ver2026.03.28
data_1-1000
data_1001-2000
data_2001-3000
data_3001-4000
data_4001-5000
data_5001-6000
data_6001-7000
data_7001-8000
data_8001-9000
data_9001-10000
data_10001-11000
data_11001-12000
data_12001-13000
data_13001-14000
data_14001-15000
data_15001-16000
data_16001-17000
data_17001-18000
mp-17004/UOF4/harm
mp-17006/SmTlMo2O8/harm
mp-17006-2/SmTlMo2O8/anharm
mp-17008/CaTeO3/harm
mp-17008-2/CaTeO3/harm
mp-17009/Ba3Te2O9/anharm
mp-17012/Sr2VN3/anharm
mp-17015/K4GeO4/harm
mp-17015-2/K4GeO4/anharm
mp-17019/Ca2YAsW2O12/harm
mp-17020/TiTl2Ge3O9/harm
mp-17020-2/TiTl2Ge3O9/harm
mp-17024/Ba2NbN3/harm
mp-17025/Sr3YB3O9/harm
Harmonic properties
Summary
mp-17031/KAlP2O7/harm
mp-17031-2/KAlP2O7/anharm
mp-17034/BaLiCoF6/harm
mp-17035/K3ScP2O8/harm
mp-17035-2/K3ScP2O8/harm
mp-17037/Rb2TiSi3O9/anharm
mp-17043/Tm2ZnS4/anharm
mp-17048/Rb2WS4/anharm
mp-17054/Cs3TaS4/harm
mp-17054-2/Cs3TaS4/anharm
mp-17056/LiZnPO4/harm
mp-17057/Sr2SnSe3F2/anharm
mp-17059/K3Nb3Si2O13/harm
mp-17059-2/K3Nb3Si2O13/harm
mp-17062/Dy2Si2O7/harm
mp-17063/BaLaCuTe3/anharm
mp-17063-2/BaLaCuTe3/anharm
mp-17065/Ho2SiO5/harm
mp-17066/Y2TeO6/harm
mp-17066-2/Y2TeO6/harm
mp-17071/Rb2CrO4/anharm
mp-17071-2/Rb2CrO4/anharm
mp-17071-3/Rb2CrO4/anharm
mp-17077/K2YF5/anharm
mp-17077-2/K2YF5/anharm
mp-17085/Rb2Zr3OF12/harm
mp-17085-2/Rb2Zr3OF12/harm
mp-17088/KBaPS4/harm
mp-17090/SrTlPS4/anharm
mp-17095/CsCuSe4/harm
mp-17095-2/CsCuSe4/harm
mp-17100/In2P2O7/harm
mp-17100-2/In2P2O7/harm
mp-17101/CaNb2O6/harm
mp-17101-2/CaNb2O6/harm
mp-17103/Sr3Ta6Si4O26/harm
mp-17103-2/Sr3Ta6Si4O26/harm
mp-17112/K3Ge4Au/anharm
mp-17112-2/K3Ge4Au/anharm
mp-17114/Nd2Sn2O7/anharm
mp-17120/Cs6K3AlSb4/anharm
mp-17123/Si2Os/anharm
mp-17125/CsNa3Li12Ge4O16/harm
mp-17129/Sr3Al2N4/anharm
mp-17133/Ba3Al2N4/anharm
mp-17146/K2S5/harm
mp-17146-2/K2S5/harm
mp-17148/Na3GaSe3/harm
mp-17149/Sr3ErRhO6/anharm
mp-17153/BaTb2Te4/anharm
mp-17154/Rb3SbS4/anharm
mp-17155/La3AgSnSe7/harm
mp-17155-2/La3AgSnSe7/anharm
mp-17159/Li2CrO4/harm
mp-17160/DyPtF7/harm
mp-17160-2/DyPtF7/harm
mp-17161/K6CdO4/harm
mp-17161-2/K6CdO4/anharm
mp-17164/NaNbGeO5/harm
mp-17164-2/NaNbGeO5/harm
mp-17166/K2B4O7/harm
mp-17167/Be3Cd4Si3TeO12/anharm
mp-17170/HoCuW2O8/harm
mp-17170-2/HoCuW2O8/harm
mp-17171/LaF3/harm
mp-17171-2/LaF3/harm
mp-17172/Tl2TeS3/harm
mp-17172-2/Tl2TeS3/harm
mp-17177/Nb2ZnO6/harm
mp-17177-2/Nb2ZnO6/harm
mp-17183/Na2BeSiO4/harm
mp-17186/Ca3AlAs3/anharm
mp-17187/K3NdP2O8/harm
mp-17187-2/K3NdP2O8/harm
mp-17192/YCuW2O8/harm
mp-17193/Ca3GeO/harm
mp-17193-2/Ca3GeO/harm
mp-17194/ErCuW2O8/harm
mp-17194-2/ErCuW2O8/harm
mp-17196/TiAs2O7/harm
