mp-17006-2/SmTlMo2O8/anharm

Equation of state

../../_images/fig_bm7091.png

(a) Equation of state

Harmonic properties

../../_images/fig_bandos_pr14157.png

(a) Phonon dispersion with participation ratio and DOS

../../_images/fig_bandos18552.png

(b) Phonon dispersion and DOS

../../_images/fig_thermo14157.png

(c) Thermodynamic properties

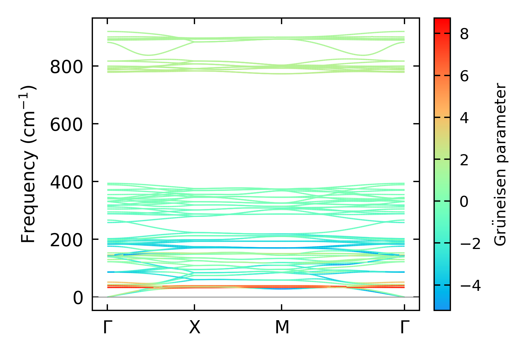
Grüneisen parameters

../../_images/fig_gru_all6011.png

(a) Grüneisen parameters

../../_images/fig_gruneisen6011.png

(b) Phonon dispersion with Grüneisen parameters

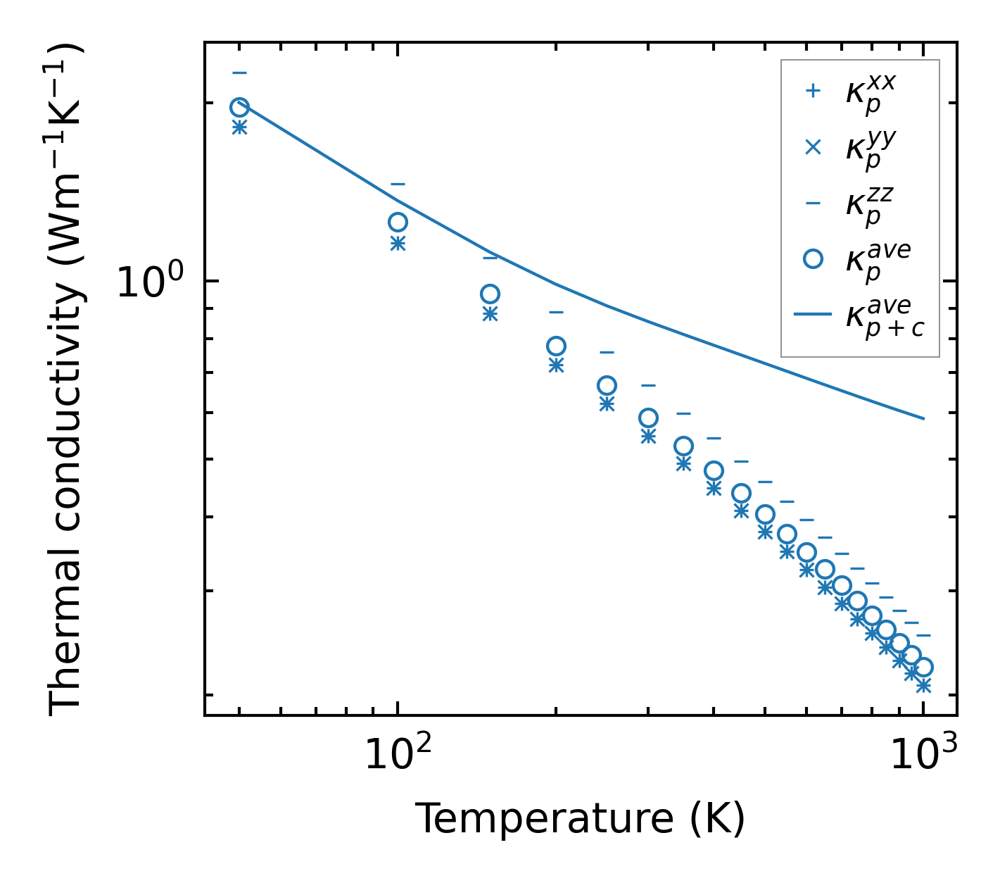
Thermal conductivity

3-phonon (LASSO) — q-mesh: 11x11x7, supercell: 2x2x1

../../_images/fig_kappa11313.png

(a) Temperature-dependent lattice thermal conductivity

../../_images/fig_kappa_vs_grain_size6088.png

(b) Peierls lattice thermal conductivity w.r.t grain size

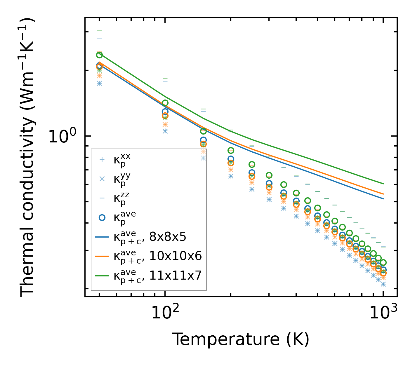
3-phonon (LASSO), supercell 2x2x2 — q-mesh: 11x11x7, supercell: 2x2x2

