mp-17220-2/Rb3TaS4/anharm

Equation of state

../../_images/fig_bm7123.png

(a) Equation of state

Harmonic properties

../../_images/fig_bandos_pr14218.png

(a) Phonon dispersion with participation ratio and DOS

../../_images/fig_thermo14218.png

(b) Thermodynamic properties

Grüneisen parameters

../../_images/fig_gru_all6048.png

(a) Grüneisen parameters

../../_images/fig_gruneisen6048.png

(b) Phonon dispersion with Grüneisen parameters

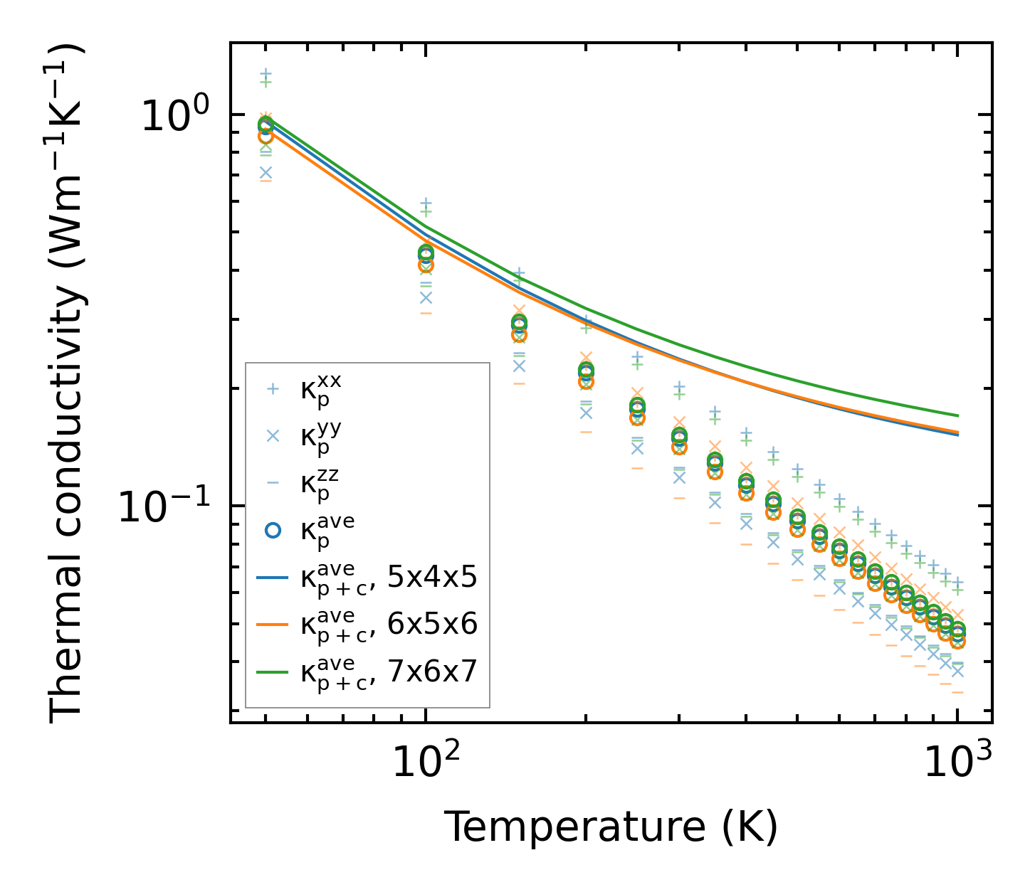
Thermal conductivity

3-phonon (LASSO) — q-mesh: 7x6x7, supercell: 2x1x2

../../_images/fig_kappa11381.png

(a) Temperature-dependent lattice thermal conductivity

../../_images/fig_kappa_vs_grain_size6125.png

(b) Peierls lattice thermal conductivity w.r.t grain size

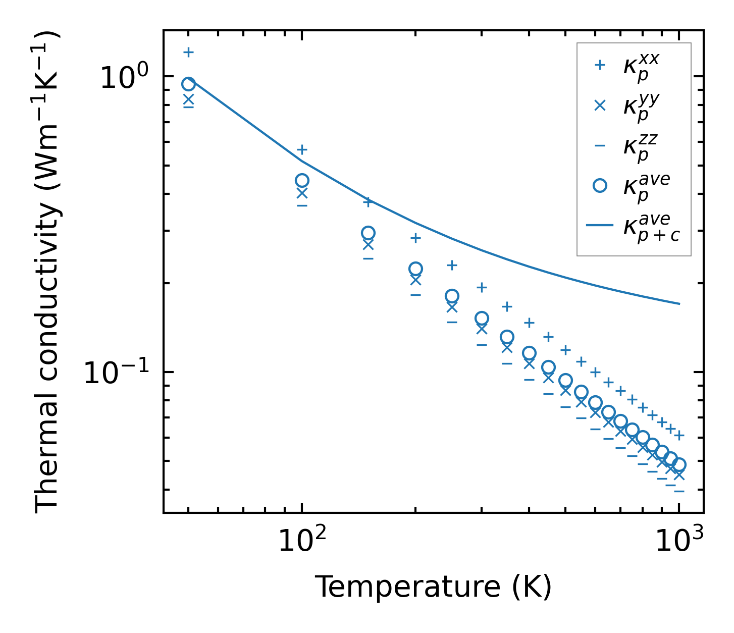
3-phonon (LASSO), supercell 2x2x2 — q-mesh: 7x6x7, supercell: 2x2x2

../../_images/fig_kappa11382.png

