mp-17803/Nb2Tl4S11/anharm

Harmonic properties

../../_images/fig_bandos_pr14020.png

(a) Phonon dispersion with participation ratio and DOS

../../_images/fig_thermo14020.png

(b) Thermodynamic properties

Grüneisen parameters

../../_images/fig_gru_all5941.png

(a) Grüneisen parameters

../../_images/fig_gruneisen5941.png

(b) Phonon dispersion with Grüneisen parameters

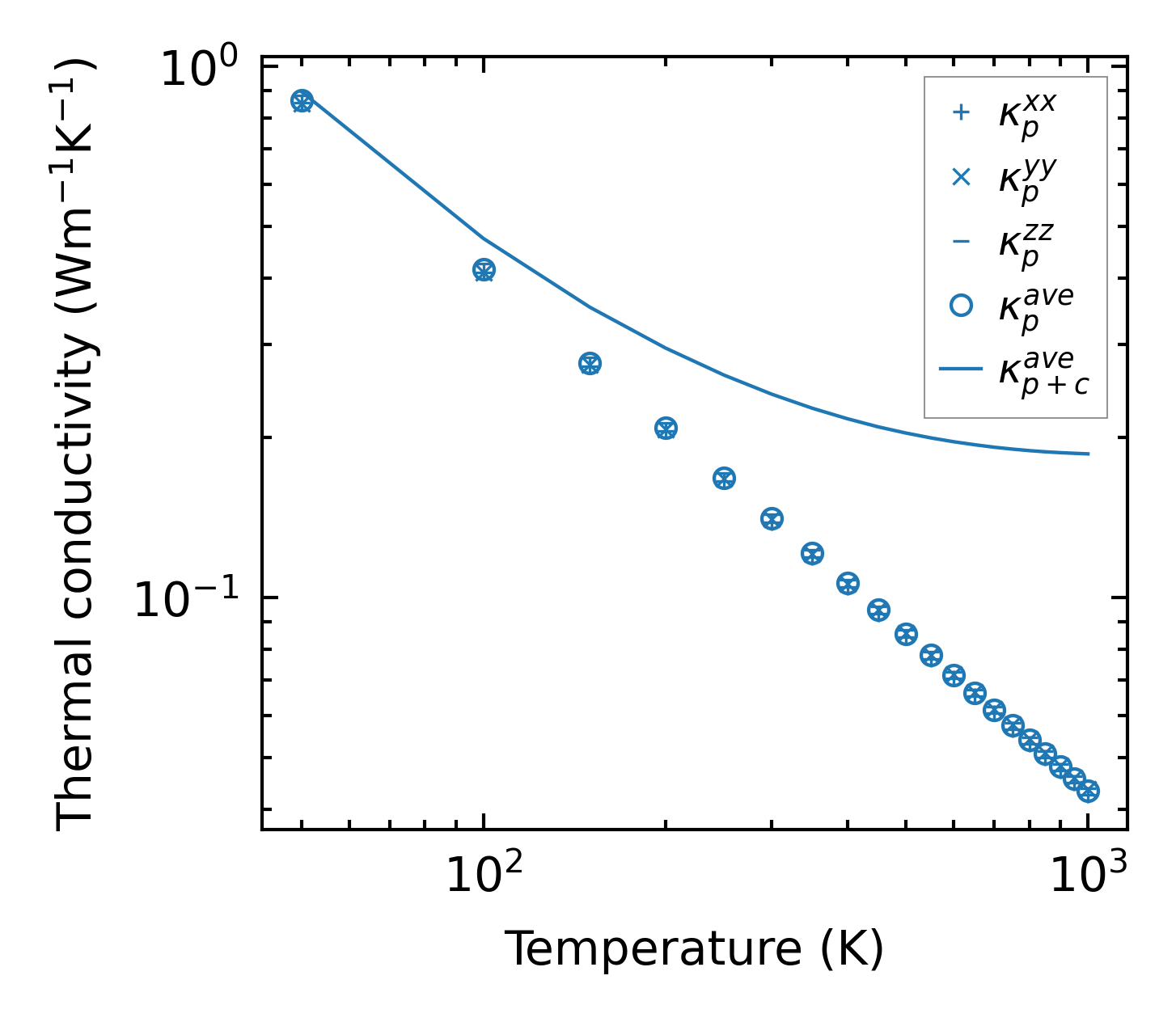
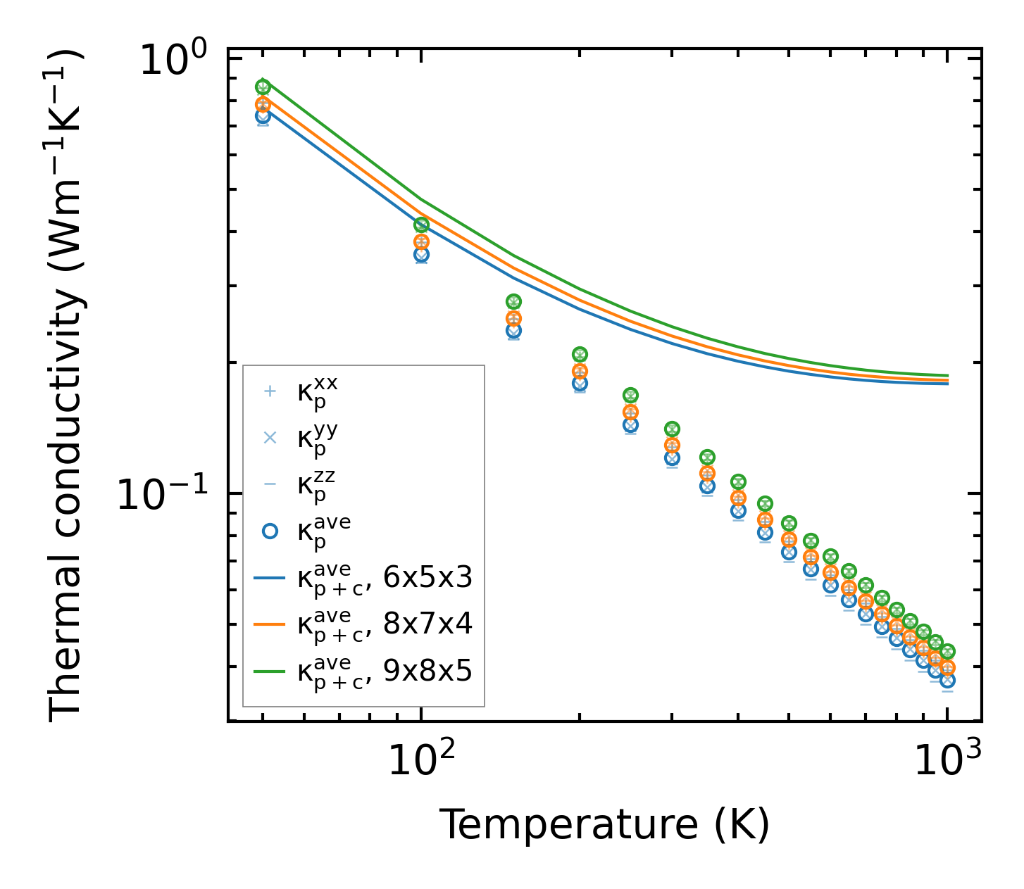
Thermal conductivity

3-phonon (LASSO) — q-mesh: 9x8x5, supercell: 2x2x1

../../_images/fig_kappa11183.png

(a) Temperature-dependent lattice thermal conductivity

../../_images/fig_kappa_vs_grain_size6019.png

(b) Peierls lattice thermal conductivity w.r.t grain size

Phonon lifetime and scattering rates

../../_images/fig_lifetime5884.png

(a) Phonon lifetime due to phonon-phonon scattering

../../_images/fig_scat_rates5883.png

(b) Phonon scattering rates

Cumulative and spectral thermal conductivity

../../_images/fig_cumu_frequency5884.png

(a) Spectral and cumulative thermal conductivity w.r.t frequency

../../_images/fig_cumu_mfp5883.png

(b) Spectral and cumulative thermal conductivity w.r.t MFP

Force constants

../../_images/fig_fc213648.png

(a) Force constants w.r.t atomic distance

Summary

../../_images/fig_kappa11184.png

(a) Temperature-dependent lattice thermal conductivity

../../_images/fig_times23465.png

(b) Computation time