mp-17838/KTb3F10/anharm

Harmonic properties

../../_images/fig_bandos_pr14035.png

(a) Phonon dispersion with participation ratio and DOS

../../_images/fig_thermo14035.png

(b) Thermodynamic properties

Grüneisen parameters

../../_images/fig_gru_all5953.png

(a) Grüneisen parameters

../../_images/fig_gruneisen5953.png

(b) Phonon dispersion with Grüneisen parameters

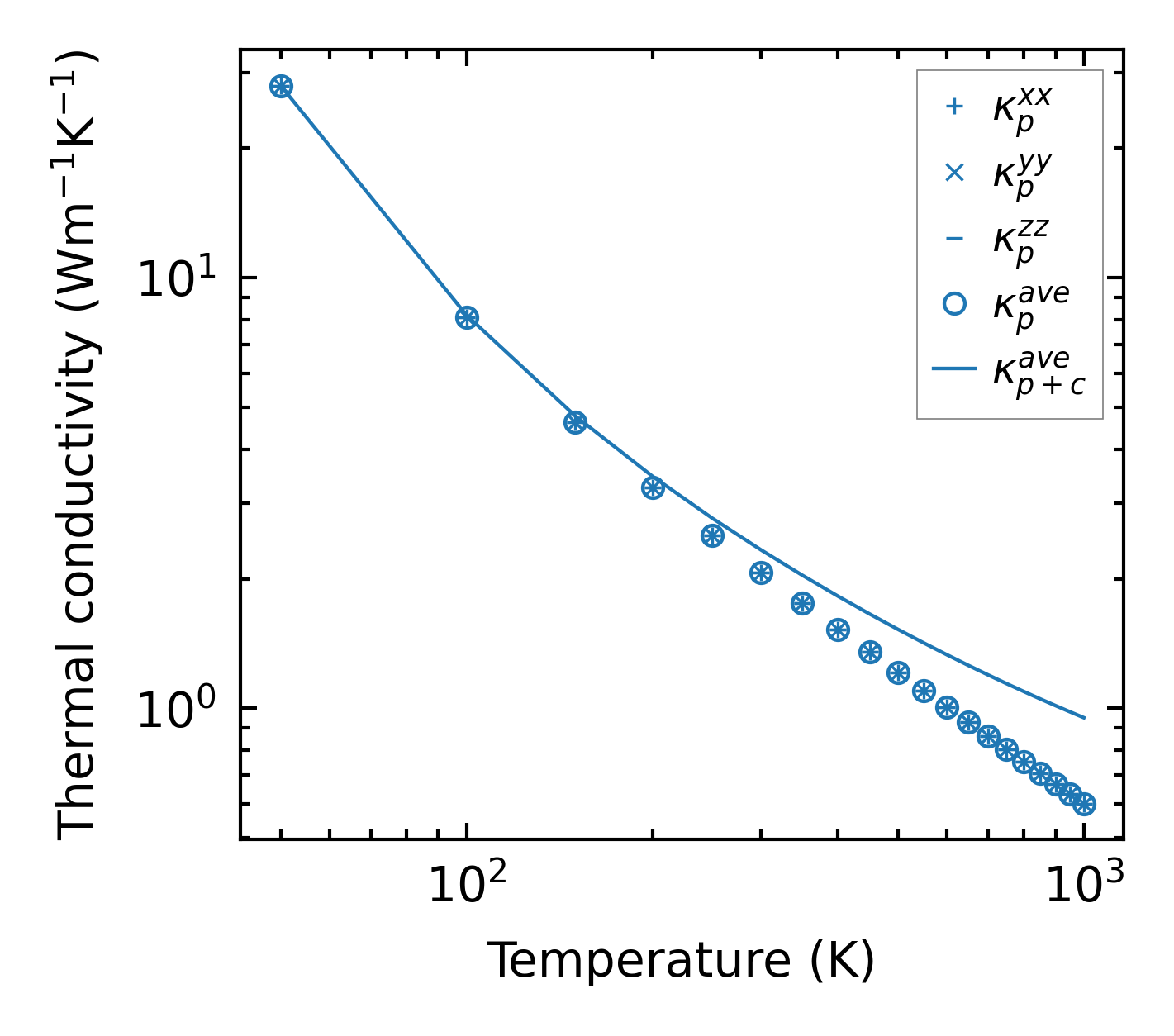
Thermal conductivity

3-phonon (LASSO) — q-mesh: 9x9x9, supercell: 1x1x1

../../_images/fig_kappa11206.png

(a) Temperature-dependent lattice thermal conductivity

../../_images/fig_kappa_vs_grain_size6031.png

(b) Peierls lattice thermal conductivity w.r.t grain size

Phonon lifetime and scattering rates

../../_images/fig_lifetime5896.png

(a) Phonon lifetime due to phonon-phonon scattering

../../_images/fig_scat_rates5895.png

(b) Phonon scattering rates

Cumulative and spectral thermal conductivity

../../_images/fig_cumu_frequency5896.png

(a) Spectral and cumulative thermal conductivity w.r.t frequency

../../_images/fig_cumu_mfp5895.png

(b) Spectral and cumulative thermal conductivity w.r.t MFP

Force constants

../../_images/fig_fc213663.png

(a) Force constants w.r.t atomic distance

Summary

../../_images/fig_kappa11207.png

(a) Temperature-dependent lattice thermal conductivity

../../_images/fig_times23490.png

(b) Computation time