mp-17366/Ho2SiSO4/anharm

Harmonic properties

../../_images/fig_bandos_pr14262.png

(a) Phonon dispersion with participation ratio and DOS

../../_images/fig_thermo14262.png

(b) Thermodynamic properties

Grüneisen parameters

../../_images/fig_gru_all6069.png

(a) Grüneisen parameters

../../_images/fig_gruneisen6069.png

(b) Phonon dispersion with Grüneisen parameters

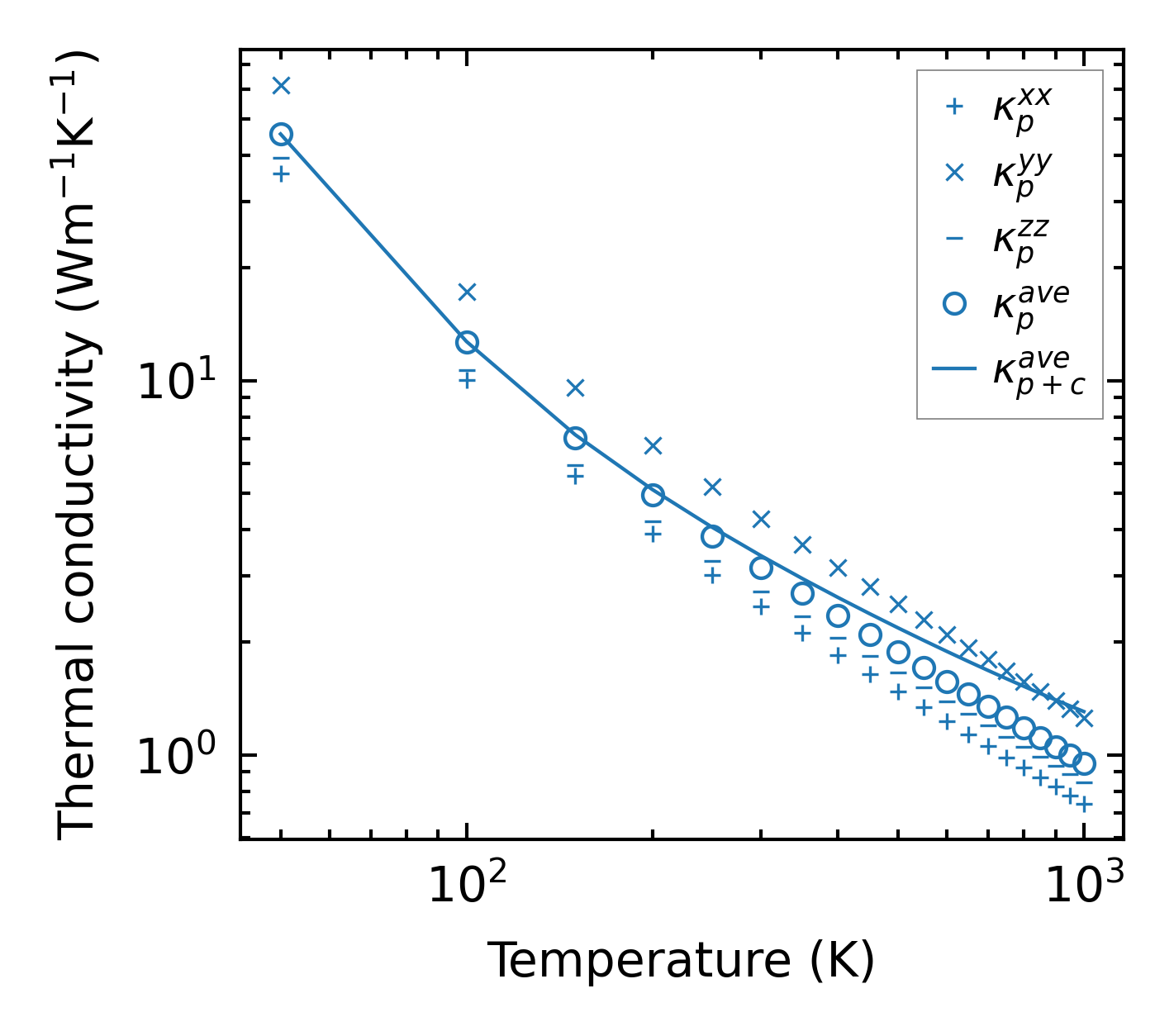
Thermal conductivity

3-phonon (LASSO) — q-mesh: 12x10x6, supercell: 2x2x1

../../_images/fig_kappa11419.png

(a) Temperature-dependent lattice thermal conductivity

../../_images/fig_kappa_vs_grain_size6147.png

(b) Peierls lattice thermal conductivity w.r.t grain size

Phonon lifetime and scattering rates

