mp-17691-2/Cu3SbS3/anharm

Equation of state

../../_images/fig_bm6996.png

(a) Equation of state

Harmonic properties

../../_images/fig_bandos_pr13979.png

(a) Phonon dispersion with participation ratio and DOS

../../_images/fig_thermo13979.png

(b) Thermodynamic properties

Grüneisen parameters

../../_images/fig_gru_all5923.png

(a) Grüneisen parameters

../../_images/fig_gruneisen5923.png

(b) Phonon dispersion with Grüneisen parameters

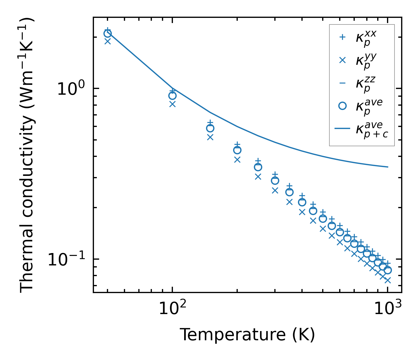
Thermal conductivity

3-phonon (LASSO) — q-mesh: 11x9x7, supercell: 2x2x1

../../_images/fig_kappa11150.png

(a) Temperature-dependent lattice thermal conductivity

../../_images/fig_kappa_vs_grain_size6000.png

(b) Peierls lattice thermal conductivity w.r.t grain size

Phonon lifetime and scattering rates

../../_images/fig_lifetime5866.png

(a) Phonon lifetime due to phonon-phonon scattering

../../_images/fig_scat_rates5865.png

(b) Phonon scattering rates

Cumulative and spectral thermal conductivity

../../_images/fig_cumu_frequency5866.png

(a) Spectral and cumulative thermal conductivity w.r.t frequency

../../_images/fig_cumu_mfp5865.png

(b) Spectral and cumulative thermal conductivity w.r.t MFP

Force constants

../../_images/fig_fc213607.png

(a) Force constants w.r.t atomic distance

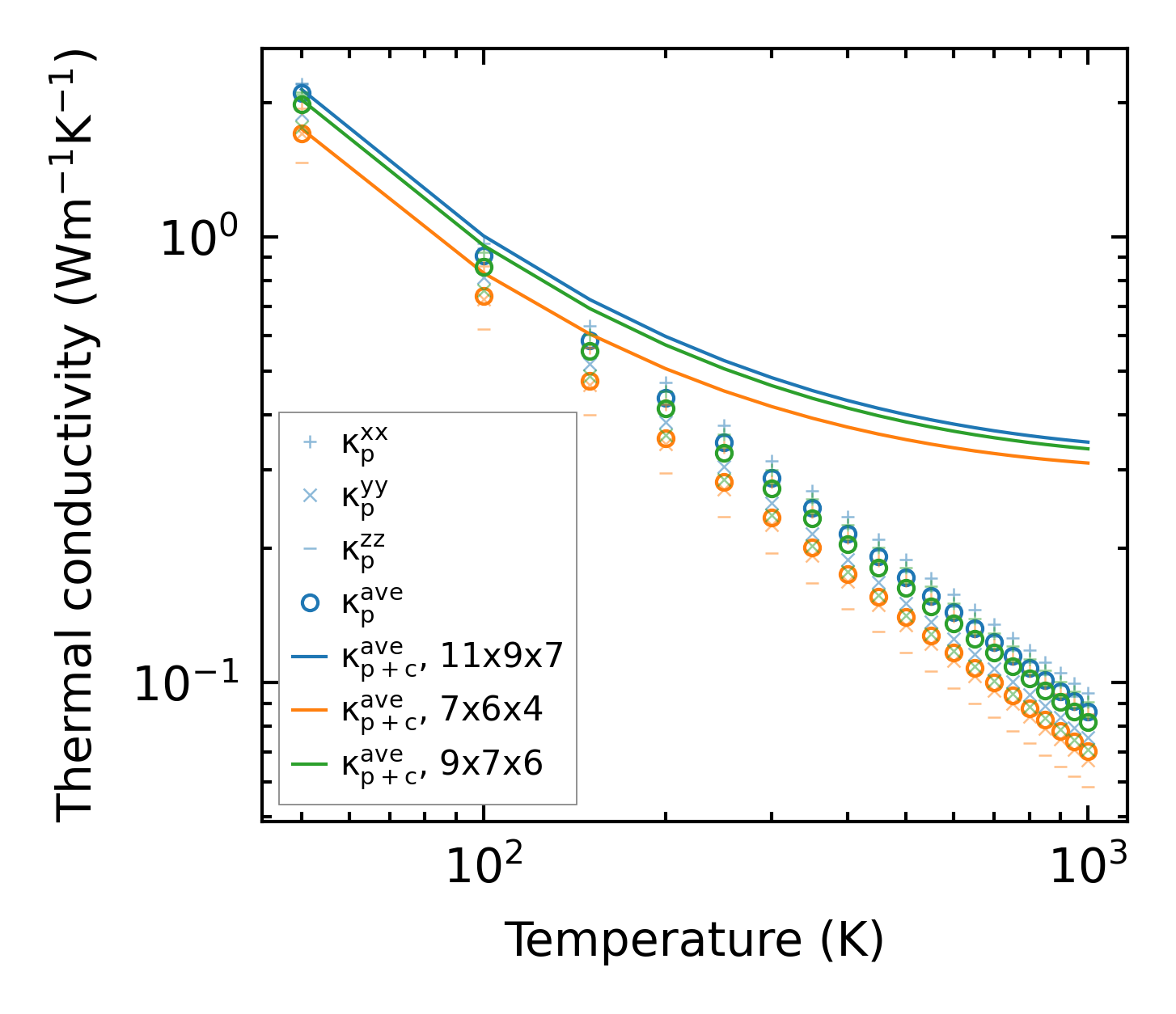
Summary

../../_images/fig_kappa11151.png

(a) Temperature-dependent lattice thermal conductivity

../../_images/fig_times23406.png

(b) Computation time