mp-17450-2/Cs3NiF7/anharm

Harmonic properties

../../_images/fig_bandos_pr13921.png

(a) Phonon dispersion with participation ratio and DOS

../../_images/fig_thermo13921.png

(b) Thermodynamic properties

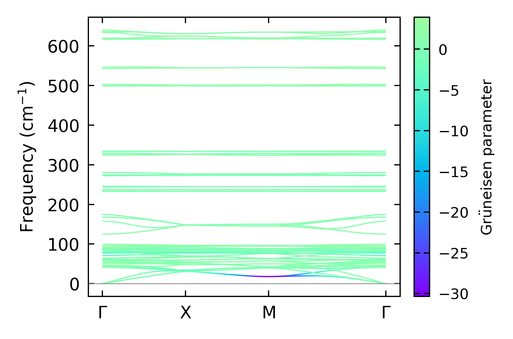
Grüneisen parameters

../../_images/fig_gru_all5885.png

(a) Grüneisen parameters

../../_images/fig_gruneisen5885.png

(b) Phonon dispersion with Grüneisen parameters

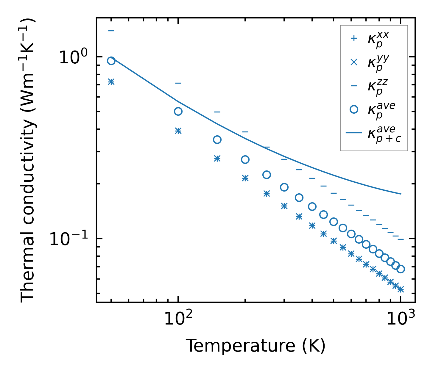
Thermal conductivity

3-phonon (LASSO) — q-mesh: 8x8x11, supercell: 1x1x2

../../_images/fig_kappa11075.png

(a) Temperature-dependent lattice thermal conductivity

../../_images/fig_kappa_vs_grain_size5961.png

(b) Peierls lattice thermal conductivity w.r.t grain size

Phonon lifetime and scattering rates

../../_images/fig_lifetime5828.png

(a) Phonon lifetime due to phonon-phonon scattering

../../_images/fig_scat_rates5827.png

(b) Phonon scattering rates

Cumulative and spectral thermal conductivity

../../_images/fig_cumu_frequency5828.png

(a) Spectral and cumulative thermal conductivity w.r.t frequency

../../_images/fig_cumu_mfp5827.png

(b) Spectral and cumulative thermal conductivity w.r.t MFP

Force constants

../../_images/fig_fc213549.png

(a) Force constants w.r.t atomic distance

Summary

../../_images/fig_kappa11076.png

(a) Temperature-dependent lattice thermal conductivity

../../_images/fig_times23326.png

(b) Computation time