mp-17133/Ba3Al2N4/anharm

Harmonic properties

../../_images/fig_bandos_pr14198.png

(a) Phonon dispersion with participation ratio and DOS

../../_images/fig_thermo14198.png

(b) Thermodynamic properties

Grüneisen parameters

../../_images/fig_gru_all6037.png

(a) Grüneisen parameters

../../_images/fig_gruneisen6037.png

(b) Phonon dispersion with Grüneisen parameters

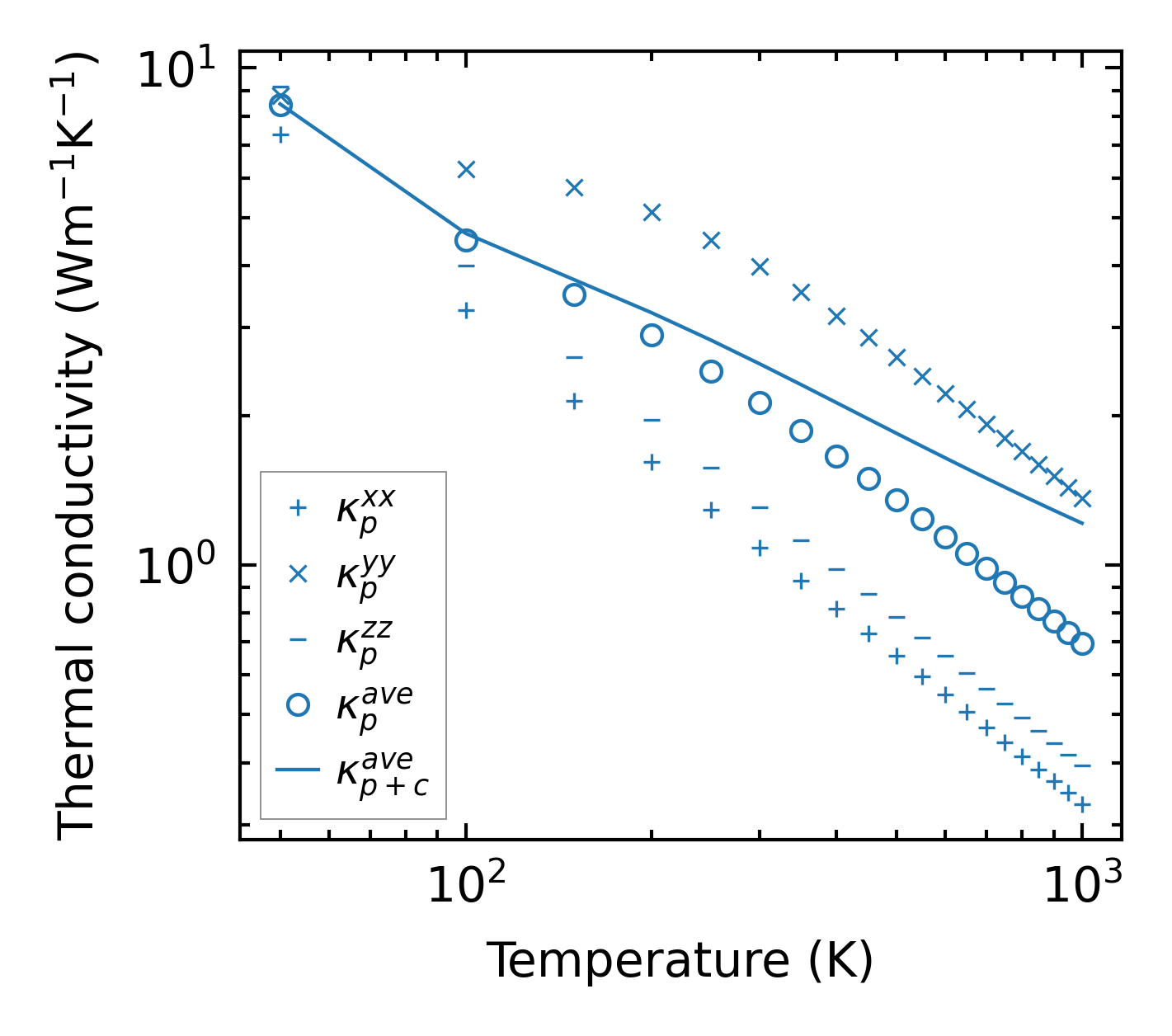
Thermal conductivity

3-phonon (LASSO) — q-mesh: 11x7x7, supercell: 2x1x2

../../_images/fig_kappa11361.png

(a) Temperature-dependent lattice thermal conductivity

../../_images/fig_kappa_vs_grain_size6114.png

(b) Peierls lattice thermal conductivity w.r.t grain size

Phonon lifetime and scattering rates

