mp-17344/RbEr2Cu3S5/anharm

Harmonic properties

../../_images/fig_bandos_pr14253.png

(a) Phonon dispersion with participation ratio and DOS

../../_images/fig_thermo14253.png

(b) Thermodynamic properties

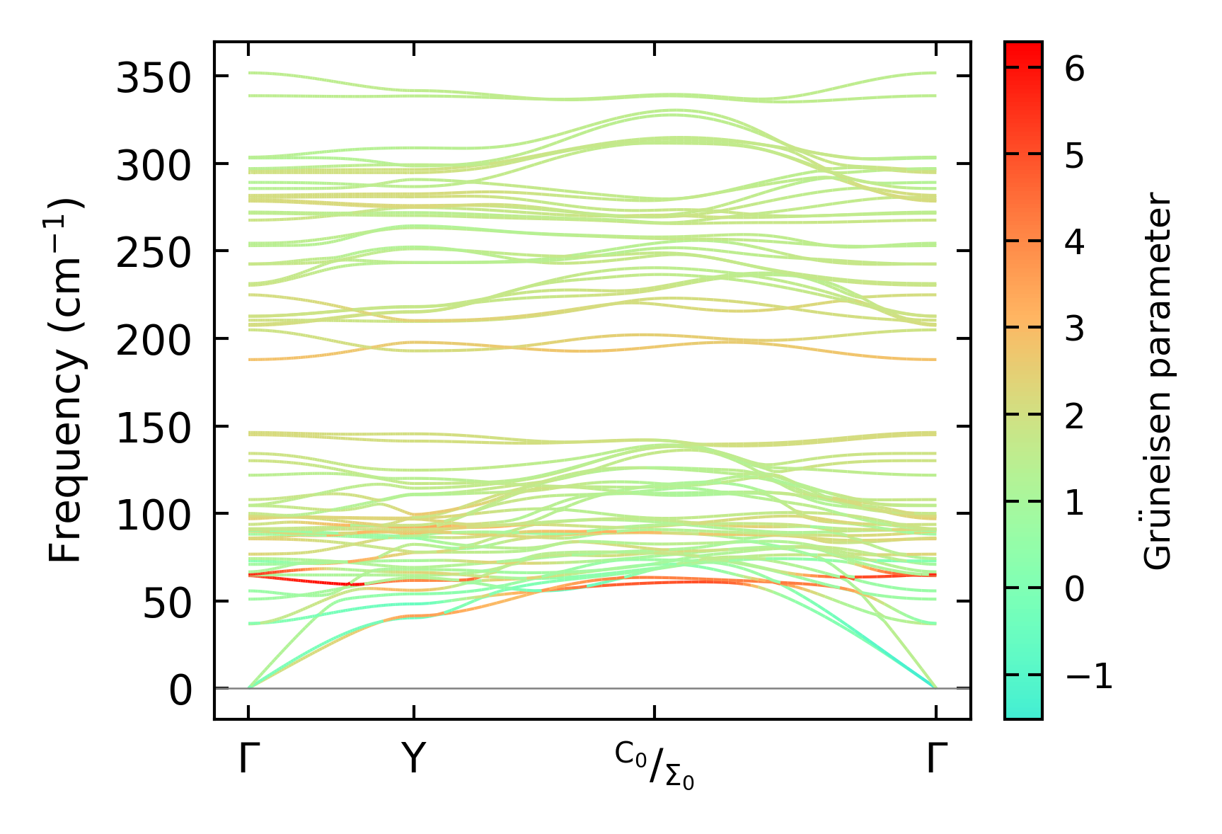
Grüneisen parameters

../../_images/fig_gru_all6064.png

(a) Grüneisen parameters

../../_images/fig_gruneisen6064.png

(b) Phonon dispersion with Grüneisen parameters

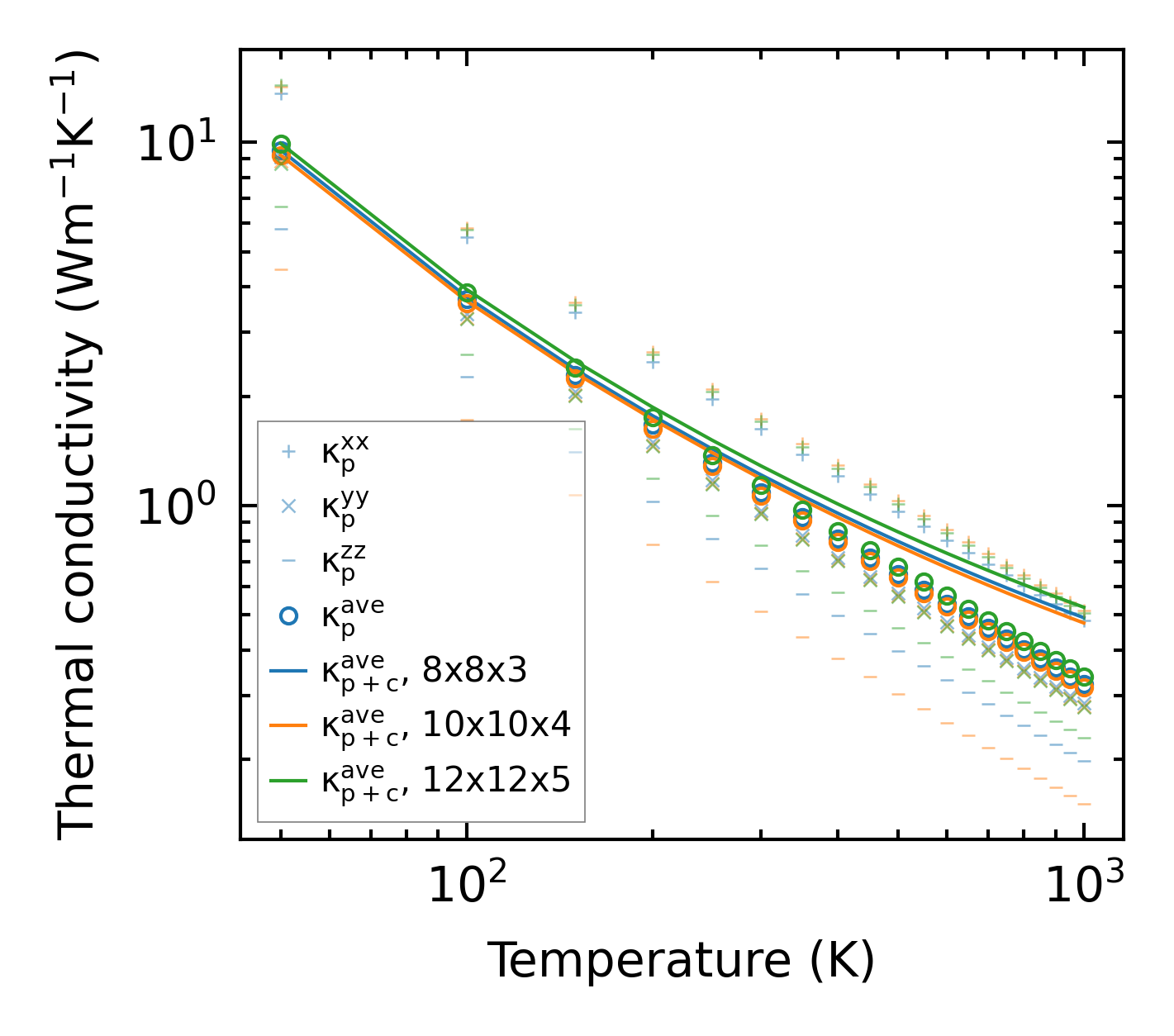
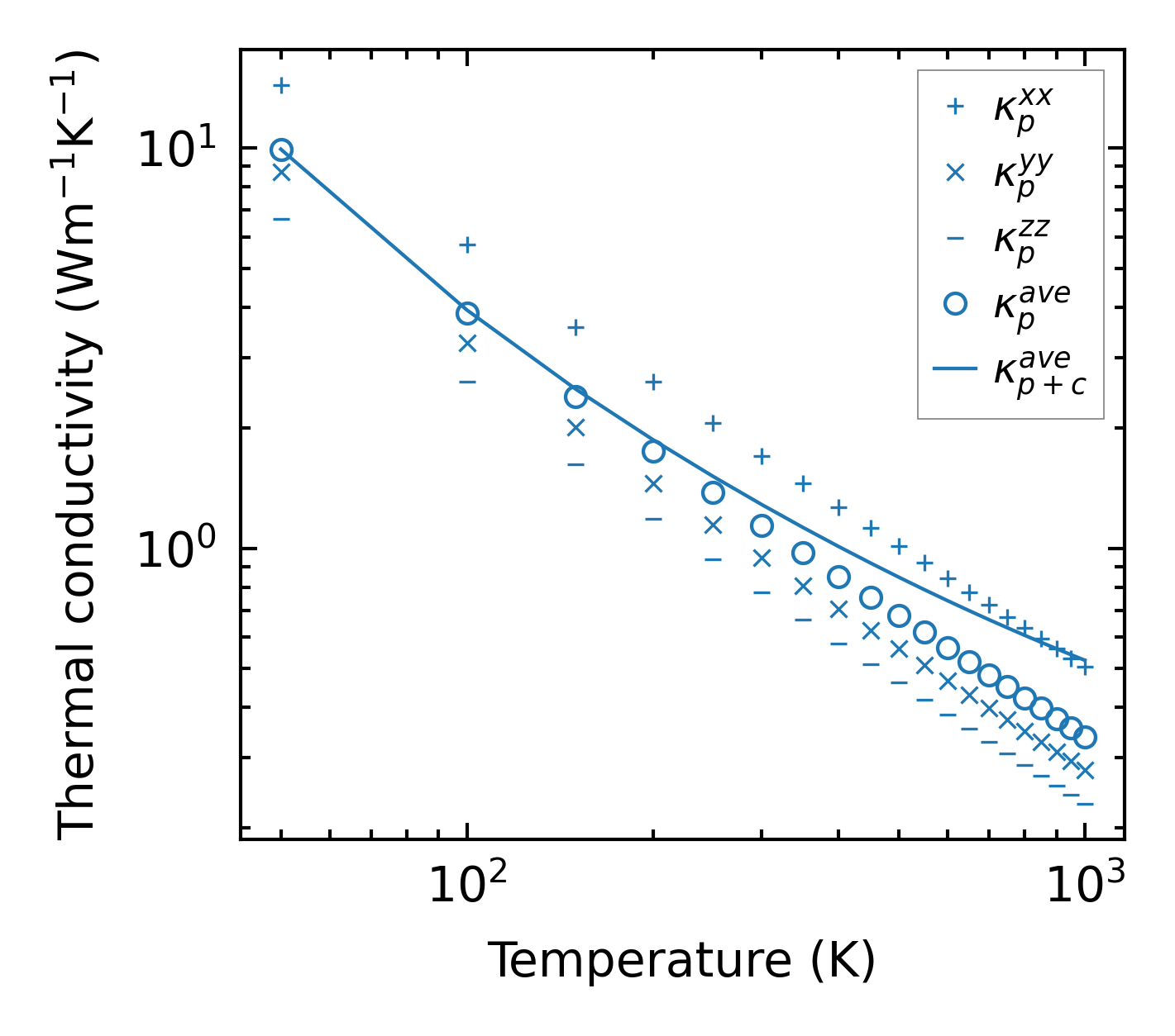
Thermal conductivity

3-phonon (LASSO) — q-mesh: 12x12x5, supercell: 3x1x1

../../_images/fig_kappa11411.png

(a) Temperature-dependent lattice thermal conductivity

../../_images/fig_kappa_vs_grain_size6142.png

(b) Peierls lattice thermal conductivity w.r.t grain size

Phonon lifetime and scattering rates

../../_images/fig_lifetime6003.png

(a) Phonon lifetime due to phonon-phonon scattering

../../_images/fig_scat_rates6002.png

(b) Phonon scattering rates

Cumulative and spectral thermal conductivity

../../_images/fig_cumu_frequency6003.png

(a) Spectral and cumulative thermal conductivity w.r.t frequency

../../_images/fig_cumu_mfp6002.png

(b) Spectral and cumulative thermal conductivity w.r.t MFP

Force constants

../../_images/fig_fc213881.png

(a) Force constants w.r.t atomic distance

Summary

../../_images/fig_kappa11412.png

(a) Temperature-dependent lattice thermal conductivity

../../_images/fig_times23813.png

(b) Computation time