mp-17129/Sr3Al2N4/anharm

Harmonic properties

../../_images/fig_bandos_pr14197.png

(a) Phonon dispersion with participation ratio and DOS

../../_images/fig_thermo14197.png

(b) Thermodynamic properties

Grüneisen parameters

../../_images/fig_gru_all6036.png

(a) Grüneisen parameters

../../_images/fig_gruneisen6036.png

(b) Phonon dispersion with Grüneisen parameters

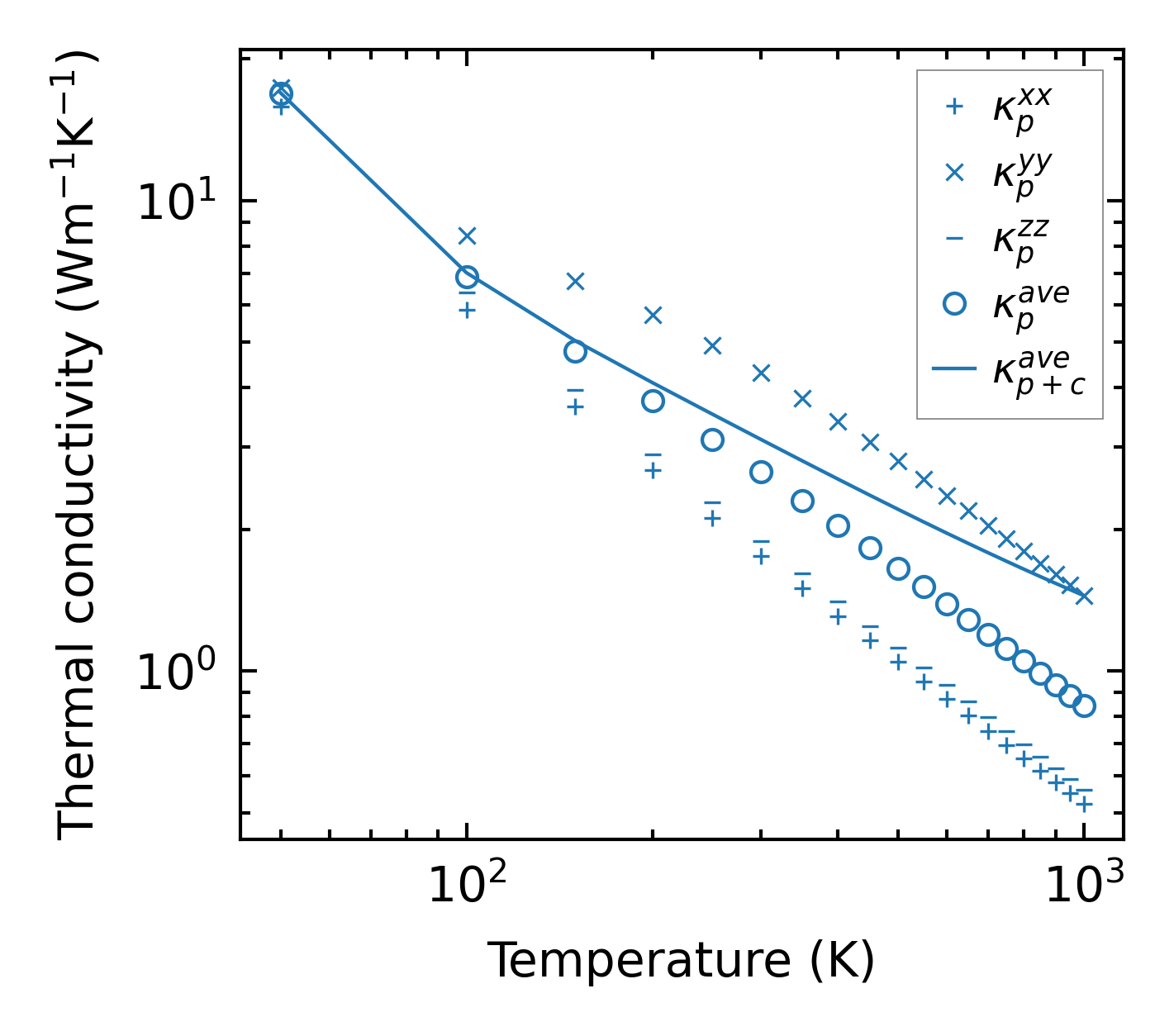
Thermal conductivity

3-phonon (LASSO) — q-mesh: 12x7x7, supercell: 2x1x2

../../_images/fig_kappa11359.png

(a) Temperature-dependent lattice thermal conductivity

../../_images/fig_kappa_vs_grain_size6113.png

(b) Peierls lattice thermal conductivity w.r.t grain size

Phonon lifetime and scattering rates