../../_images/fig_lifetime5976.png

(a) Phonon lifetime due to phonon-phonon scattering

../../_images/fig_scat_rates5975.png

(b) Phonon scattering rates

Cumulative and spectral thermal conductivity

../../_images/fig_cumu_frequency5976.png

(a) Spectral and cumulative thermal conductivity w.r.t frequency

../../_images/fig_cumu_mfp5975.png

(b) Spectral and cumulative thermal conductivity w.r.t MFP

Force constants

../../_images/fig_fc213826.png

(a) Force constants w.r.t atomic distance

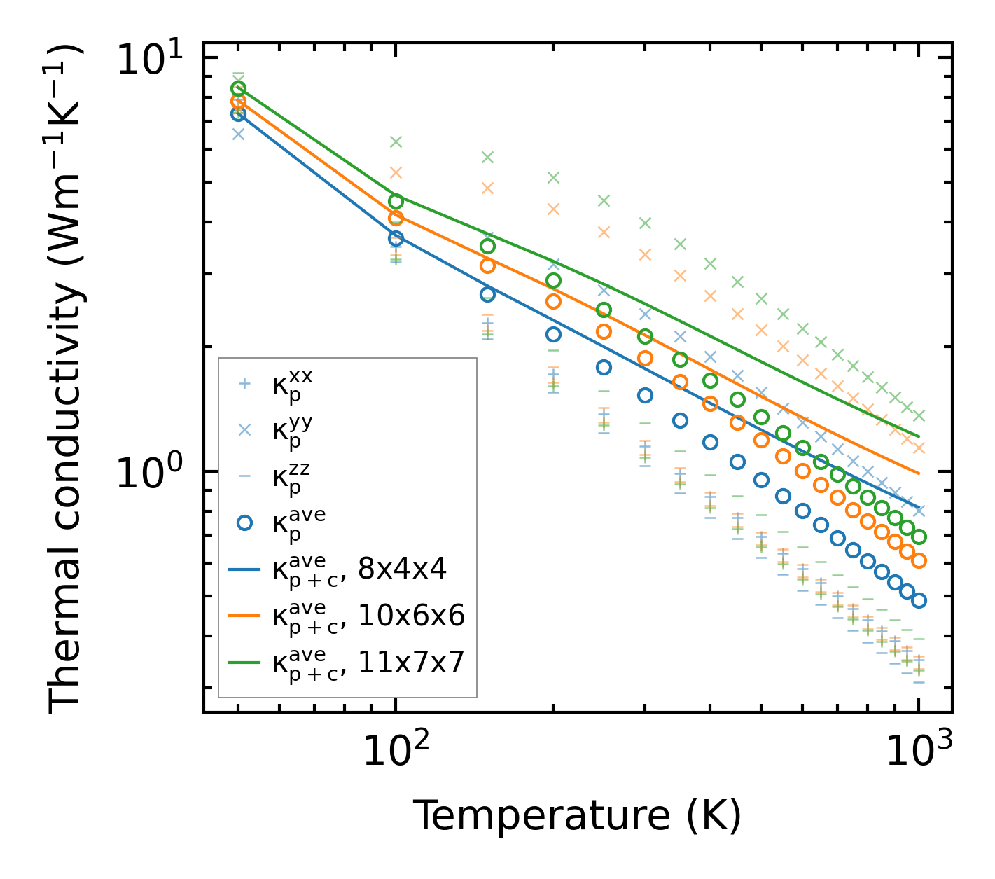
Summary

../../_images/fig_kappa11362.png

(a) Temperature-dependent lattice thermal conductivity

../../_images/fig_times23726.png

(b) Computation time