mp-17290/LiSbWO6/anharm

Harmonic properties

../../_images/fig_bandos_pr14238.png

(a) Phonon dispersion with participation ratio and DOS

../../_images/fig_bandos18636.png

(b) Phonon dispersion and DOS

../../_images/fig_thermo14238.png

(c) Thermodynamic properties

Grüneisen parameters

../../_images/fig_gru_all6057.png

(a) Grüneisen parameters

../../_images/fig_gruneisen6057.png

(b) Phonon dispersion with Grüneisen parameters

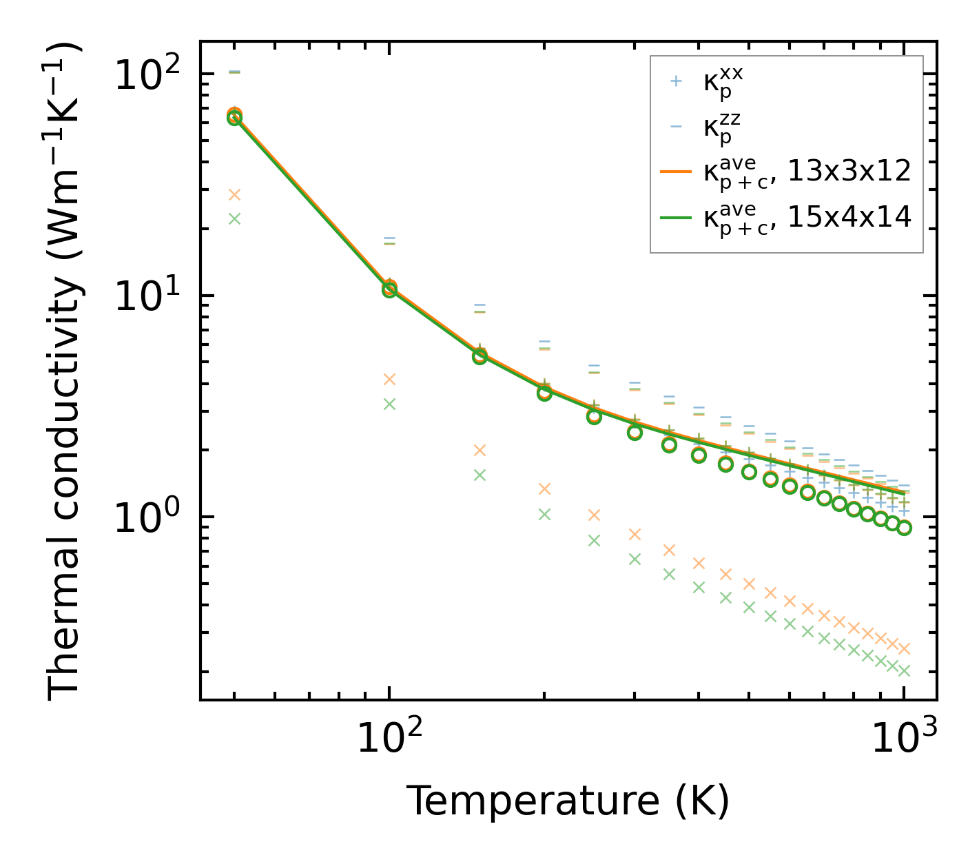
Thermal conductivity

3-phonon (LASSO) — q-mesh: 15x4x14, supercell: 2x1x2

../../_images/fig_kappa11398.png

(a) Temperature-dependent lattice thermal conductivity

../../_images/fig_kappa_vs_grain_size6135.png

(b) Peierls lattice thermal conductivity w.r.t grain size

Phonon lifetime and scattering rates

../../_images/fig_lifetime5996.png

(a) Phonon lifetime due to phonon-phonon scattering

../../_images/fig_scat_rates5995.png

(b) Phonon scattering rates

Cumulative and spectral thermal conductivity

../../_images/fig_cumu_frequency5996.png

(a) Spectral and cumulative thermal conductivity w.r.t frequency

../../_images/fig_cumu_mfp5995.png

(b) Spectral and cumulative thermal conductivity w.r.t MFP

Force constants

../../_images/fig_fc213866.png

(a) Force constants w.r.t atomic distance

Summary

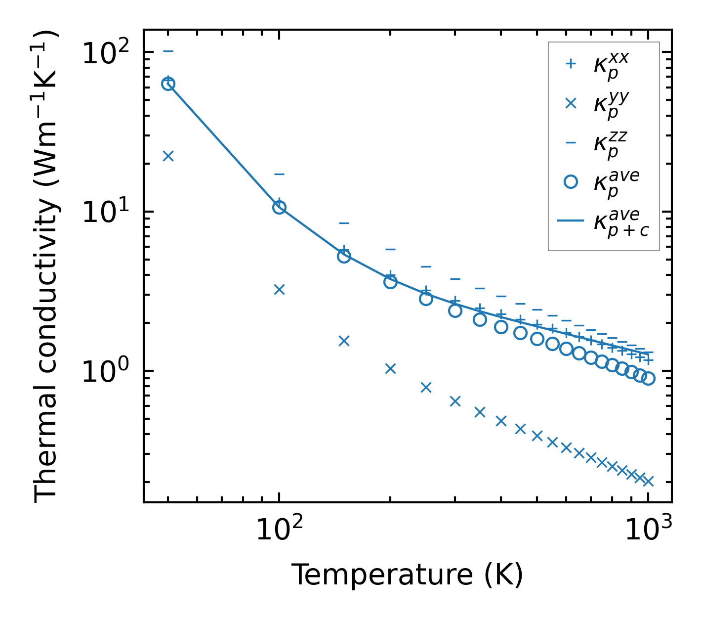
../../_images/fig_kappa11399.png

(a) Temperature-dependent lattice thermal conductivity

../../_images/fig_times23792.png

(b) Computation time