../../_images/fig_lifetime5975.png

(a) Phonon lifetime due to phonon-phonon scattering

../../_images/fig_scat_rates5974.png

(b) Phonon scattering rates

Cumulative and spectral thermal conductivity

../../_images/fig_cumu_frequency5975.png

(a) Spectral and cumulative thermal conductivity w.r.t frequency

../../_images/fig_cumu_mfp5974.png

(b) Spectral and cumulative thermal conductivity w.r.t MFP

Force constants

../../_images/fig_fc213825.png

(a) Force constants w.r.t atomic distance

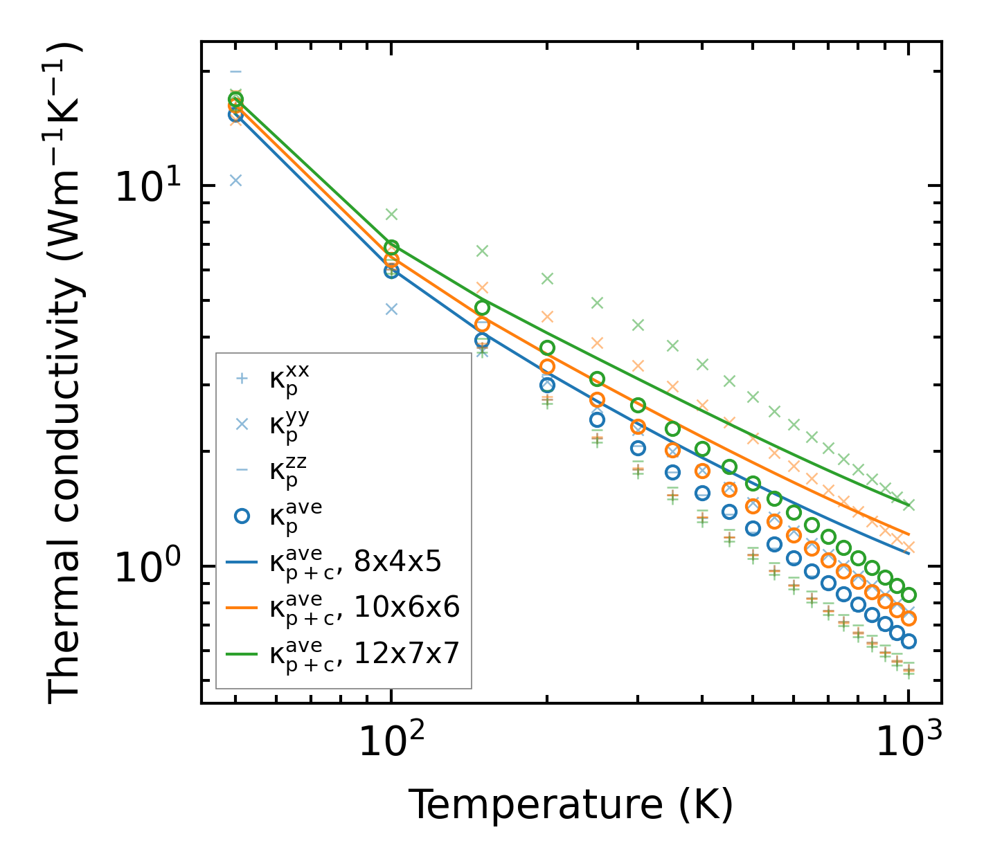
Summary

../../_images/fig_kappa11360.png

(a) Temperature-dependent lattice thermal conductivity

../../_images/fig_times23725.png

(b) Computation time