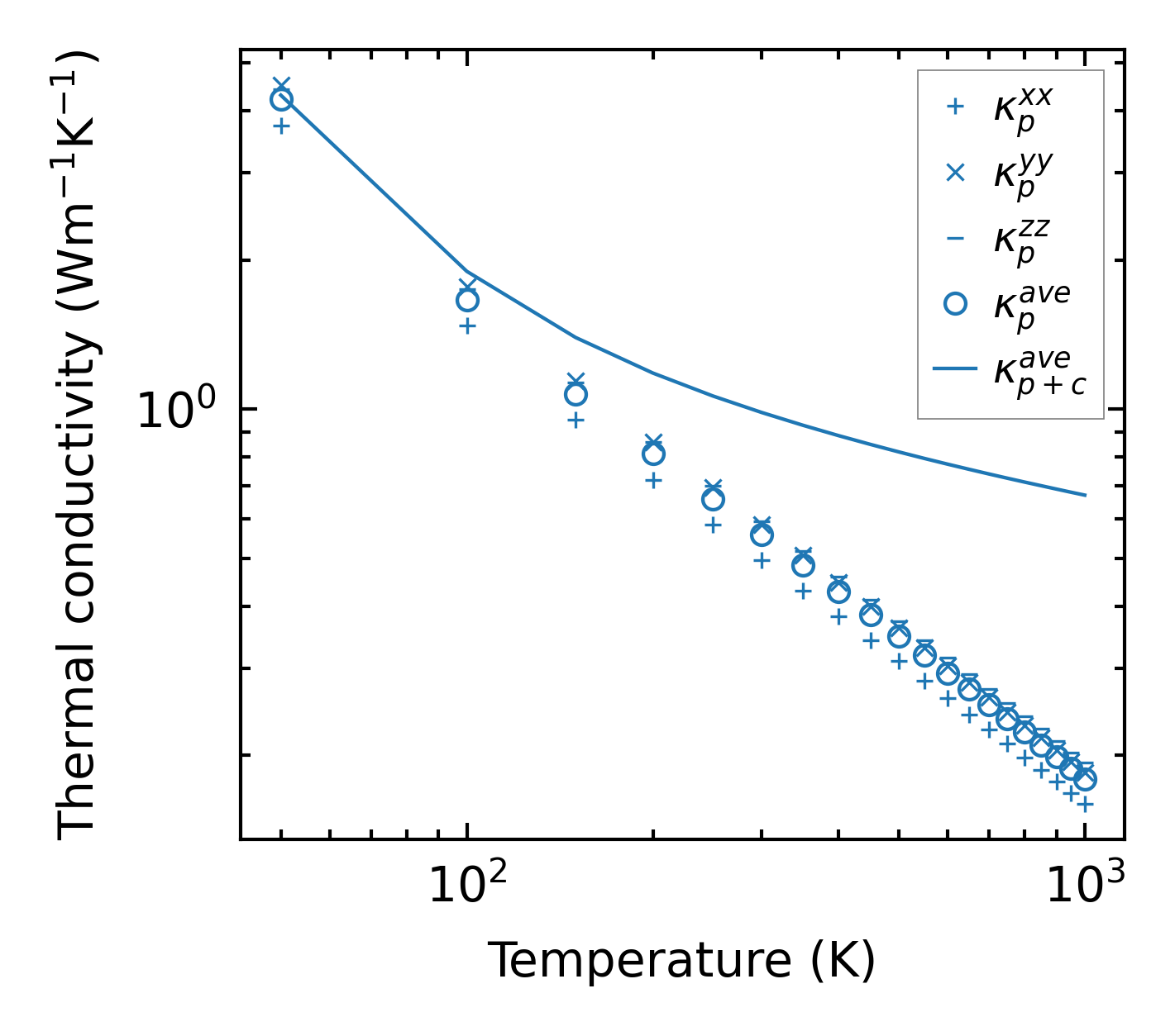
Thermal conductivity

3-phonon (LASSO), supercell 2x2x2 — q-mesh: 7x11x7, supercell: 2x2x2

../../_images/fig_kappa11320.png

(a) Temperature-dependent lattice thermal conductivity

../../_images/fig_kappa_vs_grain_size6092.png

(b) Peierls lattice thermal conductivity w.r.t grain size

Phonon lifetime and scattering rates

../../_images/fig_lifetime5955.png

(a) Phonon lifetime due to phonon-phonon scattering

../../_images/fig_scat_rates5954.png

(b) Phonon scattering rates

Cumulative and spectral thermal conductivity

../../_images/fig_cumu_frequency5955.png

(a) Spectral and cumulative thermal conductivity w.r.t frequency

../../_images/fig_cumu_mfp5954.png

(b) Spectral and cumulative thermal conductivity w.r.t MFP

Force constants

../../_images/fig_fc213790.png

(a) Force constants w.r.t atomic distance

Summary

../../_images/fig_times23676.png

(a) Computation time