mp-17196-2/TiAs2O7/harm
mp-17201/Er2WO6/anharm
mp-17201-2/Er2WO6/anharm
mp-17207/Tl4GeS4/harm
mp-17208/K2Li14Zr3O14/anharm
mp-17220/Rb3TaS4/harm
mp-17220-2/Rb3TaS4/anharm
mp-17229/RbBe3ZnF9/anharm
mp-17229-2/RbBe3ZnF9/anharm
mp-17235/Sm2Si2O7/harm
mp-17240/RbNa3Li12Si4O16/harm
mp-17243/Pr3CuSnSe7/harm
mp-17243-2/Pr3CuSnSe7/harm
mp-17244/Ba2ZnGe2S6O/harm
mp-17244-2/Ba2ZnGe2S6O/anharm
mp-17245/Na3TaF8/harm
mp-17245-2/Na3TaF8/harm
mp-17250/K3SbO3/anharm
mp-17250-2/K3SbO3/harm
mp-17252/BaCu2GeSe4/harm
mp-17256/Rb2Hf3OF12/harm
mp-17256-2/Rb2Hf3OF12/harm
mp-17264/BaVAsO6/harm
mp-17272/NbCuO3/harm
mp-17272-2/NbCuO3/harm
mp-17273/BaHo2Te4/anharm
mp-17275/SrY2O4/harm
mp-17282/SrTh2Se5/anharm
mp-17283/K3NbSe4/anharm
mp-17283-2/K3NbSe4/anharm
mp-17290/LiSbWO6/anharm
mp-17290-2/LiSbWO6/anharm
mp-17291/Na3SiTe3/anharm
mp-17297/Na2GeF6/harm
mp-17297-2/Na2GeF6/harm
mp-17298/SrTi4P6O24/harm
mp-17298-2/SrTi4P6O24/harm
mp-17307/K2Hg3Ge2Se8/harm
mp-17307-2/K2Hg3Ge2Se8/harm
mp-17308/Tb2Si2O7/harm
mp-17313/Mg3BeAl8O16/harm
mp-17313-2/Mg3BeAl8O16/anharm
mp-17315/Zr3Tl2OF12/harm
mp-17315-2/Zr3Tl2OF12/harm
mp-17322/SrCu2SnS4/harm
mp-17324/ZrSnS3/anharm
mp-17324-2/ZrSnS3/anharm
mp-17329/PrS2/anharm
mp-17335/ErAgW2O8/harm
mp-17337/RbAsOF4/harm
mp-17337-2/RbAsOF4/harm
mp-17344/RbEr2Cu3S5/anharm
mp-17349/Na3In2P3O12/harm
mp-17349-2/Na3In2P3O12/anharm
mp-17350/La2TeO6/harm
mp-17350-2/La2TeO6/anharm
mp-17357/NaSmSiO4/harm
mp-17357-2/NaSmSiO4/harm
mp-17361/Cs2WS4/anharm
mp-17363/BaHo2O4/harm
mp-17364/ThP2Ru2/anharm
mp-17366/Ho2SiSO4/anharm
mp-17371/K2ErF5/anharm
mp-17371-2/K2ErF5/anharm
mp-17375/K2Na3TlO4/harm
mp-17375-2/K2Na3TlO4/harm
mp-17377/KNbP2O8/harm
mp-17377-2/KNbP2O8/harm
mp-17380/Ba2CaPd3O6/harm
mp-17382/Rb2Si3SnO9/anharm
mp-17389/Pr3SiAgSe7/harm
mp-17389-2/Pr3SiAgSe7/anharm
mp-17392/Sr2ZnGe2O7/harm
mp-17392-2/Sr2ZnGe2O7/anharm
mp-17394/NaYGeO4/anharm
mp-17400/Ba2TaN3/harm
mp-17400-2/Ba2TaN3/harm
mp-17401/Rb3Sn4Au/harm
mp-17401-2/Rb3Sn4Au/harm
mp-17404/Y2Si2O7/anharm
mp-17410/CsEr3Se5/anharm
mp-17410-2/CsEr3Se5/anharm
mp-17412/BaPr2O4/harm
mp-17418/SmSnF7/harm
mp-17418-2/SmSnF7/harm
mp-17429/KHfPdF7/anharm
mp-17433/NaSr4Sb3O12/harm
mp-17433-2/NaSr4Sb3O12/harm
mp-17434/K2SmF5/anharm
mp-17434-2/K2SmF5/anharm
mp-17436/TlFeC3NO4/harm
mp-17441/Mg2GeS4/anharm
mp-17446/PrPtF7/harm
mp-17446-2/PrPtF7/harm
mp-17447/Sr10P6SO24/anharm
mp-17450/Cs3NiF7/anharm
mp-17450-2/Cs3NiF7/anharm
mp-17450-3/Cs3NiF7/anharm
mp-17458/V2Zn2O7/harm
mp-17458-2/V2Zn2O7/harm
mp-17464/SrGeO3/anharm
mp-17468/SrZrSi2O7/anharm
mp-17470/Ba3Sn2As4/anharm
mp-17473/Na2Al2As3/anharm
