mp-17447/Sr10P6SO24/anharm

Harmonic properties

../../_images/fig_bandos_pr13919.png

(a) Phonon dispersion with participation ratio and DOS

../../_images/fig_thermo13919.png

(b) Thermodynamic properties

Grüneisen parameters

../../_images/fig_gru_all5883.png

(a) Grüneisen parameters

../../_images/fig_gruneisen5883.png

(b) Phonon dispersion with Grüneisen parameters

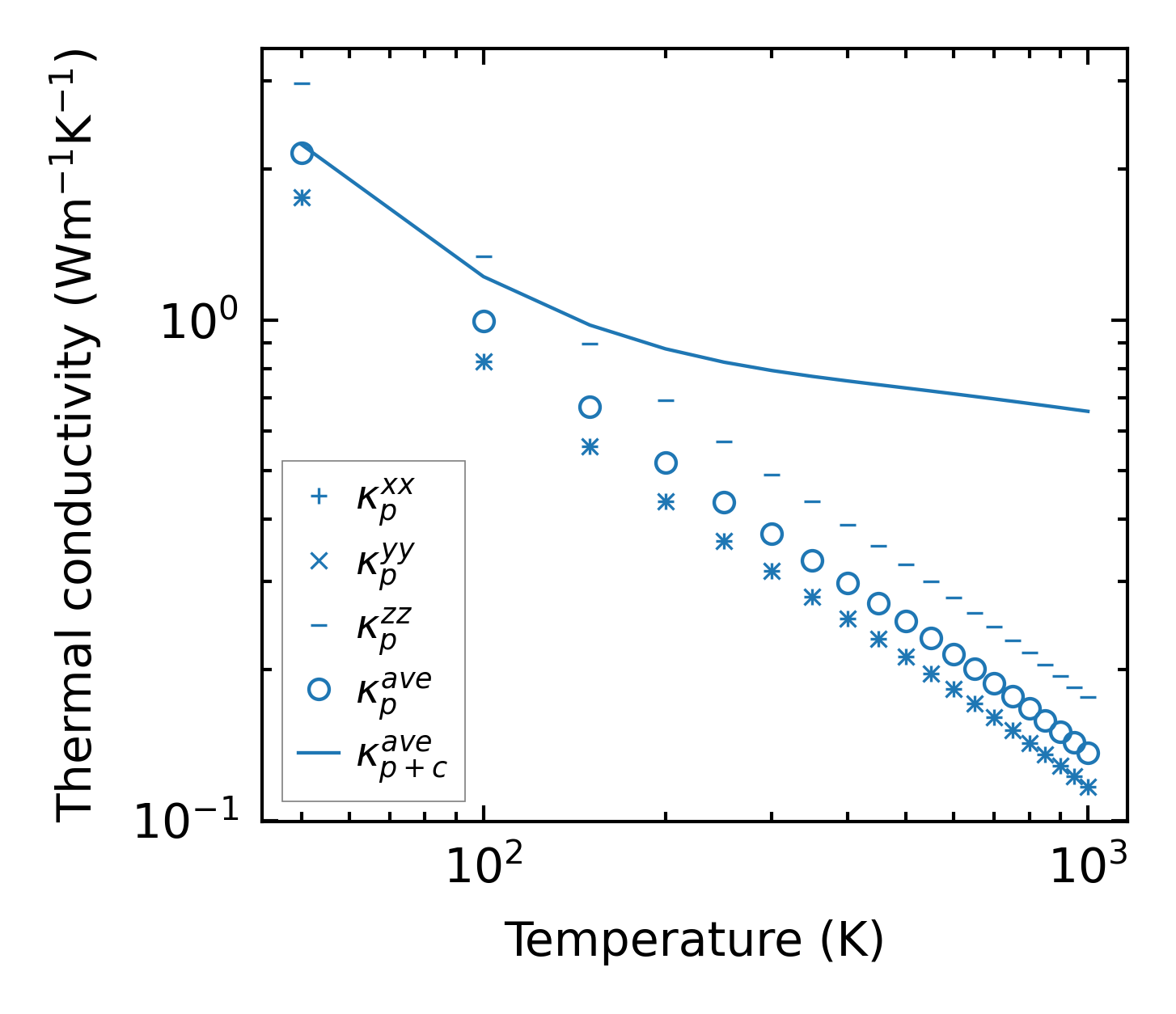
Thermal conductivity

3-phonon (LASSO) — q-mesh: 7x7x10, supercell: 1x1x2

../../_images/fig_kappa11071.png

(a) Temperature-dependent lattice thermal conductivity

../../_images/fig_kappa_vs_grain_size5959.png

(b) Peierls lattice thermal conductivity w.r.t grain size

Phonon lifetime and scattering rates

../../_images/fig_lifetime5826.png

(a) Phonon lifetime due to phonon-phonon scattering

../../_images/fig_scat_rates5825.png

(b) Phonon scattering rates

Cumulative and spectral thermal conductivity

../../_images/fig_cumu_frequency5826.png

(a) Spectral and cumulative thermal conductivity w.r.t frequency

../../_images/fig_cumu_mfp5825.png

(b) Spectral and cumulative thermal conductivity w.r.t MFP

Force constants

../../_images/fig_fc213547.png

(a) Force constants w.r.t atomic distance

Summary

../../_images/fig_kappa11072.png

(a) Temperature-dependent lattice thermal conductivity

../../_images/fig_times23324.png

(b) Computation time