mp-17486-2/Ho3SiCuS7/anharm

Equation of state

../../_images/fig_bm6974.png

(a) Equation of state

Harmonic properties

../../_images/fig_bandos_pr13932.png

(a) Phonon dispersion with participation ratio and DOS

../../_images/fig_thermo13932.png

(b) Thermodynamic properties

Grüneisen parameters

../../_images/fig_gru_all5893.png

(a) Grüneisen parameters

../../_images/fig_gruneisen5893.png

(b) Phonon dispersion with Grüneisen parameters

Thermal conductivity

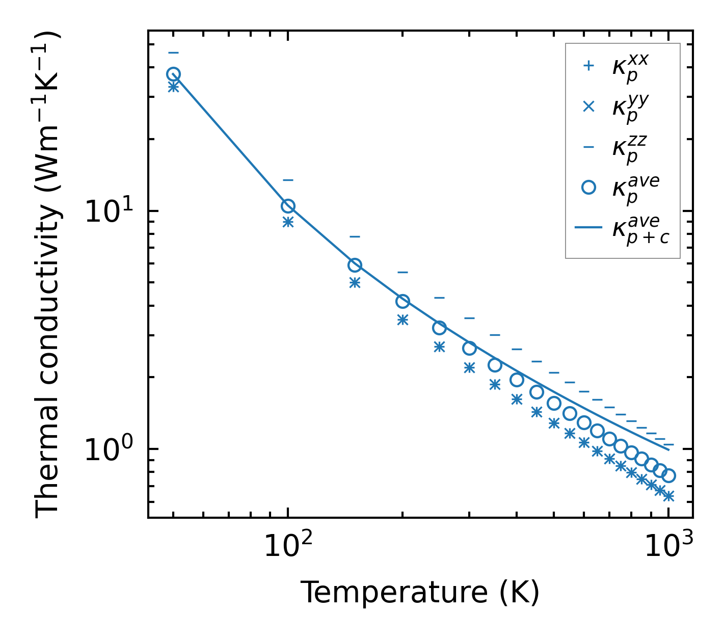
3-phonon (LASSO) — q-mesh: 7x7x13, supercell: 1x1x2

../../_images/fig_kappa11091.png

(a) Temperature-dependent lattice thermal conductivity

../../_images/fig_kappa_vs_grain_size5969.png

(b) Peierls lattice thermal conductivity w.r.t grain size

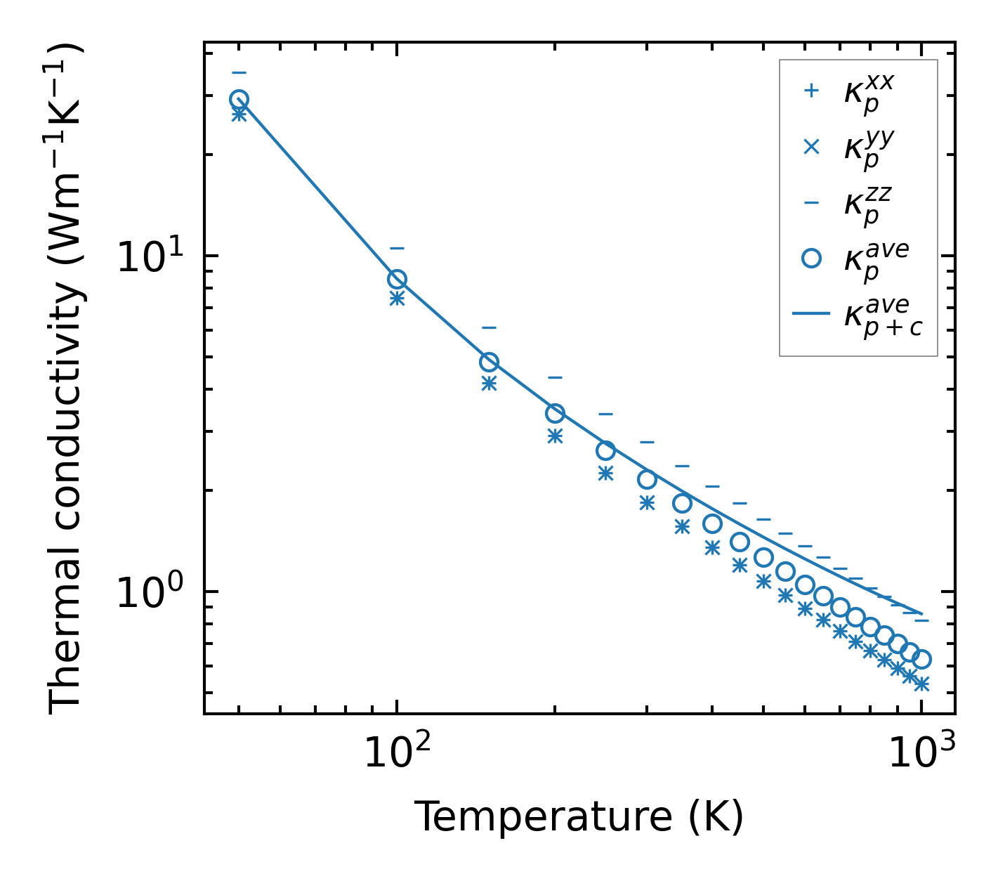
3-phonon (LASSO), supercell 2x2x2 — q-mesh: 7x7x13, supercell: 2x2x2

../../_images/fig_kappa11092.png

(a) Temperature-dependent lattice thermal conductivity

../../_images/fig_kappa_vs_grain_size5970.png

(b) Peierls lattice thermal conductivity w.r.t grain size

Phonon lifetime and scattering rates

../../_images/fig_lifetime5836.png

(a) Phonon lifetime due to phonon-phonon scattering

../../_images/fig_scat_rates5835.png

(b) Phonon scattering rates

Cumulative and spectral thermal conductivity

../../_images/fig_cumu_frequency5836.png

(a) Spectral and cumulative thermal conductivity w.r.t frequency

../../_images/fig_cumu_mfp5835.png

(b) Spectral and cumulative thermal conductivity w.r.t MFP

Force constants

../../_images/fig_fc213560.png

(a) Force constants w.r.t atomic distance

Summary

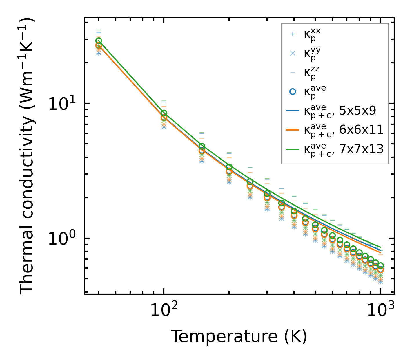
../../_images/fig_kappa11093.png

(a) Temperature-dependent lattice thermal conductivity

../../_images/fig_times23339.png

(b) Computation time