mp-17475/TmCuW2O8/harm
mp-17475-2/TmCuW2O8/harm
mp-17481/Mg4Ta2O9/anharm
mp-17481-2/Mg4Ta2O9/anharm
mp-17486/Ho3SiCuS7/harm
mp-17486-2/Ho3SiCuS7/anharm
mp-17487/NaErGeO4/anharm
mp-17490/Rb5SiAs3/anharm
mp-17493/Be3Cd4Si3SO12/anharm
mp-17499/K7NbS6O24/harm
mp-17499-2/K7NbS6O24/harm
mp-17501/BaSc2Te4/anharm
mp-17502/SrVPO6/harm
mp-17502-2/SrVPO6/harm
mp-17504/Sr3Ge2As4/anharm
mp-17510/LiGaW2O8/harm
mp-17512/ZnAu2F8/harm
mp-17513/Ba4Tb2Cd3S10/anharm
mp-17516/Ca10P6SeO24/anharm
mp-17518/Sr2TaN3/harm
mp-17518-2/Sr2TaN3/harm
mp-17524/GeAs2/anharm
mp-17538/K3SbSe3/anharm
mp-17538-2/K3SbSe3/harm
mp-17539/KAsOF4/harm
mp-17539-2/KAsOF4/harm
mp-17541/KSrVO4/harm
mp-17541-2/KSrVO4/harm
mp-17542/TlMoPO6/harm
mp-17544/CaCo2O4/anharm
mp-17545/V2Zn3O8/harm
mp-17552/CaSiO3/anharm
mp-17559/Y2TiO5/anharm
mp-17559-2/Y2TiO5/anharm
mp-17560/Na2UO4/harm
mp-17560-2/Na2UO4/harm
mp-17562/Sr3ScB3O9/harm
mp-17562-2/Sr3ScB3O9/anharm
mp-17566/Ba5P4/anharm
mp-17566-2/Ba5P4/anharm
mp-17568/Ag3Sn2Ge3P6/anharm
mp-17568-2/Ag3Sn2Ge3P6/anharm
mp-17568-3/Ag3Sn2Ge3P6/anharm
mp-17569/SmPtF7/harm
mp-17591/Sm2MoO6/harm
mp-17597/CaSc2S4/anharm
mp-17612/Ba2SiO4/anharm
mp-17620/TmBO3/harm
mp-17620-2/TmBO3/harm
mp-17621/CsReO4/harm
mp-17630/LuCuW2O8/harm
mp-17630-2/LuCuW2O8/harm
mp-17633/Er2SiSeO4/anharm
mp-17636/K3NaW2O8/harm
mp-17637/USO6/harm
mp-17638/Rb3SbSe4/anharm
mp-17649/TlSnF7/harm
mp-17650/KGaS2/harm
mp-17650-2/KGaS2/harm
mp-17651/HoPtF7/harm
mp-17660/SrPrCuSe3/anharm
mp-17660-2/SrPrCuSe3/anharm
mp-17662/Lu2PdO4/anharm
mp-17667/Sr3AlSb3/anharm
mp-17673/Lu3O2F5/harm
mp-17676/Sr2SnS3F2/anharm
mp-17677/Nb9PO25/harm
mp-17677-2/Nb9PO25/harm
mp-17678/SrSc2S4/anharm
mp-17685/Li3GaGeO5/harm
mp-17685-2/Li3GaGeO5/harm
mp-17691/Cu3SbS3/harm
mp-17691-2/Cu3SbS3/anharm
mp-17693/SrCdP2O7/harm
mp-17694/Ca5Al6O14/harm
mp-17694-2/Ca5Al6O14/harm
mp-17696/Ba2VN3/anharm
mp-17697/KSmF4/anharm
mp-17698/K6CdTe4/anharm
mp-17700/SnWO4/harm
mp-17701/Sr2NbN3/harm
mp-17701-2/Sr2NbN3/harm
mp-17704/Tm2SiO5/harm
mp-17704-2/Tm2SiO5/harm
mp-17708/Ge3Sb2O9/harm
mp-17708-2/Ge3Sb2O9/anharm
mp-17709/Na2ZnSiO4/harm
mp-17709-2/Na2ZnSiO4/harm
mp-17714/Ho4B6O15/harm
mp-17714-2/Ho4B6O15/harm
mp-17715/SrTa2O6/anharm
mp-17718/CsKNa2Li12Si4O16/harm
mp-17718-2/CsKNa2Li12Si4O16/harm
mp-17719/La3SiAgS7/anharm
mp-17719-2/La3SiAgS7/harm
mp-17722/PrTaO4/harm
mp-17724/K2Na4Co2O5/harm
mp-17729/PrTlMo2O8/harm
mp-17729-2/PrTlMo2O8/anharm
mp-17730/K2SnO3/anharm
mp-17730-2/K2SnO3/anharm
mp-17741/Sm2ReO5/harm
mp-17741-2/Sm2ReO5/anharm
mp-17743/Sr3Sn2O7/harm
mp-17743-2/Sr3Sn2O7/harm
mp-17747/Y3CuSnS7/harm
