mp-17057/Sr2SnSe3F2/anharm

Harmonic properties

../../_images/fig_bandos_pr14174.png

(a) Phonon dispersion with participation ratio and DOS

../../_images/fig_thermo14174.png

(b) Thermodynamic properties

Grüneisen parameters

../../_images/fig_gru_all6020.png

(a) Grüneisen parameters

../../_images/fig_gruneisen6020.png

(b) Phonon dispersion with Grüneisen parameters

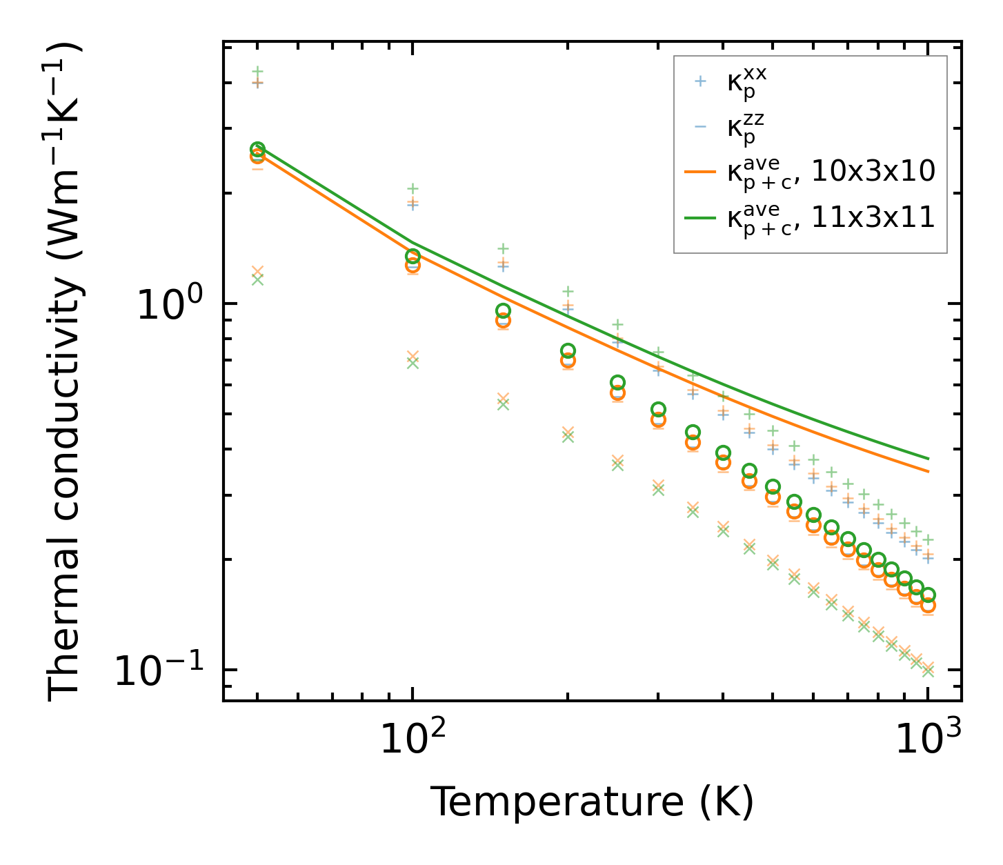
Thermal conductivity

3-phonon (LASSO) — q-mesh: 11x3x11, supercell: 2x1x2

../../_images/fig_kappa11331.png

(a) Temperature-dependent lattice thermal conductivity

../../_images/fig_kappa_vs_grain_size6099.png

(b) Peierls lattice thermal conductivity w.r.t grain size

Phonon lifetime and scattering rates

../../_images/fig_lifetime5961.png

(a) Phonon lifetime due to phonon-phonon scattering

../../_images/fig_scat_rates5960.png

(b) Phonon scattering rates

Cumulative and spectral thermal conductivity

../../_images/fig_cumu_frequency5961.png

(a) Spectral and cumulative thermal conductivity w.r.t frequency

../../_images/fig_cumu_mfp5960.png

(b) Spectral and cumulative thermal conductivity w.r.t MFP

Force constants

../../_images/fig_fc213802.png

(a) Force constants w.r.t atomic distance

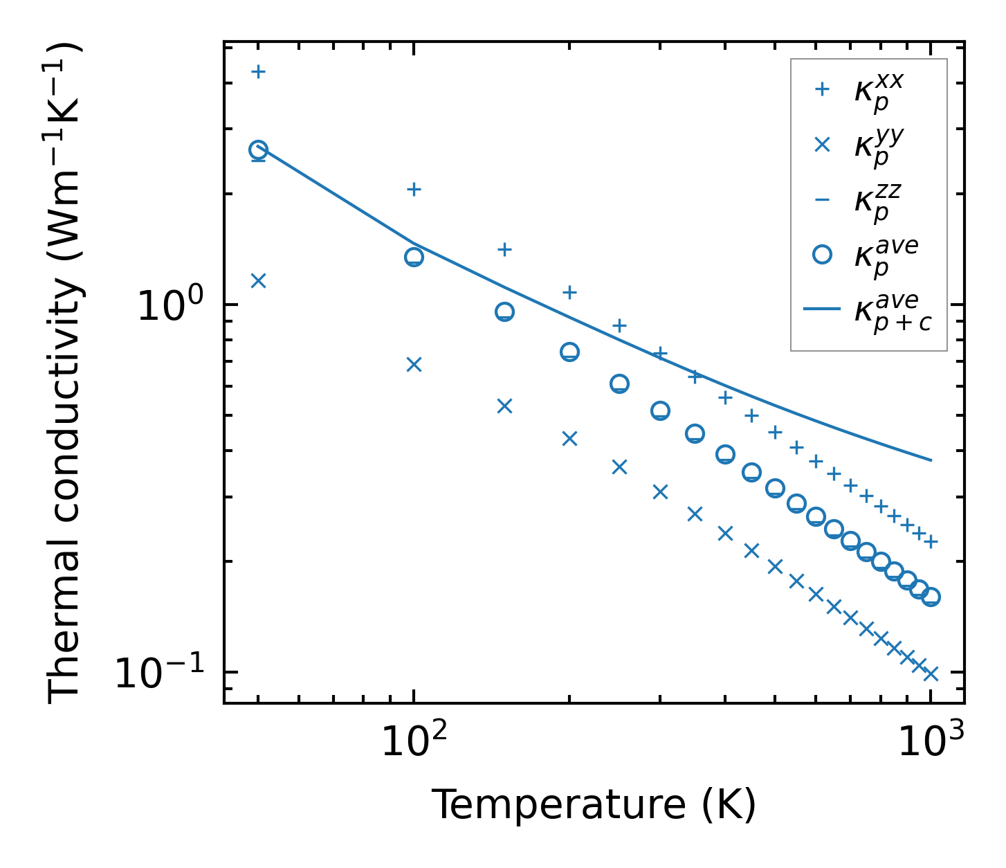
Summary

../../_images/fig_kappa11332.png

(a) Temperature-dependent lattice thermal conductivity

../../_images/fig_times23693.png

(b) Computation time