mp-17872/BaY2Te4/anharm

Harmonic properties

../../_images/fig_bandos_pr14050.png

(a) Phonon dispersion with participation ratio and DOS

../../_images/fig_thermo14050.png

(b) Thermodynamic properties

Grüneisen parameters

../../_images/fig_gru_all5960.png

(a) Grüneisen parameters

../../_images/fig_gruneisen5960.png

(b) Phonon dispersion with Grüneisen parameters

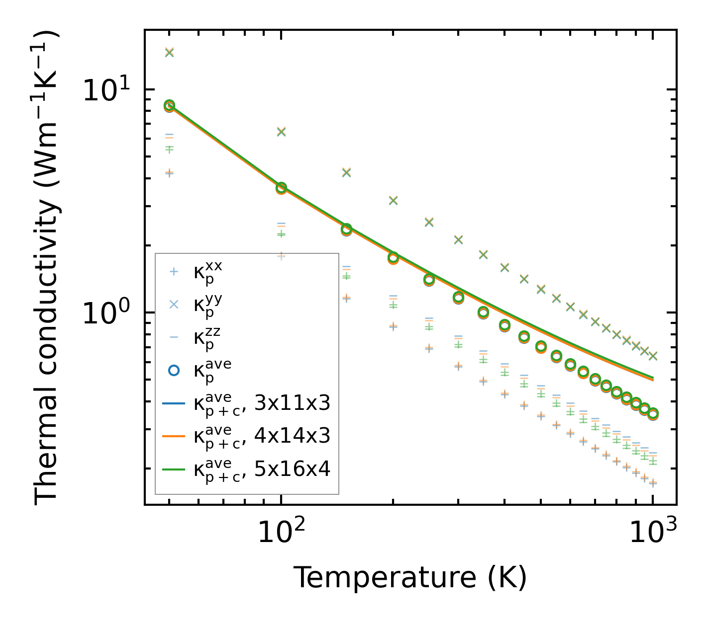
Thermal conductivity

3-phonon (LASSO) — q-mesh: 5x16x4, supercell: 1x4x1

../../_images/fig_kappa11220.png

(a) Temperature-dependent lattice thermal conductivity

../../_images/fig_kappa_vs_grain_size6038.png

(b) Peierls lattice thermal conductivity w.r.t grain size

Phonon lifetime and scattering rates

../../_images/fig_lifetime5903.png

(a) Phonon lifetime due to phonon-phonon scattering

../../_images/fig_scat_rates5902.png

(b) Phonon scattering rates

Cumulative and spectral thermal conductivity

../../_images/fig_cumu_frequency5903.png

(a) Spectral and cumulative thermal conductivity w.r.t frequency

../../_images/fig_cumu_mfp5902.png

(b) Spectral and cumulative thermal conductivity w.r.t MFP

Force constants

../../_images/fig_fc213678.png

(a) Force constants w.r.t atomic distance

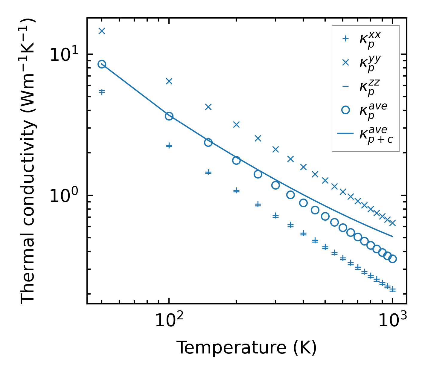
Summary

../../_images/fig_kappa11221.png

(a) Temperature-dependent lattice thermal conductivity

../../_images/fig_times23507.png

(b) Computation time