mp-17077/K2YF5/anharm

Equation of state

../../_images/fig_bm7103.png

(a) Equation of state

Harmonic properties

../../_images/fig_bandos_pr14184.png

(a) Phonon dispersion with participation ratio and DOS

../../_images/fig_thermo14184.png

(b) Thermodynamic properties

Grüneisen parameters

../../_images/fig_gru_all6028.png

(a) Grüneisen parameters

../../_images/fig_gruneisen6028.png

(b) Phonon dispersion with Grüneisen parameters

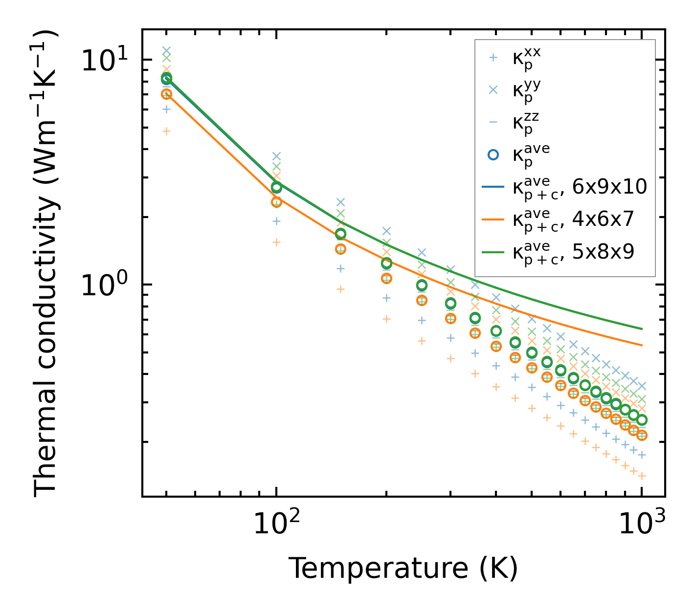
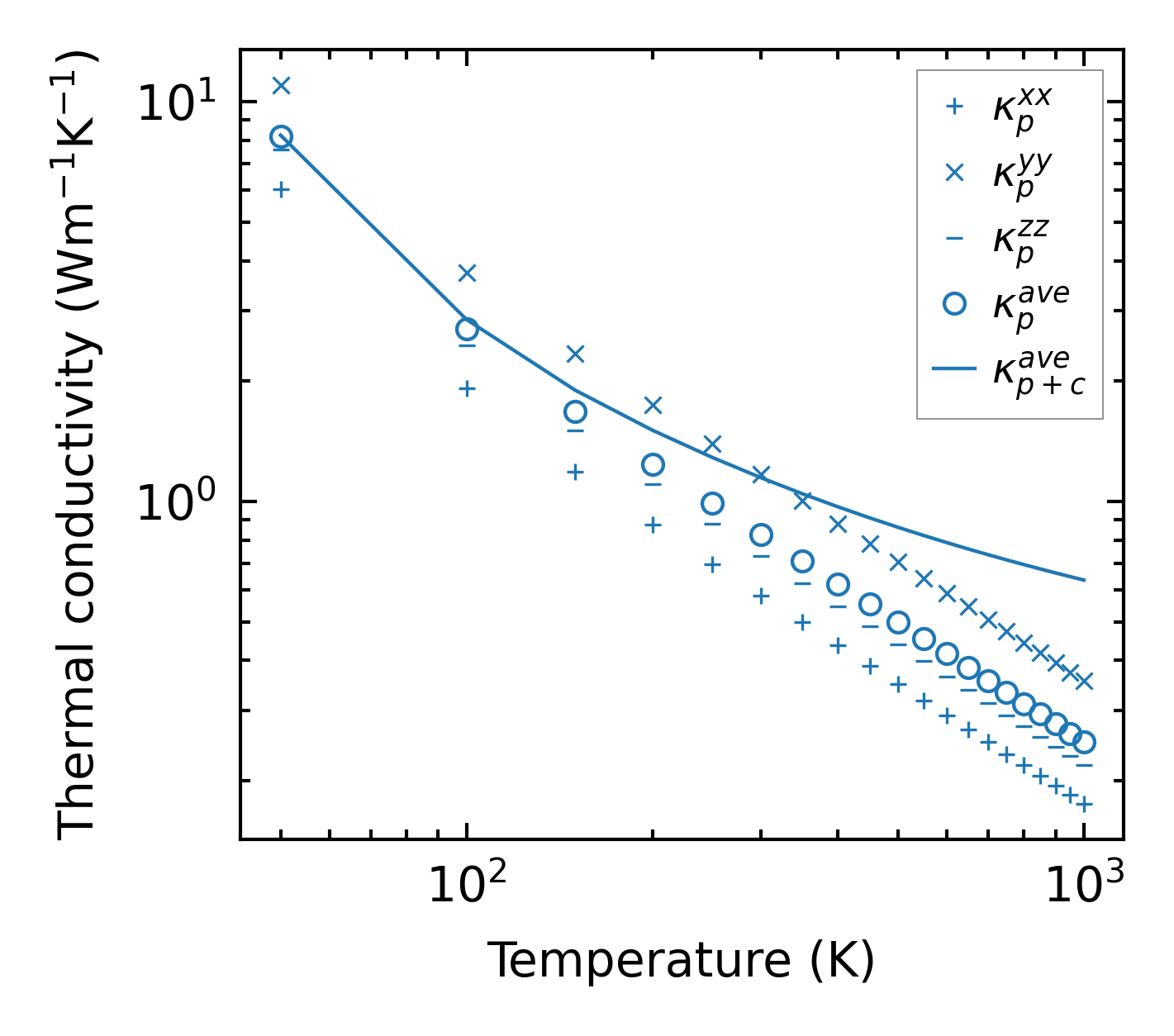
Thermal conductivity

3-phonon (LASSO) — q-mesh: 6x9x10, supercell: 1x2x2

../../_images/fig_kappa11343.png

(a) Temperature-dependent lattice thermal conductivity

../../_images/fig_kappa_vs_grain_size6105.png

(b) Peierls lattice thermal conductivity w.r.t grain size

Phonon lifetime and scattering rates

../../_images/fig_lifetime5967.png

(a) Phonon lifetime due to phonon-phonon scattering

../../_images/fig_scat_rates5966.png

(b) Phonon scattering rates

Cumulative and spectral thermal conductivity

../../_images/fig_cumu_frequency5967.png

(a) Spectral and cumulative thermal conductivity w.r.t frequency

../../_images/fig_cumu_mfp5966.png

(b) Spectral and cumulative thermal conductivity w.r.t MFP

Force constants

../../_images/fig_fc213812.png

(a) Force constants w.r.t atomic distance

Summary

../../_images/fig_kappa11344.png

(a) Temperature-dependent lattice thermal conductivity

../../_images/fig_times23705.png

(b) Computation time