../../_images/fig_kappa11314.png

(a) Temperature-dependent lattice thermal conductivity

../../_images/fig_kappa_vs_grain_size6089.png

(b) Peierls lattice thermal conductivity w.r.t grain size

Phonon lifetime and scattering rates

../../_images/fig_lifetime5952.png

(a) Phonon lifetime due to phonon-phonon scattering

../../_images/fig_scat_rates5951.png

(b) Phonon scattering rates

Cumulative and spectral thermal conductivity

../../_images/fig_cumu_frequency5952.png

(a) Spectral and cumulative thermal conductivity w.r.t frequency

../../_images/fig_cumu_mfp5951.png

(b) Spectral and cumulative thermal conductivity w.r.t MFP

Force constants

../../_images/fig_fc213785.png

(a) Force constants w.r.t atomic distance

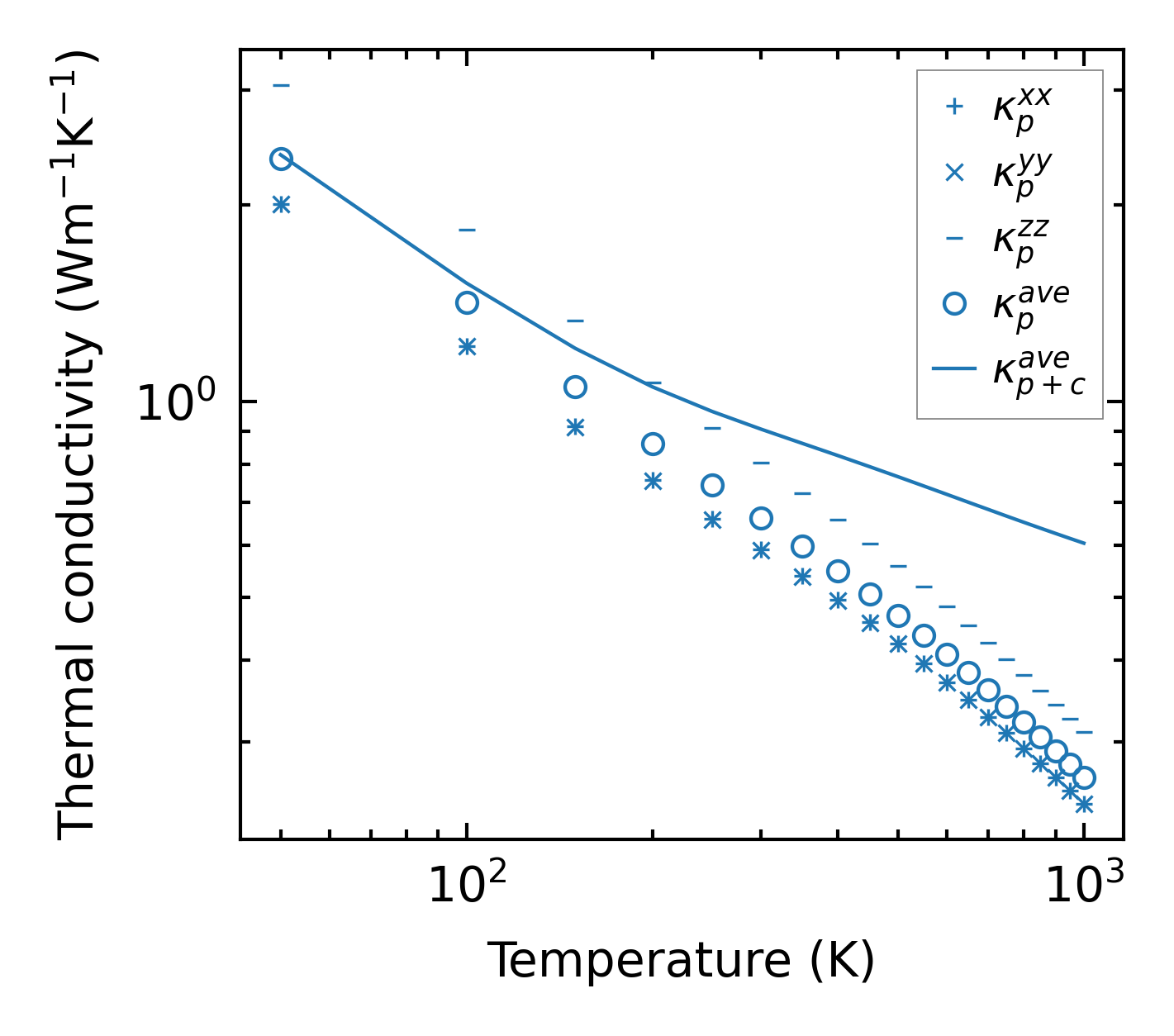
Summary

../../_images/fig_kappa11315.png

(a) Temperature-dependent lattice thermal conductivity

../../_images/fig_times23670.png

(b) Computation time