mp-17747-2/Y3CuSnS7/harm
mp-17749/V2HgO6/harm
mp-17749-2/V2HgO6/anharm
mp-17750/Pr2SiTeO4/anharm
mp-17756/RbAg2SbS4/harm
mp-17756-2/RbAg2SbS4/harm
mp-17759/CrCdO4/harm
mp-17759-2/CrCdO4/harm
mp-17761/CaGeO3/harm
mp-17761-2/CaGeO3/harm
mp-17765/Ta2ZnO6/harm
mp-17765-2/Ta2ZnO6/harm
mp-17769/YSO4F/anharm
mp-17771/NaMg4As3O12/harm
mp-17771-2/NaMg4As3O12/harm
mp-17774/K2Li3GaO4/anharm
mp-17777/Sr5As3O12F/anharm
mp-17784/CaTiGeO5/harm
mp-17784-2/CaTiGeO5/harm
mp-17785/KNa2GaO3/anharm
mp-17786/BaSm2Te4/anharm
mp-17791/Cd4SiSe6/harm
mp-17791-2/Cd4SiSe6/harm
mp-17792/K2Hg3Ge2S8/harm
mp-17792-2/K2Hg3Ge2S8/harm
mp-17803/Nb2Tl4S11/anharm
mp-17805/Ba2SnSe3F2/anharm
mp-17807/LiUNbO6/harm
mp-17807-2/LiUNbO6/harm
mp-17808/Nb2Zn4O9/anharm
mp-17812/Sm2SiTeO4/harm
mp-17812-2/Sm2SiTeO4/harm
mp-17817/Ca3Ge2P4/anharm
mp-17817-2/Ca3Ge2P4/anharm
mp-17822/Dy2MoO6/harm
mp-17822-2/Dy2MoO6/harm
mp-17825/Sr2SiO4/harm
mp-17825-2/Sr2SiO4/harm
mp-17827/Nd3SiAgSe7/harm
mp-17827-2/Nd3SiAgSe7/anharm
mp-17829/Sr3SmRhO6/anharm
mp-17830/Rb3Ge4Au/anharm
mp-17832/RbBaPO4/anharm
mp-17833/Ba3GeO/anharm
mp-17834/La2SiSeO4/anharm
mp-17834-2/La2SiSeO4/anharm
mp-17835/Sn2Sb2S5/harm
mp-17835-2/Sn2Sb2S5/harm
mp-17836/BaNd2BeO5/harm
mp-17836-2/BaNd2BeO5/harm
mp-17838/KTb3F10/anharm
mp-17839/K3NaSe2O8/harm
mp-17839-2/K3NaSe2O8/harm
mp-17841/Mg4Nb2O9/anharm
mp-17844/SnWO4/harm
mp-17844-2/SnWO4/harm
mp-17850/K3NaTh2O6/harm
mp-17850-2/K3NaTh2O6/harm
mp-17853/YGaO3/anharm
mp-17853-2/YGaO3/anharm
mp-17853-3/YGaO3/anharm
mp-17854/LiInGeO4/anharm
mp-17857/Ta9VO25/harm
mp-17862/Ag3Ge5P6/anharm
mp-17864/BaNaB9O15/harm
mp-17864-2/BaNaB9O15/harm
mp-17868/NaAsO3/harm
mp-17872/BaY2Te4/anharm
mp-17875/Ca6GaN5/harm
mp-17875-2/Ca6GaN5/harm
mp-17885/Ba2Ge2Te5/harm
mp-17885-2/Ba2Ge2Te5/harm
mp-17886/K2Al2Sb3/anharm
mp-17887/SnP2O7/harm
mp-17887-2/SnP2O7/harm
mp-17888/K2Zr3OF12/harm
mp-17888-2/K2Zr3OF12/harm
mp-17889/KNa2P3O9/harm
mp-17889-2/KNa2P3O9/harm
mp-17891/NaYSiO4/anharm
mp-17892/Ca2VN3/harm
mp-17892-2/Ca2VN3/harm
mp-17894/Rb3SmP2S8/harm
mp-17894-2/Rb3SmP2S8/harm
mp-17895/K3BeF5/anharm
mp-17904/Nd2TiO5/harm
mp-17904-2/Nd2TiO5/harm
mp-17905/Cs2Hg6S7/harm
mp-17905-2/Cs2Hg6S7/harm
mp-17906/PrF3/harm
mp-17908/Ba2TiS4/anharm
mp-17909/SiO2/anharm
mp-17911/Ba2ZnO3/anharm
mp-17911-2/Ba2ZnO3/anharm
mp-17912/Rb3SbSe3/anharm
mp-17912-2/Rb3SbSe3/harm
mp-17913/Tb2SiSeO4/anharm
mp-17914/CaGa4O7/harm
mp-17916/Y3CuGeSe7/harm
mp-17916-2/Y3CuGeSe7/harm
mp-17921/NbSeOF7/harm
mp-17921-2/NbSeOF7/harm
mp-17924/ZnP2PbO7/harm
mp-17924-2/ZnP2PbO7/harm
mp-17926/Zr3Ni3Sb4/anharm
mp-17927/BaDy2Te4/anharm
