mp-17749-2/V2HgO6/anharm

Equation of state

../../_images/fig_bm7012.png

(a) Equation of state

Harmonic properties

../../_images/fig_bandos_pr14006.png

(a) Phonon dispersion with participation ratio and DOS

../../_images/fig_bandos18389.png

(b) Phonon dispersion and DOS

../../_images/fig_thermo14006.png

(c) Thermodynamic properties

Grüneisen parameters

../../_images/fig_gru_all5934.png

(a) Grüneisen parameters

../../_images/fig_gruneisen5934.png

(b) Phonon dispersion with Grüneisen parameters

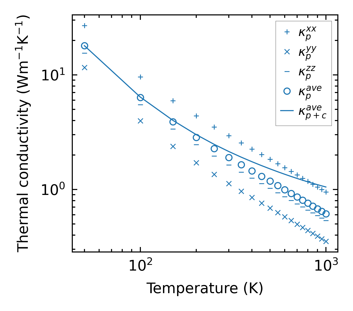
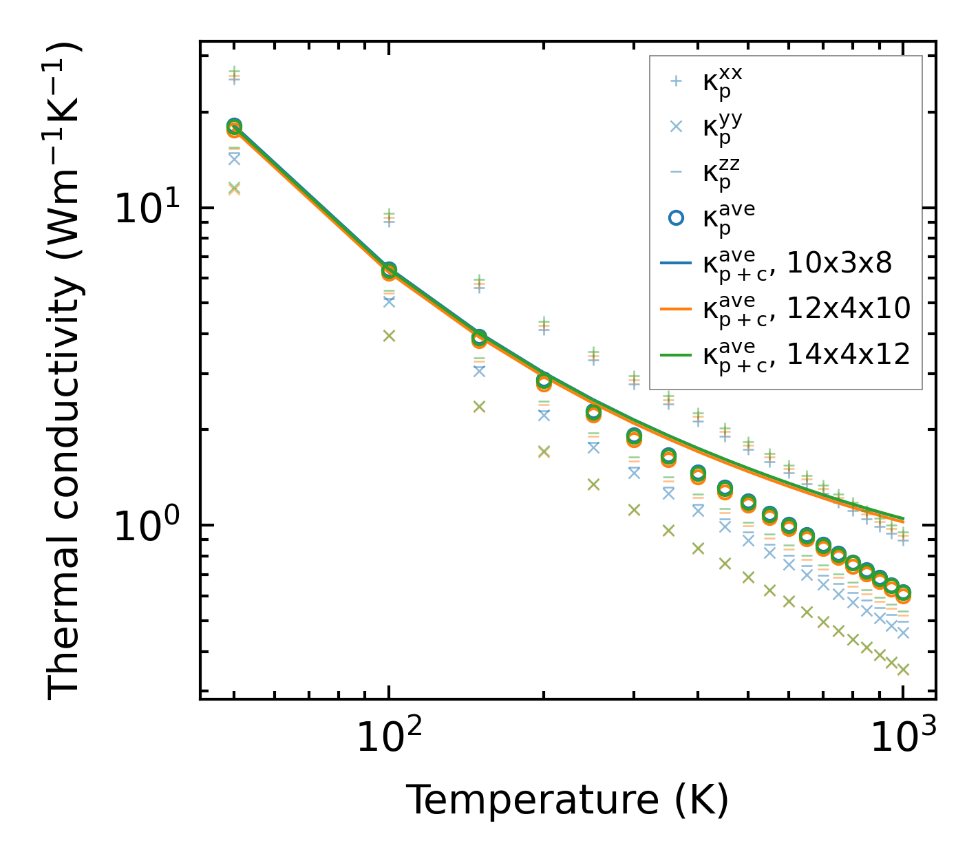
Thermal conductivity

3-phonon (LASSO) — q-mesh: 14x4x12, supercell: 2x1x2

../../_images/fig_kappa11169.png

(a) Temperature-dependent lattice thermal conductivity

../../_images/fig_kappa_vs_grain_size6012.png

(b) Peierls lattice thermal conductivity w.r.t grain size

Phonon lifetime and scattering rates

../../_images/fig_lifetime5877.png

(a) Phonon lifetime due to phonon-phonon scattering

../../_images/fig_scat_rates5876.png

(b) Phonon scattering rates

Cumulative and spectral thermal conductivity

../../_images/fig_cumu_frequency5877.png

(a) Spectral and cumulative thermal conductivity w.r.t frequency

../../_images/fig_cumu_mfp5876.png

(b) Spectral and cumulative thermal conductivity w.r.t MFP

Force constants

../../_images/fig_fc213634.png

(a) Force constants w.r.t atomic distance

Summary

../../_images/fig_kappa11170.png

(a) Temperature-dependent lattice thermal conductivity

../../_images/fig_times23442.png

(b) Computation time