mp-17808/Nb2Zn4O9/anharm

Harmonic properties

../../_images/fig_bandos_pr14022.png

(a) Phonon dispersion with participation ratio and DOS

../../_images/fig_thermo14022.png

(b) Thermodynamic properties

Grüneisen parameters

../../_images/fig_gru_all5943.png

(a) Grüneisen parameters

../../_images/fig_gruneisen5943.png

(b) Phonon dispersion with Grüneisen parameters

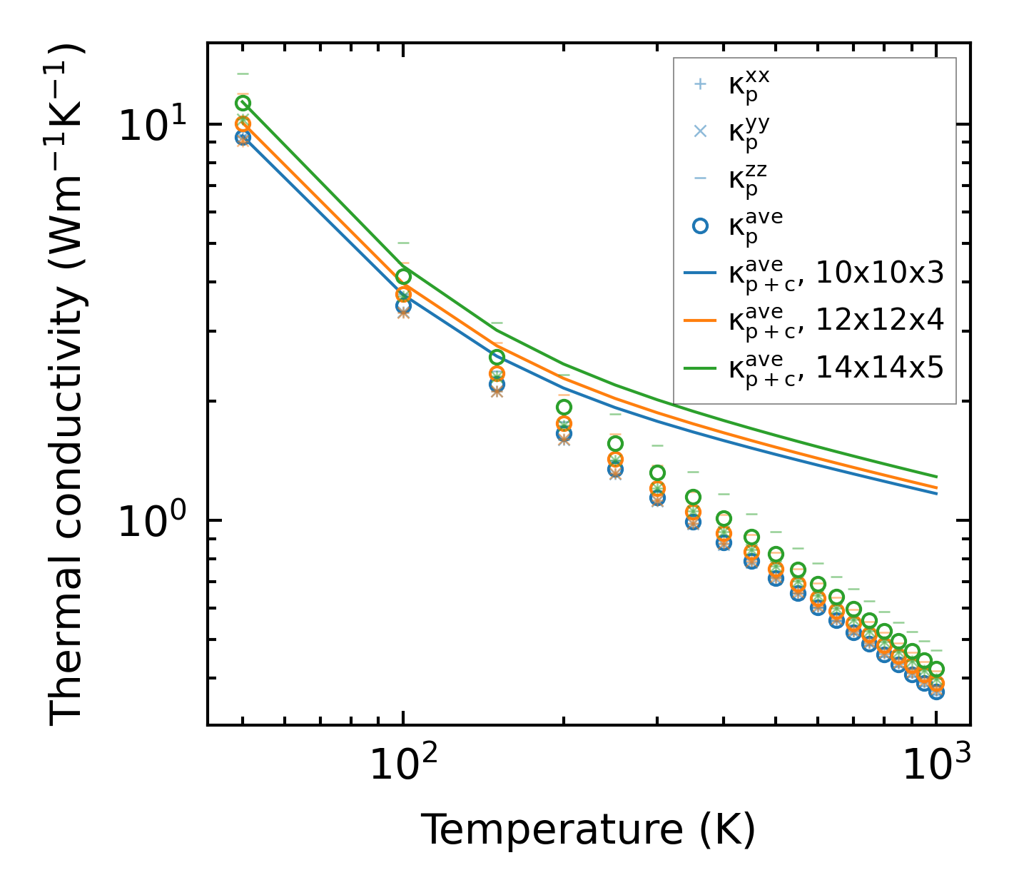
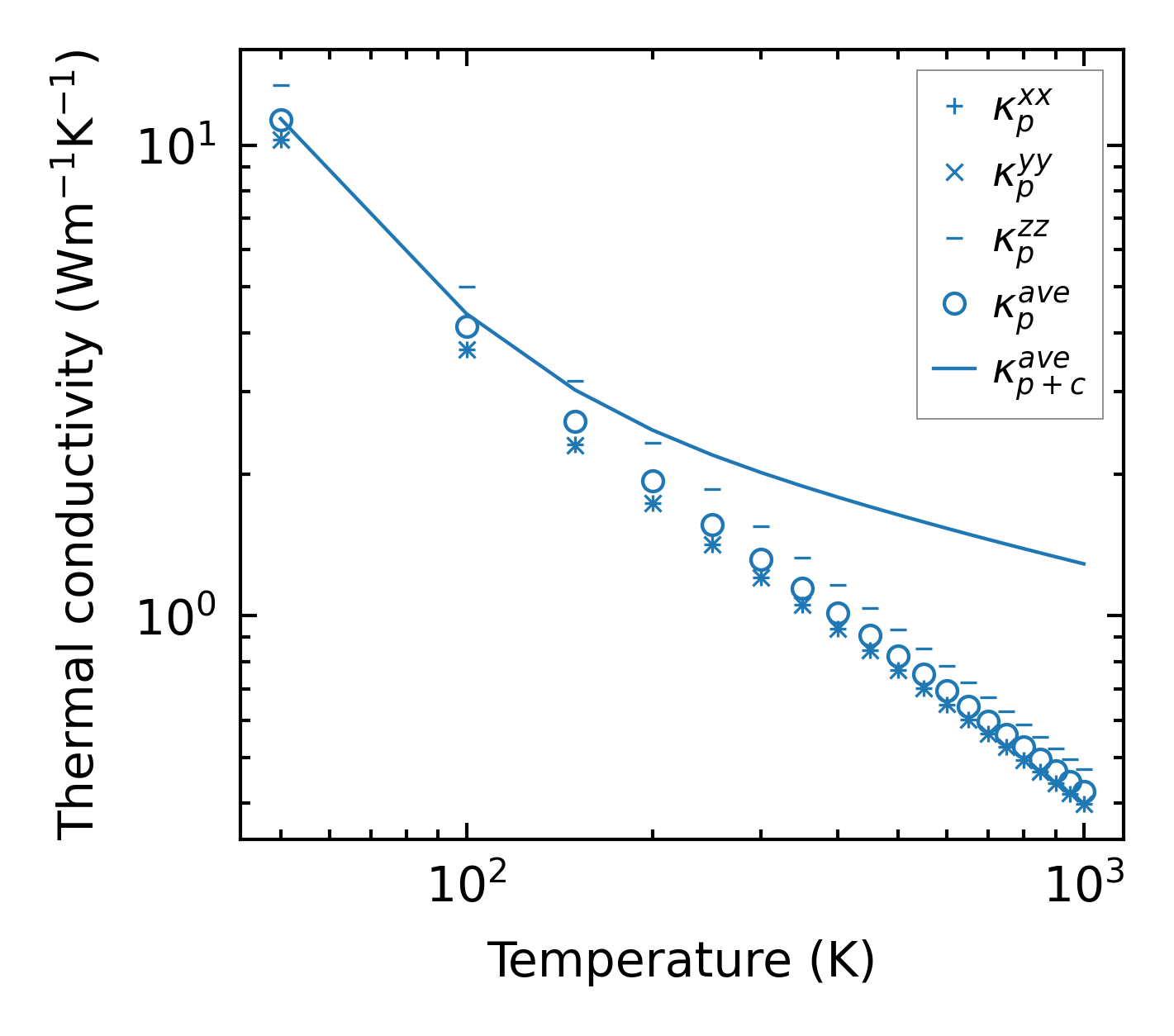
Thermal conductivity

3-phonon (LASSO) — q-mesh: 14x14x5, supercell: 2x2x1

../../_images/fig_kappa11187.png

(a) Temperature-dependent lattice thermal conductivity

../../_images/fig_kappa_vs_grain_size6021.png

(b) Peierls lattice thermal conductivity w.r.t grain size

Phonon lifetime and scattering rates

../../_images/fig_lifetime5886.png

(a) Phonon lifetime due to phonon-phonon scattering

../../_images/fig_scat_rates5885.png

(b) Phonon scattering rates

Cumulative and spectral thermal conductivity

../../_images/fig_cumu_frequency5886.png

(a) Spectral and cumulative thermal conductivity w.r.t frequency

../../_images/fig_cumu_mfp5885.png

(b) Spectral and cumulative thermal conductivity w.r.t MFP

Force constants

../../_images/fig_fc213650.png

(a) Force constants w.r.t atomic distance

Summary

../../_images/fig_kappa11188.png

(a) Temperature-dependent lattice thermal conductivity

../../_images/fig_times23469.png

(b) Computation time