mp-17114/Nd2Sn2O7/anharm

Harmonic properties

../../_images/fig_bandos_pr14193.png

(a) Phonon dispersion with participation ratio and DOS

../../_images/fig_thermo14193.png

(b) Thermodynamic properties

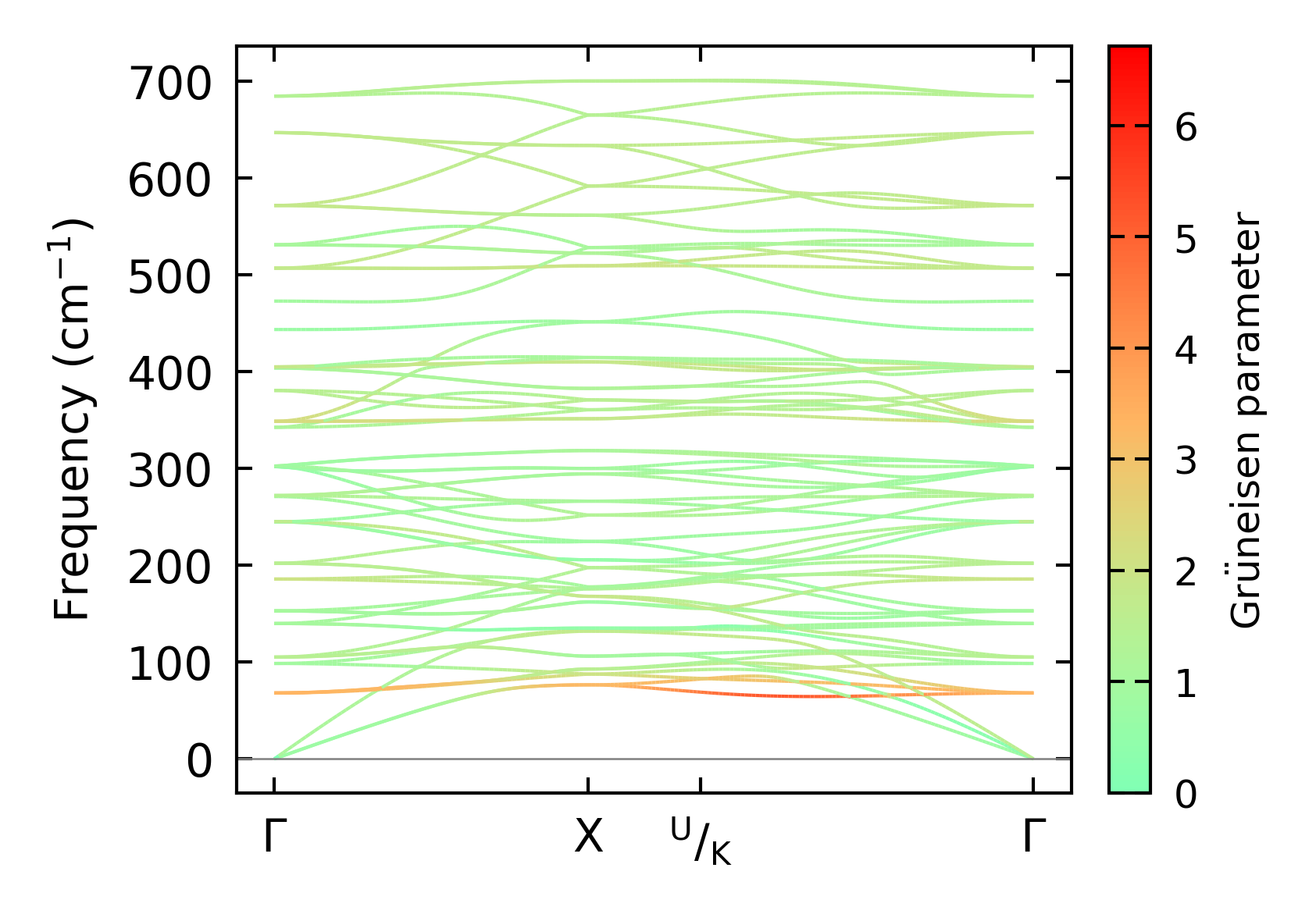
Grüneisen parameters

../../_images/fig_gru_all6033.png

(a) Grüneisen parameters

../../_images/fig_gruneisen6033.png

(b) Phonon dispersion with Grüneisen parameters

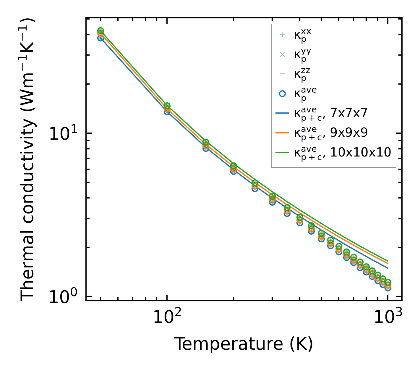
Thermal conductivity

3-phonon (LASSO) — q-mesh: 10x10x10, supercell: 1x1x1

../../_images/fig_kappa11353.png

(a) Temperature-dependent lattice thermal conductivity

../../_images/fig_kappa_vs_grain_size6110.png

(b) Peierls lattice thermal conductivity w.r.t grain size