(a) Temperature-dependent lattice thermal conductivity

../../_images/fig_kappa_vs_grain_size6126.png

(b) Peierls lattice thermal conductivity w.r.t grain size

Phonon lifetime and scattering rates

../../_images/fig_lifetime5987.png

(a) Phonon lifetime due to phonon-phonon scattering

../../_images/fig_scat_rates5986.png

(b) Phonon scattering rates

Cumulative and spectral thermal conductivity

../../_images/fig_cumu_frequency5987.png

(a) Spectral and cumulative thermal conductivity w.r.t frequency

../../_images/fig_cumu_mfp5986.png

(b) Spectral and cumulative thermal conductivity w.r.t MFP

Force constants

../../_images/fig_fc213846.png

(a) Force constants w.r.t atomic distance

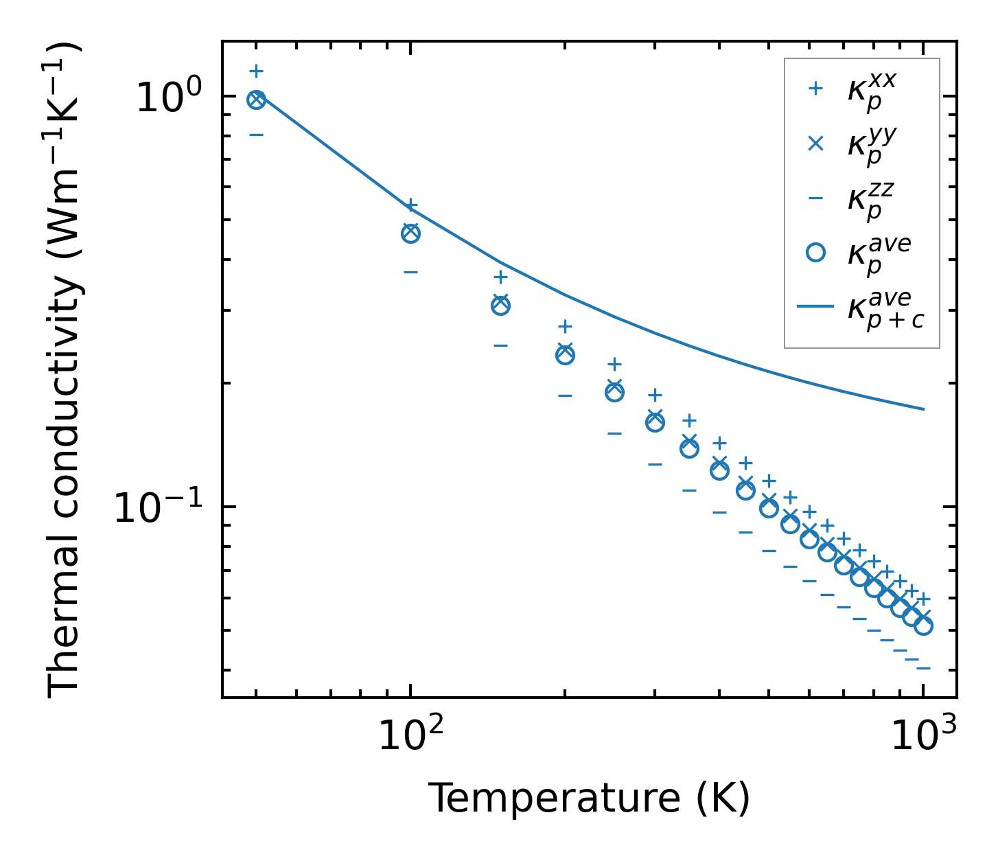
Summary

../../_images/fig_kappa11383.png

(a) Temperature-dependent lattice thermal conductivity

../../_images/fig_times23768.png

(b) Computation time