mp-17315/Zr3Tl2OF12/harm

Equation of state

../../_images/fig_bm7137.png

(a) Equation of state

Harmonic properties

../../_images/fig_bandos_pr14247.png

(a) Phonon dispersion with participation ratio and DOS

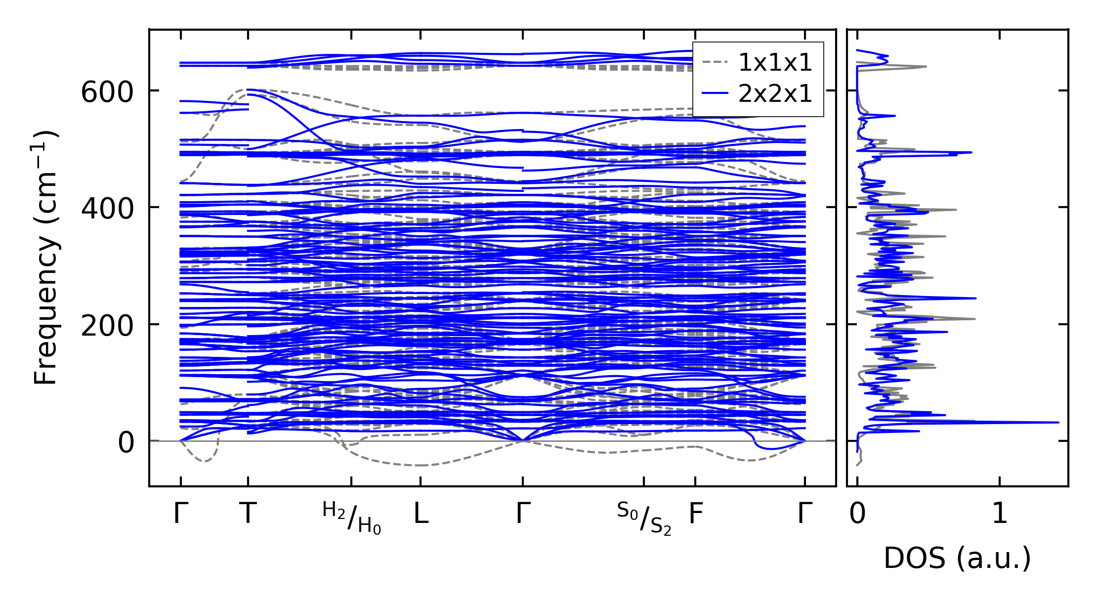
../../_images/fig_bandos18646.png

(b) Phonon dispersion and DOS

../../_images/fig_thermo14247.png

(c) Thermodynamic properties

Force constants

../../_images/fig_fc213875.png

(a) Force constants w.r.t atomic distance

Summary

../../_images/fig_times23804.png

(a) Computation time