mp-17928/BaEr2Te4/anharm
mp-17929/RbHo2Cu3S5/anharm
mp-17944/NaCaAlF6/harm
mp-17944-2/NaCaAlF6/harm
mp-17945/RbPSe6/harm
mp-17945-2/RbPSe6/harm
mp-17947/BaCu2GeS4/harm
mp-17947-2/BaCu2GeS4/harm
mp-17948/SiHg4S6/harm
mp-17948-2/SiHg4S6/harm
mp-17950/Nd2W3O12/harm
mp-17950-2/Nd2W3O12/harm
mp-17951/Cs4Zn3F10/anharm
mp-17953/MgNb2O6/harm
mp-17953-2/MgNb2O6/harm
mp-17954/BaCu2SnS4/harm
mp-17956/Ca2UO5/harm
mp-17956-2/Ca2UO5/harm
mp-17959/Nd2SiTeO4/harm
mp-17959-2/Nd2SiTeO4/harm
mp-17960/BaSm2O4/harm
mp-17960-2/BaSm2O4/harm
mp-17964/Na2Ge2Se5/harm
mp-17964-2/Na2Ge2Se5/harm
mp-17965/KGaTe2/harm
mp-17966/KInP2O7/harm
mp-17968/Na2CaV4O12/harm
mp-17968-2/Na2CaV4O12/anharm
mp-17972/Zn2Hg2OF6/anharm
mp-17973/Cs3GeF7/harm
mp-17973-2/Cs3GeF7/harm
mp-17975/KSrPO4/harm
mp-17975-2/KSrPO4/harm
mp-17978/Rb5GeP3/anharm
mp-17979/BaAl2Si2O8/anharm
mp-17980/K2MoS4/anharm
mp-17982/SmCuW2O8/harm
mp-17986/TiTl2O3/harm
mp-17986-2/TiTl2O3/harm
mp-17989/K3PS4/anharm
mp-17998/CaRh2O4/anharm
data_18001-19000
data_19001-20000
data_20001-21000
data_21001-22000
data_22001-23000
data_23001-24000
data_24001-25000
data_25001-26000
data_26001-27000
data_27001-28000
data_28001-29000
data_29001-30000
data_30001-31000
data_31001-32000
data_32001-33000
data_33001-34000
data_34001-35000
data_35001-36000
data_36001-37000
data_37001-38000
data_38001-39000
data_39001-40000
data_40001-41000
data_41001-42000
data_42001-43000
data_43001-44000
data_504001-505000
data_505001-506000
data_510001-511000
data_530001-531000
data_531001-532000
data_532001-533000
data_534001-535000
data_540001-541000
data_541001-542000
data_542001-543000
data_543001-544000
data_545001-546000
data_546001-547000
data_547001-548000
data_548001-549000
data_549001-550000
data_550001-551000
data_551001-552000
data_552001-553000
data_553001-554000
data_554001-555000
data_555001-556000
data_556001-557000
data_557001-558000
data_558001-559000
data_559001-560000
data_560001-561000
data_561001-562000
data_562001-563000
data_563001-564000
data_565001-566000
data_566001-567000
data_567001-568000
data_568001-569000
data_569001-570000
data_570001-571000
data_571001-572000
data_572001-573000
data_573001-574000
data_574001-575000
data_578001-579000
data_579001-580000
data_580001-581000
data_581001-582000
data_582001-583000
data_583001-584000
data_584001-585000
data_585001-586000
data_600001-601000
data_601001-602000
data_603001-604000
data_604001-605000
data_605001-606000
data_606001-607000
data_607001-608000
data_608001-609000
data_609001-610000
data_610001-611000
data_611001-612000
data_612001-613000
data_613001-614000