Phonon lifetime and scattering rates

../../_images/fig_lifetime5972.png

(a) Phonon lifetime due to phonon-phonon scattering

../../_images/fig_scat_rates5971.png

(b) Phonon scattering rates

Cumulative and spectral thermal conductivity

../../_images/fig_cumu_frequency5972.png

(a) Spectral and cumulative thermal conductivity w.r.t frequency

../../_images/fig_cumu_mfp5971.png

(b) Spectral and cumulative thermal conductivity w.r.t MFP

Force constants

../../_images/fig_fc213821.png

(a) Force constants w.r.t atomic distance

Summary

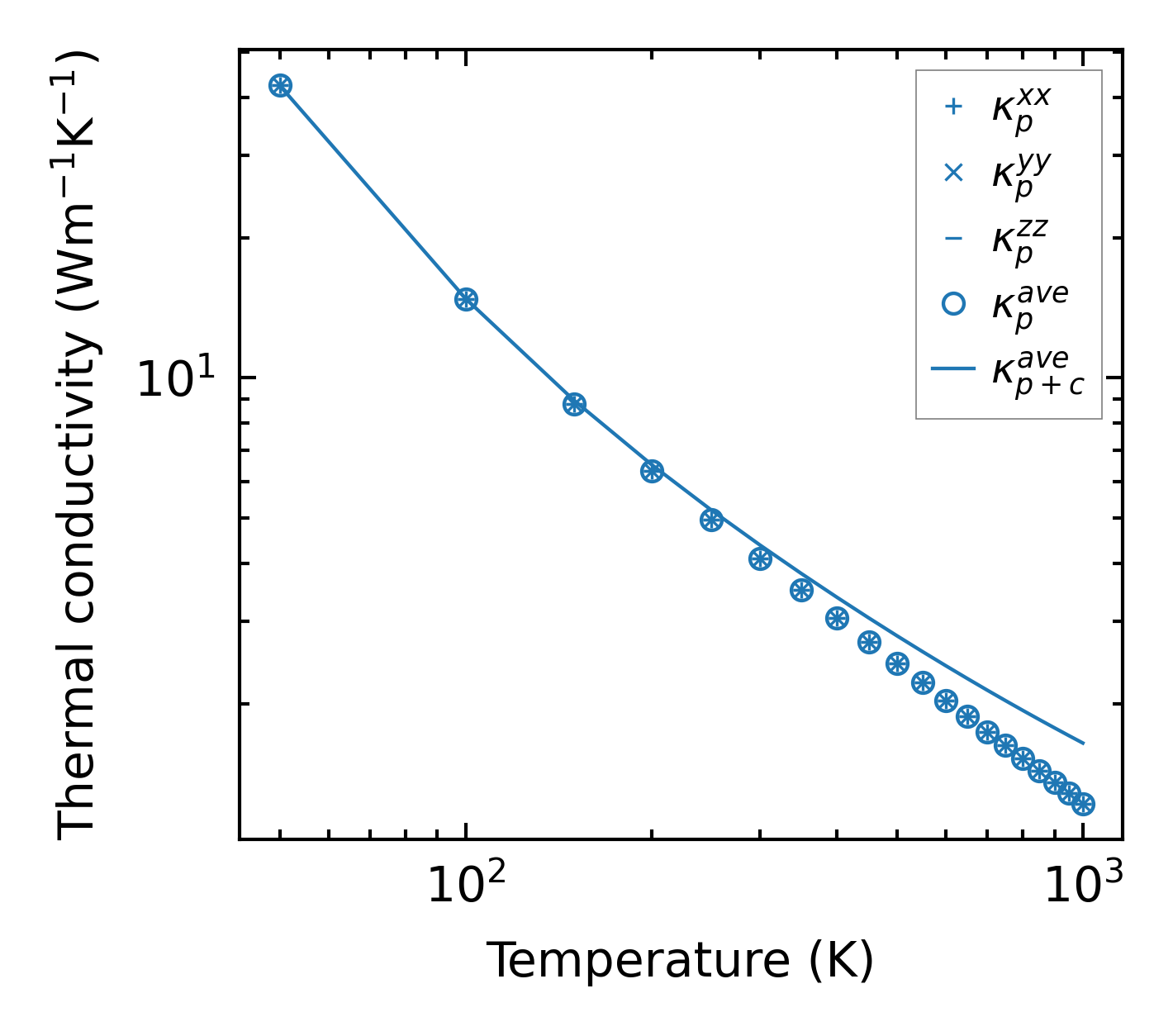
../../_images/fig_kappa11354.png

(a) Temperature-dependent lattice thermal conductivity

../../_images/fig_times23721.png

(b) Computation time