../../_images/fig_lifetime6008.png

(a) Phonon lifetime due to phonon-phonon scattering

../../_images/fig_scat_rates6007.png

(b) Phonon scattering rates

Cumulative and spectral thermal conductivity

../../_images/fig_cumu_frequency6008.png

(a) Spectral and cumulative thermal conductivity w.r.t frequency

../../_images/fig_cumu_mfp6007.png

(b) Spectral and cumulative thermal conductivity w.r.t MFP

Force constants

../../_images/fig_fc213890.png

(a) Force constants w.r.t atomic distance

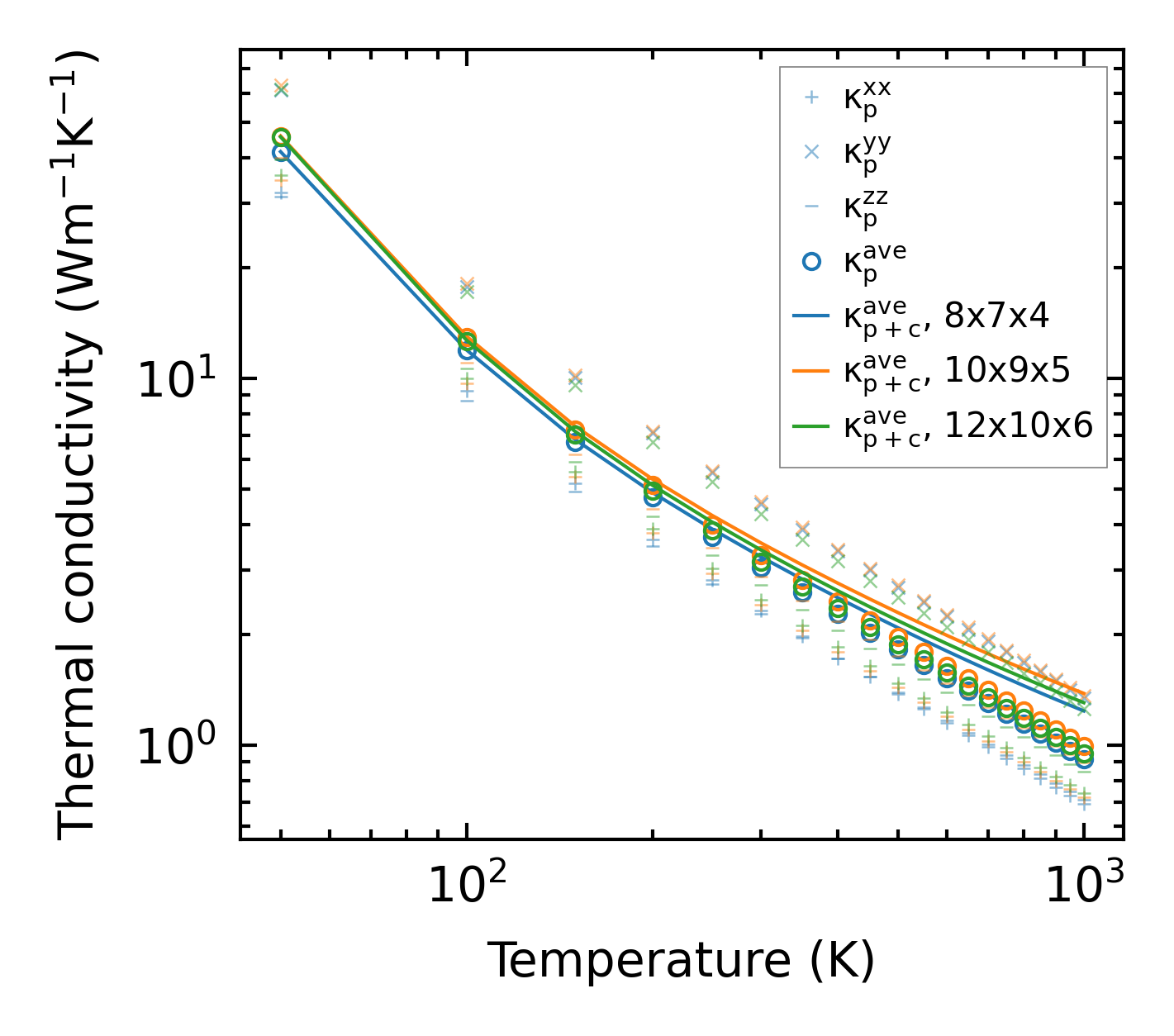
Summary

../../_images/fig_kappa11420.png

(a) Temperature-dependent lattice thermal conductivity

../../_images/fig_times23823.png

(b) Computation time