data_614001-615000
data_615001-616000
data_616001-617000
data_617001-618000
data_618001-619000
data_619001-620000
data_620001-621000
data_621001-622000
data_622001-623000
data_623001-624000
data_624001-625000
data_625001-626000
data_626001-627000
data_627001-628000
data_628001-629000
data_629001-630000
data_630001-631000
data_631001-632000
data_632001-633000
data_633001-634000
data_634001-635000
data_635001-636000
data_636001-637000
data_637001-638000
data_638001-639000
data_639001-640000
data_640001-641000
data_641001-642000
data_642001-643000
data_643001-644000
data_644001-645000
data_645001-646000
data_646001-647000
data_647001-648000
data_648001-649000
data_649001-650000
data_650001-651000
data_651001-652000
data_652001-653000
data_653001-654000
data_654001-655000
data_655001-656000
data_656001-657000
data_657001-658000
data_662001-663000
data_665001-666000
data_667001-668000
data_669001-670000
data_672001-673000
data_673001-674000
data_674001-675000
data_675001-676000
data_676001-677000
data_677001-678000
data_679001-680000
data_680001-681000
data_681001-682000
data_682001-683000
data_683001-684000
data_684001-685000
data_685001-686000
data_686001-687000
data_687001-688000
data_689001-690000
data_690001-691000
data_691001-692000
data_693001-694000
data_694001-695000
data_695001-696000
data_696001-697000
data_697001-698000
data_698001-699000
data_699001-700000
data_703001-704000
data_704001-705000
data_705001-706000
data_706001-707000
data_707001-708000
data_708001-709000
data_709001-710000
data_714001-715000
data_715001-716000
data_720001-721000
data_721001-722000
data_722001-723000
data_723001-724000
data_724001-725000
data_725001-726000
data_726001-727000
data_727001-728000
data_728001-729000
data_729001-730000
data_730001-731000
data_731001-732000
data_732001-733000
data_733001-734000
data_734001-735000
data_735001-736000
data_736001-737000
data_738001-739000
data_740001-741000
data_741001-742000
data_743001-744000
data_744001-745000
data_746001-747000
data_752001-753000
data_753001-754000
data_754001-755000
data_755001-756000
data_756001-757000
data_757001-758000
data_758001-759000
data_759001-760000
data_760001-761000
data_761001-762000
data_762001-763000
data_763001-764000
data_764001-765000
data_765001-766000
data_766001-767000
data_767001-768000
data_768001-769000
data_769001-770000
data_770001-771000
data_771001-772000
data_772001-773000
data_773001-774000
data_774001-775000
data_775001-776000
data_776001-777000
data_777001-778000
data_778001-779000
data_779001-780000
data_780001-781000
data_781001-782000
