mp-17382/Rb2Si3SnO9/anharm

Harmonic properties

../../_images/fig_bandos_pr14265.png

(a) Phonon dispersion with participation ratio and DOS

../../_images/fig_thermo14265.png

(b) Thermodynamic properties

Grüneisen parameters

../../_images/fig_gru_all6072.png

(a) Grüneisen parameters

../../_images/fig_gruneisen6072.png

(b) Phonon dispersion with Grüneisen parameters

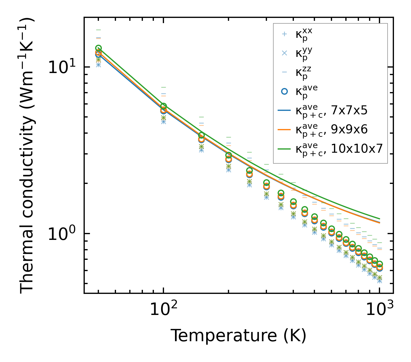
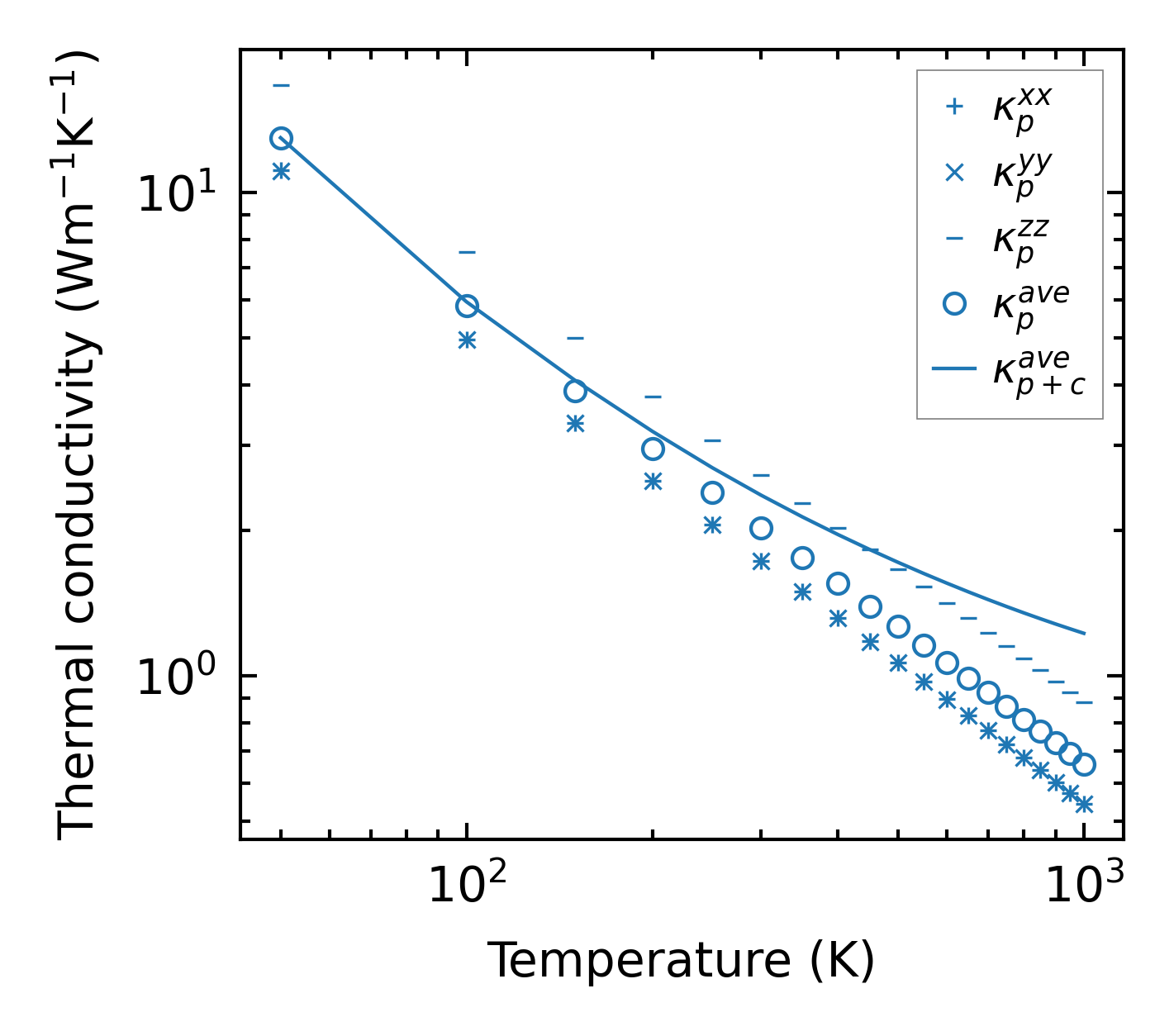
Thermal conductivity

3-phonon (LASSO) — q-mesh: 10x10x7, supercell: 2x2x1

../../_images/fig_kappa11425.png

(a) Temperature-dependent lattice thermal conductivity

../../_images/fig_kappa_vs_grain_size6150.png

(b) Peierls lattice thermal conductivity w.r.t grain size

Phonon lifetime and scattering rates

../../_images/fig_lifetime6011.png

(a) Phonon lifetime due to phonon-phonon scattering

../../_images/fig_scat_rates6010.png

(b) Phonon scattering rates

Cumulative and spectral thermal conductivity

../../_images/fig_cumu_frequency6011.png

(a) Spectral and cumulative thermal conductivity w.r.t frequency

../../_images/fig_cumu_mfp6010.png

(b) Spectral and cumulative thermal conductivity w.r.t MFP

Force constants

../../_images/fig_fc213893.png

(a) Force constants w.r.t atomic distance

Summary

../../_images/fig_kappa11426.png

(a) Temperature-dependent lattice thermal conductivity

../../_images/fig_times23831.png

(b) Computation time