mp-17853/YGaO3/anharm

Equation of state

../../_images/fig_bm7033.png

(a) Equation of state

Harmonic properties

../../_images/fig_bandos_pr14043.png

(a) Phonon dispersion with participation ratio and DOS

../../_images/fig_thermo14043.png

(b) Thermodynamic properties

Grüneisen parameters

../../_images/fig_gru_all5955.png

(a) Grüneisen parameters

../../_images/fig_gruneisen5955.png

(b) Phonon dispersion with Grüneisen parameters

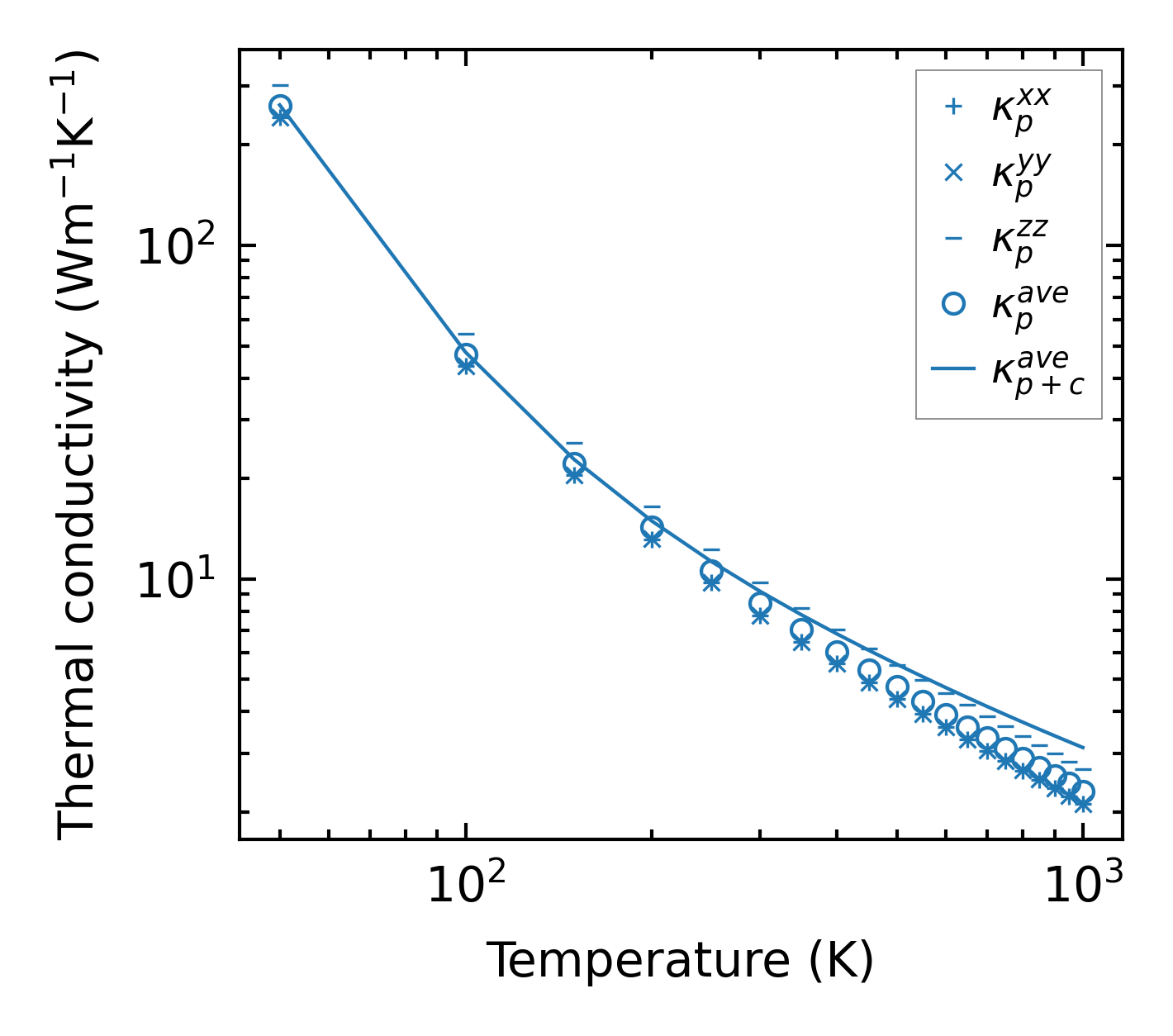
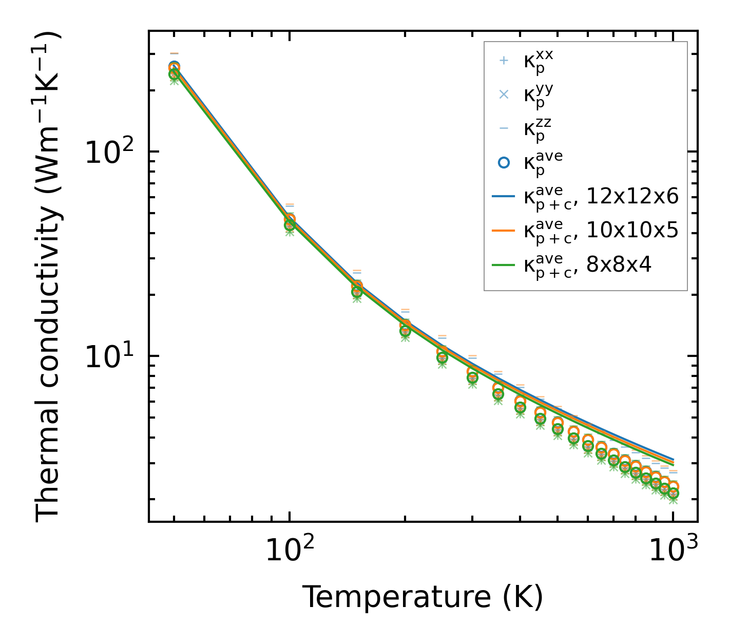
Thermal conductivity

3-phonon (LASSO) — q-mesh: 12x12x6, supercell: 2x2x1

../../_images/fig_kappa11210.png

(a) Temperature-dependent lattice thermal conductivity

../../_images/fig_kappa_vs_grain_size6033.png

(b) Peierls lattice thermal conductivity w.r.t grain size

Phonon lifetime and scattering rates

../../_images/fig_lifetime5898.png

(a) Phonon lifetime due to phonon-phonon scattering

../../_images/fig_scat_rates5897.png

(b) Phonon scattering rates

Cumulative and spectral thermal conductivity

../../_images/fig_cumu_frequency5898.png

(a) Spectral and cumulative thermal conductivity w.r.t frequency

../../_images/fig_cumu_mfp5897.png

(b) Spectral and cumulative thermal conductivity w.r.t MFP

Force constants

../../_images/fig_fc213671.png

(a) Force constants w.r.t atomic distance

Summary

../../_images/fig_kappa11211.png

(a) Temperature-dependent lattice thermal conductivity

../../_images/fig_times23498.png

(b) Computation time