data_782001-783000
data_796001-797000
data_801001-802000
data_818001-819000
data_825001-826000
data_826001-827000
data_831001-832000
data_836001-837000
data_849001-850000
data_850001-851000
data_851001-852000
data_857001-858000
data_859001-860000
data_860001-861000
data_861001-862000
data_862001-863000
data_863001-864000
data_864001-865000
data_865001-866000
data_866001-867000
data_867001-868000
data_924001-925000
data_935001-936000
data_936001-937000
data_937001-938000
data_941001-942000
data_945001-946000
data_949001-950000
data_950001-951000
data_961001-962000
data_962001-963000
data_966001-967000
data_971001-972000
data_972001-973000
data_973001-974000
data_974001-975000
data_975001-976000
data_976001-977000
data_977001-978000
data_978001-979000
data_979001-980000
data_980001-981000
data_981001-982000
data_982001-983000
data_983001-984000
data_984001-985000
data_985001-986000
data_986001-987000
data_988001-989000
data_989001-990000
data_990001-991000
data_991001-992000
data_992001-993000
data_995001-996000
data_996001-997000
data_997001-998000
data_998001-999000
data_999001-1000000
data_1001001-1002000
data_1002001-1003000
data_1004001-1005000
data_1005001-1006000
data_1006001-1007000
data_1007001-1008000
data_1008001-1009000
data_1009001-1010000
data_1011001-1012000
data_1012001-1013000
data_1013001-1014000
data_1014001-1015000
data_1016001-1017000
data_1017001-1018000
data_1018001-1019000
data_1019001-1020000
data_1020001-1021000
data_1021001-1022000
data_1022001-1023000
data_1023001-1024000
data_1025001-1026000
data_1026001-1027000
data_1029001-1030000
data_1030001-1031000
data_1040001-1041000
data_1041001-1042000
data_1042001-1043000
data_1043001-1044000
data_1044001-1045000
data_1045001-1046000
data_1046001-1047000
data_1047001-1048000
data_1048001-1049000
data_1049001-1050000
data_1056001-1057000
data_1057001-1058000
data_1060001-1061000
data_1062001-1063000
data_1063001-1064000
data_1064001-1065000
data_1065001-1066000
data_1066001-1067000
data_1067001-1068000
data_1068001-1069000
data_1069001-1070000
data_1070001-1071000
data_1071001-1072000
data_1072001-1073000
data_1075001-1076000
data_1076001-1077000
data_1077001-1078000
data_1078001-1079000
data_1079001-1080000
data_1080001-1081000
data_1084001-1085000
data_1086001-1087000
data_1087001-1088000
data_1091001-1092000
data_1092001-1093000
data_1093001-1094000
data_1094001-1095000
data_1095001-1096000
data_1096001-1097000
data_1097001-1098000
data_1098001-1099000
data_1099001-1100000
data_1100001-1101000
data_1101001-1102000
data_1102001-1103000
data_1103001-1104000
data_1104001-1105000
data_1105001-1106000
data_1106001-1107000
data_1110001-1111000
data_1111001-1112000
data_1112001-1113000
data_1113001-1114000
data_1114001-1115000
data_1119001-1120000
data_1120001-1121000
data_1147001-1148000
data_1153001-1154000
data_1172001-1173000
data_1173001-1174000
data_1176001-1177000
data_1178001-1179000
data_1179001-1180000
data_1180001-1181000
data_1181001-1182000
data_1182001-1183000
data_1183001-1184000
data_1184001-1185000
data_1185001-1186000
data_1186001-1187000
data_1187001-1188000
data_1188001-1189000
data_1189001-1190000
data_1190001-1191000
data_1191001-1192000
data_1192001-1193000
data_1193001-1194000
data_1194001-1195000
data_1195001-1196000
data_1196001-1197000
data_1197001-1198000
data_1198001-1199000
data_1199001-1200000
data_1200001-1201000
data_1201001-1202000
data_1202001-1203000
data_1203001-1204000
data_1204001-1205000
data_1205001-1206000
data_1206001-1207000
data_1207001-1208000
data_1208001-1209000
data_1209001-1210000
data_1210001-1211000
data_1211001-1212000
data_1212001-1213000
data_1213001-1214000
data_1214001-1215000
data_1215001-1216000
data_1216001-1217000
data_1217001-1218000
data_1218001-1219000
data_1219001-1220000
data_1220001-1221000
data_1221001-1222000
data_1222001-1223000
data_1223001-1224000
data_1224001-1225000
data_1225001-1226000
data_1226001-1227000
data_1227001-1228000
data_1228001-1229000
data_1229001-1230000
data_1232001-1233000
data_1237001-1238000
data_1238001-1239000
data_1239001-1240000
data_1253001-1254000
data_1300001-1301000
data_1323001-1324000
data_1370001-1371000
data_1382001-1383000
data_1383001-1384000
data_1386001-1387000
data_1387001-1388000
data_1388001-1389000
data_1389001-1390000
data_1390001-1391000
data_1391001-1392000
data_1392001-1393000
data_1393001-1394000
data_1394001-1395000
data_1396001-1397000
data_1397001-1398000
data_1398001-1399000
data_1399001-1400000
data_1400001-1401000
data_1401001-1402000
data_1403001-1404000
data_1404001-1405000
data_1405001-1406000
data_1408001-1409000
data_1411001-1412000
data_1413001-1414000
data_1417001-1418000
data_1419001-1420000
data_1420001-1421000
data_1423001-1424000
data_1426001-1427000
data_1428001-1429000
data_1429001-1430000
data_1435001-1436000
data_1440001-1441000
data_1443001-1444000
data_1445001-1446000
Phonix database
ver2026.03.28
data_17001-18000
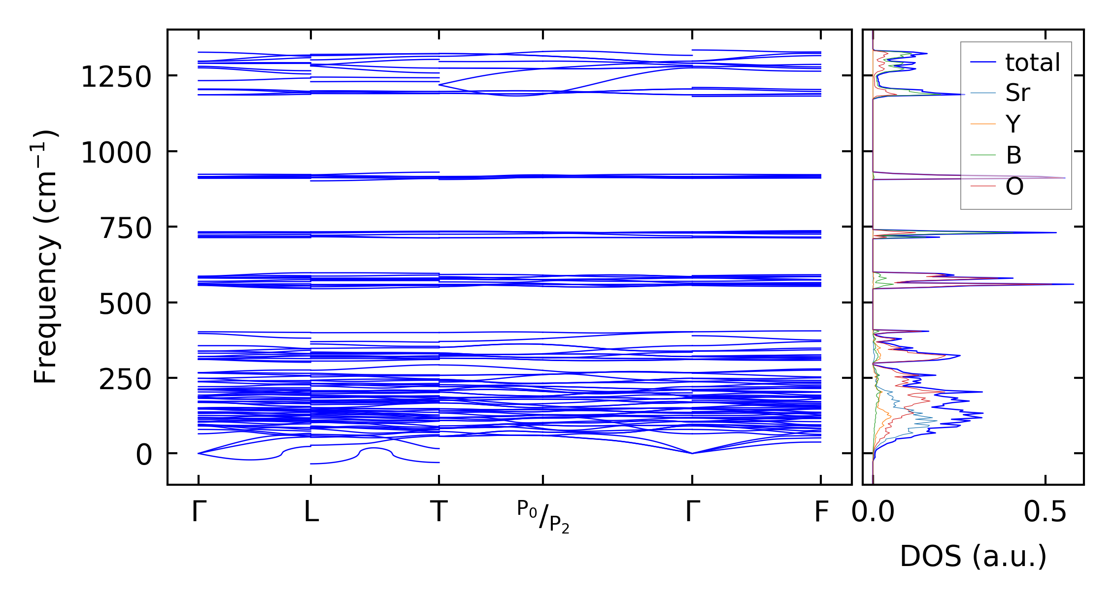
mp-17025/Sr3YB3O9/harm
mp-17025/Sr3YB3O9/harm
Space group:
R-3 (148)
Link:
Materials Project
Download:
mp-17025.tar.gz
Harmonic properties
(a) Phonon dispersion and DOS
Summary
(a) Computation time